1 题目
给你两棵二叉树的根节点 p 和 q ,编写一个函数来检验这两棵树是否相同。
如果两个树在结构上相同,并且节点具有相同的值,则认为它们是相同的。
示例 1:

输入:p = [1,2,3], q = [1,2,3]
输出:true
示例 2:

输入:p = [1,2], q = [1,null,2]
输出:false
示例 3:

输入:p = [1,2,1], q = [1,1,2]
输出:false
提示:
- 两棵树上的节点数目都在范围
[0, 100]内 -104 <= Node.val <= 104
2 代码实现
c++
cpp
/**
* Definition for a binary tree node.
* struct TreeNode {
* int val;
* TreeNode *left;
* TreeNode *right;
* TreeNode() : val(0), left(nullptr), right(nullptr) {}
* TreeNode(int x) : val(x), left(nullptr), right(nullptr) {}
* TreeNode(int x, TreeNode *left, TreeNode *right) : val(x), left(left), right(right) {}
* };
*/
class Solution {
public:
bool isSameTree(TreeNode* p, TreeNode* q) {
if (p == nullptr && q == nullptr){
return true ;
}
if (p == nullptr || q == nullptr){
return false ;
}
if (p -> val != q -> val ){
return false;
}
return isSameTree(p -> left , q -> left ) && isSameTree(p -> right , q -> right);
}
};
js
javascript
/**
* Definition for a binary tree node.
* function TreeNode(val, left, right) {
* this.val = (val===undefined ? 0 : val)
* this.left = (left===undefined ? null : left)
* this.right = (right===undefined ? null : right)
* }
*/
/**
* @param {TreeNode} p
* @param {TreeNode} q
* @return {boolean}
*/
var isSameTree = function(p, q) {
if(p == null && q == null){
return true ;
}
if (p == null || q == null ){
return false ;
}
if (p.val != q.val){
return false ;
}
return isSameTree (q.left , p.left ) && isSameTree(q.right , p.right);
};
思考
相同的树,一一遍历节点比较,应该就是一个递归遍历问题?深度优先搜索,递归。
3 题目
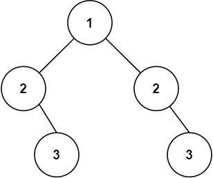
给你一个二叉树的根节点 root , 检查它是否轴对称。
示例 1:

输入:root = [1,2,2,3,4,4,3]
输出:true
示例 2:

输入:root = [1,2,2,null,3,null,3]
输出:false
提示:
- 树中节点数目在范围
[1, 1000]内 -100 <= Node.val <= 100
**进阶:**你可以运用递归和迭代两种方法解决这个问题吗?
4 代码实现
c++
cpp
/**
* Definition for a binary tree node.
* struct TreeNode {
* int val;
* TreeNode *left;
* TreeNode *right;
* TreeNode() : val(0), left(nullptr), right(nullptr) {}
* TreeNode(int x) : val(x), left(nullptr), right(nullptr) {}
* TreeNode(int x, TreeNode *left, TreeNode *right) : val(x), left(left), right(right) {}
* };
*/
class Solution {
private:
bool check (TreeNode* a , TreeNode* b ){
if (a == nullptr && b == nullptr){
return true;
}
if (a == nullptr || b == nullptr){
return false ;
}
if (a -> val != b -> val){
return false;
}
return check (a->left , b -> right) && check (a->right ,b -> left );
}
public:
bool isSymmetric(TreeNode* root) {
if (root == nullptr){
return true ;
}
return check (root -> left , root -> right);
}
};
js
javascript
/**
* Definition for a binary tree node.
* function TreeNode(val, left, right) {
* this.val = (val===undefined ? 0 : val)
* this.left = (left===undefined ? null : left)
* this.right = (right===undefined ? null : right)
* }
*/
/**
* @param {TreeNode} root
* @return {boolean}
*/
var isSymmetric = function(root) {
const check = (a,b) =>{
if (a == null && b == null) return true ;
if (a == null || b == null) return false ;
if (a.val != b.val) return false;
return check (a.left , b.right )&& check(a.right ,b.left);
}
if (root == null){
return true ;
}
return check(root.left ,root.right);
};
思考
和前面一题比较类似,但是是轴对称,不是左右子树完全相同就可以的。
自己提交的错误代码
cpp
/**
* Definition for a binary tree node.
* struct TreeNode {
* int val;
* TreeNode *left;
* TreeNode *right;
* TreeNode() : val(0), left(nullptr), right(nullptr) {}
* TreeNode(int x) : val(x), left(nullptr), right(nullptr) {}
* TreeNode(int x, TreeNode *left, TreeNode *right) : val(x), left(left), right(right) {}
* };
*/
class Solution {
public:
bool isSymmetric(TreeNode* root) {
if (root == nullptr){
return true ;
}
if (root-> left == nullptr || root -> right == nullptr){
return false;
}
if(root->left -> val != root -> right -> val ){
return false ;
}
return isSymmetric(root -> left) && isSymmetric(root -> right );
}
};
题解
你现在的核心需求是解决对称二叉树问题,并且你已经发现它和 "相同的树" 类似但有区别 ------ 轴对称要求的是 "镜像匹配" 而非 "完全相同",同时你自己写的 C++ 代码存在逻辑错误,需要修正,还需要理解递归和迭代两种解法。
先分析你代码的问题
你当前的isSymmetric函数逻辑有明显错误:
- 错误认为 "根节点的左右子节点其一为空就返回 false":但单节点树(root 无左右子节点)本身是对称的,比如
root = [1]应该返回true。 - 递归逻辑错误:你直接递归判断
left和right子树是否对称,但轴对称需要的是 "左子树的左节点 vs 右子树的右节点"、"左子树的右节点 vs 右子树的左节点",而非直接递归左右子树本身。
正确解法:递归 + 迭代(C++)
解法 1:递归(核心是 "镜像比较")
思路:
- 定义辅助函数
check,用于比较两个节点是否镜像匹配:- 两个节点都为空 → 匹配(返回
true); - 一个为空、一个不为空 → 不匹配(返回
false); - 节点值不相等 → 不匹配(返回
false); - 递归比较:A 的左节点 vs B 的右节点,且 A 的右节点 vs B 的左节点。
- 两个节点都为空 → 匹配(返回
- 主函数只需调用
check(root->left, root->right)。
cpp
/**
* Definition for a binary tree node.
* struct TreeNode {
* int val;
* TreeNode *left;
* TreeNode *right;
* TreeNode() : val(0), left(nullptr), right(nullptr) {}
* TreeNode(int x) : val(x), left(nullptr), right(nullptr) {}
* TreeNode(int x, TreeNode *left, TreeNode *right) : val(x), left(left), right(right) {}
* };
*/
class Solution {
public:
// 辅助函数:判断两个节点是否镜像匹配
bool check(TreeNode* a, TreeNode* b) {
// 情况1:两个节点都为空,镜像匹配
if (a == nullptr && b == nullptr) {
return true;
}
// 情况2:一个为空一个不为空,镜像不匹配
if (a == nullptr || b == nullptr) {
return false;
}
// 情况3:值不相等,镜像不匹配
if (a->val != b->val) {
return false;
}
// 核心:递归比较「a的左 vs b的右」且「a的右 vs b的左」
return check(a->left, b->right) && check(a->right, b->left);
}
bool isSymmetric(TreeNode* root) {
// 空树直接对称
if (root == nullptr) {
return true;
}
// 比较根节点的左右子树是否镜像
return check(root->left, root->right);
}
};
解法 2:迭代(广度优先搜索,BFS)
思路:
- 用队列模拟递归,每次成对入队需要镜像比较的节点;
- 每次出队两个节点,按镜像规则判断,再将 "左左 & 右右"、"左右 & 右左" 成对入队。
cpp
/**
* Definition for a binary tree node.
* struct TreeNode {
* int val;
* TreeNode *left;
* TreeNode *right;
* TreeNode() : val(0), left(nullptr), right(nullptr) {}
* TreeNode(int x) : val(x), left(nullptr), right(nullptr) {}
* TreeNode(int x, TreeNode *left, TreeNode *right) : val(x), left(left), right(right) {}
* };
*/
class Solution {
public:
bool isSymmetric(TreeNode* root) {
if (root == nullptr) {
return true;
}
// 队列存储需要成对比较的节点
queue<TreeNode*> q;
// 先入队根节点的左右子节点
q.push(root->left);
q.push(root->right);
while (!q.empty()) {
// 每次取出两个节点进行比较
TreeNode* a = q.front();
q.pop();
TreeNode* b = q.front();
q.pop();
// 两个都为空,跳过后续判断
if (a == nullptr && b == nullptr) {
continue;
}
// 一个空一个非空,或值不等 → 不对称
if (a == nullptr || b == nullptr || a->val != b->val) {
return false;
}
// 按镜像规则入队下一组节点
q.push(a->left); // a的左
q.push(b->right); // b的右
q.push(a->right); // a的右
q.push(b->left); // b的左
}
// 所有节点都匹配完成
return true;
}
};
5 关键对比:"相同的树" vs "对称二叉树"
| 问题 | 核心比较逻辑 | 递归对象 |
|---|---|---|
| 相同的树 | A 的左 = B 的左,A 的右 = B 的右 | (p.left, q.left)、(p.right, q.right) |
| 对称二叉树 | A 的左 = B 的右,A 的右 = B 的左 | (a.left, b.right)、(a.right, b.left) |
总结
- 对称二叉树的核心是镜像比较,而非 "左右子树相同",必须交换左右节点的比较顺序;
- 递归解法需定义辅助函数,主函数仅需触发根节点左右子树的镜像检查;
- 迭代解法用队列成对存储待比较节点,按镜像规则入队 / 出队,逻辑和递归一致;
- 边界条件需注意:空树、单节点树都是对称的,不要错误排除这类情况。
很简单的两道题目!加油,打卡。