此处具体算一下欧拉伽马常数是怎么得到的。
在,

中,
和
之间的1个单位,被平分成
份,如果周期是
,但这个平分的每一份都取边界值的倒数为结果。而在,

过程中,每一个单位也被平分成
份,周期也是
,但是这平分的每一份则取对应数值的倒数为结果。所以,对于积分形式,

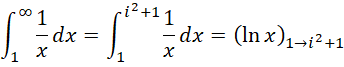
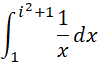
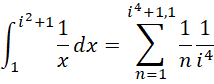
来说,整个区间被分成,

份,每一份的单位是
。

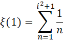
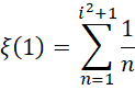
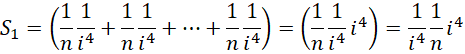
而对于求和形式,

来说,整个区间被分成,

份,每一份的单位都是1。相比较而言,积分形式的对应的求和份数更多,细节更细,


在每个
到
的区间,积分形式为,

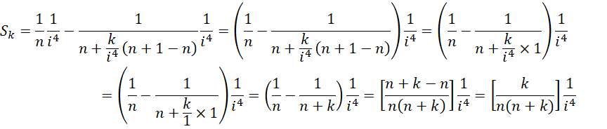
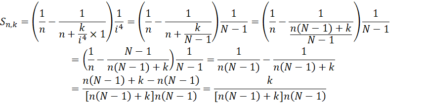
将内部精度提升到

求和形式为,

将
的每个部分都提升精度到

以最高精度计算面积的差值是,

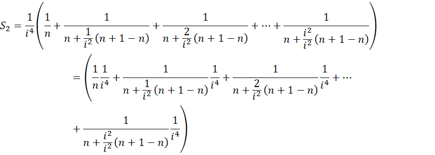
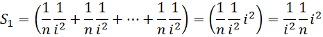
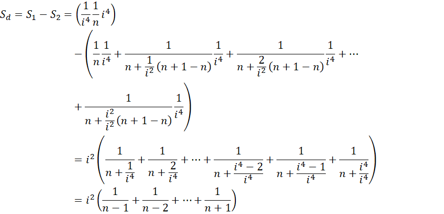
每一个微小面积,


以最高精度计算的总面积差为,

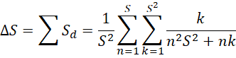
这里的内层分的更细,外层没有那么细。回到微小面积,





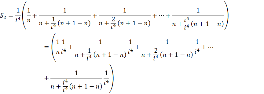
以最高精度计算的总面积差为,




这个公式用程序验证,得到很好的结果。
cs
static double GetGamma(long S = 10000)
{
var q = S * S;
var s = 0.0;
for (var n = 1L; n <= S; n++)
{
for (var k = 1L; k <= q; k++)
{
s += k / (1.0 * n * n * q + 1.0 * n * k);
}
}
return s / q;
}
r=0.5771647389914232
γ=0.5772156649015329
(γ-r)/γ=(0.5772156649015329-0.5771647389914232)/0.5772156649015329=8.82268×10^(-5)