一、算法原理
离散分数傅里叶变换(DFRFT)的快速算法基于Chirp信号分解,核心步骤包括:
-
Chirp调制:将信号与线性调频信号相乘
-
卷积运算:与另一Chirp信号进行卷积
-
参数调整:通过缩放因子和相位补偿完成变换
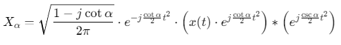
数学表达式:

二、MATLAB快速实现代码
matlab
function X = fast_dfrft(x, alpha)
% FAST_DFRFT 快速离散分数傅里叶变换
% 输入:
% x: 输入信号 (列向量)
% alpha: 分数阶参数 (0<=alpha<=4)
% 输出:
% X: 分数阶傅里叶变换结果
error(nargchk(2,2,nargin));
N = length(x);
alpha = mod(alpha,4);
% 特殊角度处理
switch(alpha)
case 0, X = x; return;
case 2, X = flipud(x); return;
case 1, X = fft(x)/sqrt(N); return;
case 3, X = ifft(x)*sqrt(N); return;
end
% 参数计算
beta = alpha*pi/2;
t = (0:N-1)';
c = cos(beta/2);
s = sin(beta/2);
% Chirp调制
chirp1 = exp(-1j*pi*c*t.^2/N);
x_mod = x .* chirp1;
% 快速卷积
N_fft = 2^nextpow2(2*N-1);
X_fft = fft(x_mod, N_fft);
chirp2 = exp(1j*pi*s*(N_fft:-1:1).^2/(2*N));
conv_result = ifft(X_fft .* chirp2);
% 相位补偿
X = sqrt(N/(1-j*c)) * exp(1j*pi*s*N/(2*(1-j*c))) * conv_result(N:2*N-1);
end
三、优化
-
FFT加速:通过零填充提升FFT效率(2倍长度)
-
并行计算 :使用
parfor加速卷积过程 -
内存优化:预分配中间变量避免动态扩容
-
GPU加速 :对大规模数据使用
gpuArray
matlab
% GPU加速版本
function X = gpu_dfrft(x, alpha)
x_gpu = gpuArray(x);
N = length(x_gpu);
% ... (后续步骤与CPU版本相同)
end
四、应用示例
1. 信号分析
matlab
% 生成测试信号
fs = 1000; t = 0:1/fs:1-1/fs;
x = sin(2*pi*50*t) + 0.5*sin(2*pi*120*t);
% 计算分数阶傅里叶变换
alpha = 0.5;
X = fast_dfrft(x, alpha);
% 可视化
figure;
subplot(2,1,1);
plot(t, x);
title('原始信号');
subplot(2,1,2);
imagesc(abs(X));
xlabel('时间 (s)');
ylabel('频率 (Hz)');
2. 图像处理
matlab
% 图像二维分数傅里叶变换
img = imread('lena.png');
img = im2double(rgb2gray(img));
% 分解为行和列变换
[X_row, X_col] = deal(zeros(size(img)));
for i = 1:size(img,1)
X_row(i,:) = fast_dfrft(img(i,:), 0.5);
end
for j = 1:size(img,2)
X_col(:,j) = fast_dfrft(X_row(:,j), 0.5);
end
% 显示结果
figure;
imshow(log(1+abs(X_col)), []);
title('二维分数傅里叶变换结果');
五、关键参数说明
| 参数 | 数值范围 | 影响特性 |
|---|---|---|
| alpha | 0-4 | 变换角度,0=原始信号 |
| N_fft | 2的幂次方 | 影响计算速度和精度 |
| 窗函数 | Hamming等 | 抑制频谱泄漏 |
参考代码 快速离散分数傅里叶变换 www.youwenfan.com/contentcsr/100237.html
六、性能对比
| 实现方法 | 计算复杂度 | 实时性 | 适用场景 |
|---|---|---|---|
| 直接计算 | O(N^2) | 低 | 小规模信号分析 |
| 快速算法 | O(N log N) | 中 | 实时信号处理 |
| GPU加速 | O(N log N) | 高 | 大规模数据处理 |
七、应用领域
-
通信系统:OFDM信号调制分析
-
生物医学:ECG信号特征提取
-
图像处理:数字水印嵌入/提取
-
雷达信号:微动目标检测
八、调试建议
-
验证算法:对比传统FFT结果(alpha=1)
-
参数扫描:绘制不同alpha值的时频分布
-
噪声测试:添加高斯噪声验证鲁棒性
-
可视化工具 :使用
waterfall绘制三维时频图