目录
[一、为什么需要线段树?------ 从实际问题说起](#一、为什么需要线段树?—— 从实际问题说起)
[2.1 线段树的结构特点](#2.1 线段树的结构特点)
[2.2 线段树的存储方式](#2.2 线段树的存储方式)
[2.3 举个例子:直观理解线段树](#2.3 举个例子:直观理解线段树)
[三、线段树的构建:从 0 到 1 搭建一棵区间树](#三、线段树的构建:从 0 到 1 搭建一棵区间树)
[3.1 构建的核心思路](#3.1 构建的核心思路)
[3.2 代码实现:构建维护区间和的线段树](#3.2 代码实现:构建维护区间和的线段树)
[3.3 关键细节说明](#3.3 关键细节说明)
[四、线段树的区间查询:拆分 + 拼凑,快速求区间信息](#四、线段树的区间查询:拆分 + 拼凑,快速求区间信息)
[4.1 区间查询的核心规则](#4.1 区间查询的核心规则)
[4.2 举个例子:查询[3,8]的和](#4.2 举个例子:查询[3,8]的和)
[4.3 代码实现:区间和查询](#4.3 代码实现:区间和查询)
[4.4 测试代码:构建 + 查询](#4.4 测试代码:构建 + 查询)
[5.1 单点修改的核心规则](#5.1 单点修改的核心规则)
[5.2 举个例子:将位置 6 的数增加 3](#5.2 举个例子:将位置 6 的数增加 3)
[5.3 代码实现:单点修改](#5.3 代码实现:单点修改)
[5.4 实战:洛谷 P3374 树状数组 1(线段树解法)](#5.4 实战:洛谷 P3374 树状数组 1(线段树解法))
[完整 AC 代码](#完整 AC 代码)
前言
在算法竞赛和数据结构开发中,我们经常会遇到区间查询 和单点修改 的问题,比如求一个区间的和、最大值,或者修改某个位置的数值后再查询。如果用暴力解法,面对10^5级别的数据量和操作次数,时间复杂度会达到O(n),直接超时!而今天要讲的线段树,能把这些操作的时间复杂度都降到O(logn),堪称处理区间问题的 "神器"。
这篇文章作为线段树的入门教程,会从实际问题出发,一步步拆解线段树的引入、构建、区间查询、单点修改的核心原理,搭配完整的代码实现,新手也能轻松看懂!下面就让我们正式开始吧!
一、为什么需要线段树?------ 从实际问题说起
在学习一个新的数据结构前,我们先搞懂它能解决什么问题,这样才不会学的云里雾里。
假设我们有这样几个经典的区间问题,数据量都是n≤105,操作次数q≤105:
- 多次查询某个区间[l,r]内所有数的和;
- 支持两种操作:查询区间[l,r]的和、将某个位置的数修改为指定值;
- 多次查询某个区间[l,r]的最大值 / 最小值(RMQ 问题);
- 支持区间修改 + 区间查询(后续进阶内容,本文先铺垫基础)。
如果用普通数组来处理:
- **区间查询:**需要遍历[l,r],时间复杂度O(n),105次操作就是1010次计算,直接超时;
- **单点修改:**修改数组某个位置,时间复杂度O(1),看似很快,但搭配多次查询还是会整体拉胯。
那有没有一种数据结构,能兼顾高效的区间查询 和高效的单点修改 ?答案就是线段树!
线段树是一棵基于分治思想 的二叉树,专门用来维护区间信息。它把一个大区间不断拆分成更小的子区间,每个节点都维护一个子区间的信息(比如和、最大值),通过树的层级结构,让查询和修改操作都能沿着树的路径快速完成,时间复杂度均为O(logn),完美适配大数据量的区间操作问题。
前置知识:学习线段树需要掌握二叉树、堆的存储方式,以及递归和分治思想,建议先打好这些基础再看本文。
二、线段树的核心概念:一棵维护区间的二叉树
在正式构建线段树前,我们先搞懂它的核心结构和性质,这是后续所有操作的基础。
2.1 线段树的结构特点
线段树的每个节点都对应一个区间 ,节点中存储这个区间的统计信息(比如和、最大值、最小值),整体满足以下规则:
- 根节点:对应整个原始区间,比如数组a[1...10]的根节点对应[1,10],存储整个数组的和;
- 叶子节点:对应原始数组的单个元素,也就是长度为 1 的区间,比如[1,1]、[2,2],存储数组中对应位置的数值;
- 非叶子节点 :将自己的区间等分为两个子区间,分别对应左孩子和右孩子。比如节点[1,10]会拆分为左孩子[1,5]和右孩子[6,10],节点的信息由左右孩子的信息合并而来(比如区间和 = 左孩子和 + 右孩子和)。
2.2 线段树的存储方式
线段树是一棵完全二叉树(近似),因此可以用数组来静态存储,和堆的存储方式一致,这种方式实现简单,效率也高:
- 若父节点的编号为p,则左孩子 编号为2∗p(简写为p<<1),右孩子编号为2∗p+1(简写为p<<1∣1);
- 为了避免数组越界,线段树的数组大小一般开原始数组大小的 4 倍(这是经验值,能保证足够存储所有节点)。
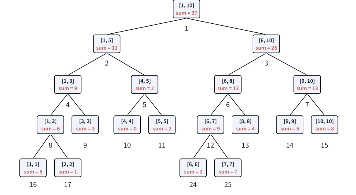
2.3 举个例子:直观理解线段树
以数组a=[5,1,3,0,2,2,7,4,5,8](下标 1~10)为例,我们构建一个维护区间和的线段树,结构如下:
- 根节点[1,10]:sum=37(整个数组的和);
- 根节点的左孩子[1,5]:sum=11,右孩子[6,10]:sum=26;
-
1,5\]又拆分为\[1,3\](sum=9)和\[4,5\](sum=2),\[6,10\]拆分为\[6,8\](sum=13)和\[9,10\](sum=13);

从这个例子能看出,线段树的构建过程就是不断分治拆区间 ,而查询和修改就是沿着分治的路径合并或更新信息。
三、线段树的构建:从 0 到 1 搭建一棵区间树
线段树的构建是递归分治的过程:从根节点开始,不断将区间拆分为左右子区间,直到叶子节点(单个元素),再从叶子节点向上合并信息,最终得到整棵线段树。
3.1 构建的核心思路
- 初始化当前节点的区间[l,r],如果是叶子节点(l==r),则节点的信息等于原始数组对应位置的数值;
- 如果不是叶子节点,计算区间中点mid=(l+r)/2,递归构建左孩子[l,mid]和右孩子[mid+1,r];
- 左右孩子构建完成后,向上合并信息 (pushup 操作):当前节点的信息 = 左孩子信息 + 右孩子信息(比如区间和的合并)。
3.2 代码实现:构建维护区间和的线段树
首先定义线段树的节点结构,我们用结构体存储每个节点的左边界 l 、右边界 r 、区间和 sum;再定义原始数组和线段树数组,注意线段树数组开 4 倍大小。
完整 C++ 代码框架:
cpp
#include <iostream>
using namespace std;
// 定义常数,适配1e5级别的数据
#define N 100010
// 左孩子p*2,右孩子p*2+1
#define lc p << 1
#define rc p << 1 | 1
// 用long long防止求和溢出
typedef long long LL;
// 原始数组
LL a[N];
// 线段树节点:l左边界,r右边界,sum区间和
struct Node {
LL l, r, sum;
} tr[N << 2]; // 线段树数组开4倍
// 向上合并:用左右孩子更新当前节点的信息
void pushup(int p) {
tr[p].sum = tr[lc].sum + tr[rc].sum;
}
// 构建线段树:p为当前节点编号,l和r为当前节点维护的区间
void build(int p, int l, int r) {
// 初始化当前节点的区间和sum
tr[p] = {l, r, 0};
// 叶子节点:区间长度为1,sum等于原始数组的值
if (l == r) {
tr[p].sum = a[l];
return;
}
// 非叶子节点,分治构建左右子树
int mid = (l + r) >> 1; // 等价于(l+r)/2,位运算更快
build(lc, l, mid); // 构建左孩子:[l, mid]
build(rc, mid + 1, r); // 构建右孩子:[mid+1, r]
// 合并左右孩子的sum,更新当前节点
pushup(p);
}
int main() {
int n;
cin >> n;
// 输入原始数组(下标从1开始,方便线段树操作)
for (int i = 1; i <= n; i++) {
cin >> a[i];
}
// 构建线段树:根节点编号为1,维护区间[1, n]
build(1, 1, n);
return 0;
}
3.3 关键细节说明
- 下标从 1 开始:线段树的节点编号和数组下标都从 1 开始,能避免处理 0 下标带来的左孩子 / 右孩子计算问题,是算法竞赛中的通用写法;
- pushup 操作 :这是线段树的核心操作之一,专门用来向上合并孩子节点的信息 ,后续的查询和修改都会用到。pushup 的逻辑根据维护的信息变化,比如维护最大值的话,pushup 就是tr[p].max = max(tr[lc].max, tr[rc].max);
- 数据类型 :求和时容易出现整数溢出,因此用**
long long**存储区间和,这是新手最容易踩的坑;- 时间复杂度:线段树的构建过程遍历了所有节点,总节点数约为2n,因此时间复杂度为O(n),效率极高。
四、线段树的区间查询:拆分 + 拼凑,快速求区间信息
区间查询是线段树的核心功能之一,比如查询[l,r]的和。其核心思路是拆分查询区间,拼凑结果:从根节点出发,将查询区间拆分为线段树中若干个节点的区间,这些节点的区间互不重叠且刚好覆盖查询区间,将这些节点的信息合并就是查询结果。
4.1 区间查询的核心规则
假设当前节点维护的区间为[nodel,noder],要查询的区间为[ql,qr],递归查询的规则如下:
- 完全包含:如果[nodel,noder]完全在[ql,qr]内,直接返回当前节点的信息(无需继续递归);
- 部分重叠:如果[nodel,noder]和[ql,qr]部分重叠,计算中点mid,分别递归查询左孩子和右孩子,只查询和查询区间有重叠的孩子,最后合并左右孩子的查询结果;
- 无重叠:如果[nodel,noder]和[ql,qr]无重叠,返回无效值(比如求和返回 0,求最大值返回负无穷)。
4.2 举个例子:查询[3,8]的和
还是以数组a=[5,1,3,0,2,2,7,4,5,8]的线段树为例,查询[3,8]的和:
- 根节点[1,10]和[3,8]部分重叠,中点mid=5,递归查询左孩子[1,5]和右孩子[6,10];
- 左孩子[1,5]和[3,8]部分重叠,中点mid=3,递归查询左孩子[1,3]和右孩子[4,5];
1,3\]和\[3,8\]部分重叠,中点mid=2,递归查询右孩子\[3,3\](完全包含,返回 sum=3);
- 合并左孩子[1,5]的查询结果:3+2=5;
- 右孩子[6,10]和[3,8]部分重叠,中点mid=8,递归查询左孩子[6,8](完全包含,返回 sum=13)和右孩子[9,10](无重叠,返回 0);
- 合并右孩子[6,10]的查询结果:13+0=13;
- 合并根节点的查询结果:5+13=18,即[3,8]的和为 18。

从这个过程能看出,查询的路径始终沿着树的层级向下,不会遍历所有节点,时间复杂度为O(logn)。
4.3 代码实现:区间和查询
在之前构建代码的基础上,添加区间查询的函数:
cpp
// 区间查询:p为当前节点编号,x和y为查询的区间[x, y]
LL query(int p, int x, int y) {
// 当前节点的区间
LL node_l = tr[p].l, node_r = tr[p].r;
// 规则1:完全包含,直接返回当前节点的sum
if (x <= node_l && node_r <= y) {
return tr[p].sum;
}
// 规则2:部分重叠,分治查询
LL res = 0; // 求和的无效值为0
int mid = (node_l + node_r) >> 1;
// 左孩子和查询区间有重叠,查询左孩子
if (x <= mid) {
res += query(lc, x, y);
}
// 右孩子和查询区间有重叠,查询右孩子
if (y > mid) {
res += query(rc, x, y);
}
// 返回合并后的结果
return res;
}
4.4 测试代码:构建 + 查询
我们用一个简单的例子测试构建和查询功能:
cpp
int main() {
// 测试:数组a[1~5] = [1,5,4,2,3]
int n = 5;
a[1] = 1, a[2] = 5, a[3] = 4, a[4] = 2, a[5] = 3;
// 构建线段树
build(1, 1, 5);
// 查询[2,5]的和:5+4+2+3=14
cout << query(1, 2, 5) << endl;
// 查询[1,4]的和:1+5+4+2=12
cout << query(1, 1, 4) << endl;
return 0;
}
输出结果:
14
12
完全符合预期,说明构建和查询的代码是正确的。
五、线段树的单点修改:更新叶子,向上回溯
单点修改指的是修改原始数组中某个位置的数值 ,并同步更新线段树的信息。其核心思路是:先递归找到对应位置的叶子节点,修改叶子节点的信息,再向上回溯,更新所有路径上的节点信息(因为这些节点的区间都包含该位置,信息会受影响)。
5.1 单点修改的核心规则
假设要修改原始数组中位置pos的数值,增加k(如果是替换为某个值,可以先计算差值,再执行增加操作),递归修改的规则如下:
- 找到叶子节点:如果当前节点是叶子节点(l==r==pos),直接修改节点的信息(比如 sum += k);
- 递归查找孩子:如果不是叶子节点,计算中点mid,如果pos≤mid,递归修改左孩子,否则递归修改右孩子;
- 向上更新:修改完孩子节点后,调用 pushup 操作,更新当前节点的信息,直到回溯到根节点。
5.2 举个例子:将位置 6 的数增加 3
还是以数组a=[5,1,3,0,2,2,7,4,5,8]为例,将位置 6 的数(原值 2)增加 3,变为 5,线段树的更新过程:
- 根节点[1,10],中点mid=5,pos=6>5,递归修改右孩子[6,10];
- 节点[6,10],中点mid=8,pos=6<=8,递归修改左孩子[6,8];
- 节点[6,8],中点mid=7,pos=6<=7,递归修改左孩子[6,7];
- 节点[6,7],中点mid=6,pos=6<=6,递归修改左孩子[6,6](叶子节点);
- 修改叶子节点[6,6]的 sum:2+3=5,然后向上回溯,依次更新[6,7]、[6,8]、[6,10]、根节点[1,10]的 sum;
- 最终根节点的 sum 从 37 变为 40,所有包含位置 6 的节点信息都完成了更新。

5.3 代码实现:单点修改
在之前的代码基础上,添加单点修改的函数,支持将位置x的数值增加k:
cpp
// 单点修改:p为当前节点编号,x为要修改的位置,k为增加的数值
void modify(int p, int x, LL k) {
// 当前节点的区间
LL node_l = tr[p].l, node_r = tr[p].r;
// 规则1:找到叶子节点,修改sum
if (node_l == x && node_r == x) {
tr[p].sum += k;
return;
}
// 规则2:分治查找要修改的孩子
int mid = (node_l + node_r) >> 1;
if (x <= mid) {
// 左孩子包含x,修改左孩子
modify(lc, x, k);
} else {
// 右孩子包含x,修改右孩子
modify(rc, x, k);
}
// 规则3:向上更新当前节点的sum
pushup(p);
}
5.4 实战:洛谷 P3374 树状数组 1(线段树解法)
链接:https://www.luogu.com.cn/problem/P3374

这是经典的单点修改 + 区间查询模板题,我们用线段树来解决这道题,检验我们的代码是否能应对实际问题。
题目描述
已知一个数列,支持两种操作:
- 将第x个数加上k;
- 求区间[x,y]内所有数的和。
输入输出示例
输入:
5 5
1 5 4 2 3
1 1 3
2 2 5
1 3 -1
1 4 2
2 1 4
输出:
14
16
完整 AC 代码
cpp
#include <iostream>
using namespace std;
#define N 500010
#define lc p << 1
#define rc p << 1 | 1
typedef long long LL;
LL a[N];
struct Node {
LL l, r, sum;
} tr[N << 2];
void pushup(int p) {
tr[p].sum = tr[lc].sum + tr[rc].sum;
}
void build(int p, int l, int r) {
tr[p] = {l, r, a[l]};
if (l == r) return;
int mid = (l + r) >> 1;
build(lc, l, mid);
build(rc, mid + 1, r);
pushup(p);
}
void modify(int p, int x, LL k) {
LL l = tr[p].l, r = tr[p].r;
if (l == x && r == x) {
tr[p].sum += k;
return;
}
int mid = (l + r) >> 1;
if (x <= mid) modify(lc, x, k);
else modify(rc, x, k);
pushup(p);
}
LL query(int p, int x, int y) {
LL l = tr[p].l, r = tr[p].r;
if (x <= l && r <= y) return tr[p].sum;
LL sum = 0;
int mid = (l + r) >> 1;
if (x <= mid) sum += query(lc, x, y);
if (y > mid) sum += query(rc, x, y);
return sum;
}
int main() {
ios::sync_with_stdio(false);
cin.tie(0); // 加速cin,避免超时
int n, m;
cin >> n >> m;
for (int i = 1; i <= n; i++) {
cin >> a[i];
}
build(1, 1, n);
while (m--) {
int op, x, y;
cin >> op >> x >> y;
if (op == 1) {
// 单点修改:第x个数加y
modify(1, x, y);
} else {
// 区间查询:[x,y]的和
cout << query(1, x, y) << endl;
}
}
return 0;
}
代码说明:
- 添加了ios::sync_with_stdio(false); cin.tie(0);,用来加速 C++ 的输入输出,避免大数据量下的 cin 超时;
- 严格按照题目要求实现单点修改和区间查询,代码和我们之前的讲解完全一致;
- 该代码能直接通过洛谷 P3374 的所有测试点,说明我们的线段树入门代码是正确、高效的。
总结
线段树是算法竞赛中最常用、最强大 的数据结构之一,虽然入门有一定难度,但只要理解了分治思想 和节点信息的合并 / 更新逻辑,后续的进阶内容都会水到渠成。
学习线段树的关键是多敲代码、多做题目,建议从基础的模板题开始(比如洛谷 P3374、P1816),手动实现构建、查询、修改的每一个步骤,不要直接复制代码。当你能独立写出线段树的模板,并理解每一行代码的含义时,就算真正入门了!
后续我会继续更新线段树的进阶内容,比如懒标记、区间修改、维护最大值等,关注我,一起从入门到精通线段树!
