

🔥@晨非辰Tong: 个人主页
👀专栏:《C语言》、《数据结构与算法入门指南》
💪学习阶段:C语言、数据结构与算法初学者
⏳"人理解迭代,神理解递归。"
文章目录
- 引言
- 一、相交链表
-
- [1.1 思路解答 + 作图演示](#1.1 思路解答 + 作图演示)
- [1.2 验证算法](#1.2 验证算法)
- 二、链表的回文结构
-
- [2.1 思路解答 + 作图演示](#2.1 思路解答 + 作图演示)
- [2.2 验证算法](#2.2 验证算法)
- 总结
引言
在算法学习中,链表因其灵活的结构成为高频考点。本期将攻克两大经典问题:「相交链表」 与「链表的回文结构」。跟随本篇题解,逐步拆解问题,提升链表类问题的实战能力
一、相交链表
题目链接: 160.相交链表-力扣(LeetCode)
- 题目描述:
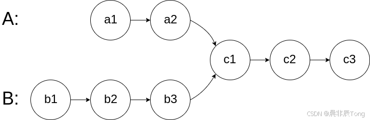
给你两个单链表的头节点 headA 和 headB ,请你找出并返回两个单链表相交的起始节点。如果两个链表不存在相交节点,返回 null 。
图示两个链表在节点 c1 开始相交:

题目数据保证整个链式结构中不存在环。注意,函数返回结果后,链表必须保持其原始结构 。
- 实现示例:



1.1 思路解答 + 作图演示
- 算法思路:
由于是单链表,节点只保存着下一个节点的地址,那么初步可以确定为遍历两个链表,那么该如何对俩个链表进行遍历呢?
- 简单的对两个链表分别进行遍历,寻找相同的
next(相同的节点地址)。(废弃)

经过作图发现,只是简单的分别遍历比较的话,如果两个链表的长度不相同 ,就会导致在相交的节点两个链表的遍历会错开,直到遍历完都没有找到。那么,何解??
-
以较长的链表B为基准,将链表A依次与链表B对比,寻找相同的节点。(可行,备选)

这个方法可行,但是显然易见:需要两个循环的嵌套,时间复杂度
O(N^2^)。 -
先让较长的链表走完两个链表长度的差值。(最优解)

那么,为了解决来链表长度不同导致的遍历步调不一致,就让长的链表先走,让两个来年表同起点。经过作图发现,让B链表先走差值(1位),之后二者的遍历步调一致,最终在节点c1相遇。时间复杂度:O(N)。
1.2 验证算法
c
/**
* Definition for singly-linked list.
* struct ListNode {
* int val;
* struct ListNode *next;
* };
*/
typedef struct ListNode ListNode;
struct ListNode *getIntersectionNode(struct ListNode *headA, struct ListNode *headB)
{
//求出两个链表的长度
//创建临时变量,不改变链表结构
ListNode* pa = headA;
ListNode* pb = headB;
int sizeA = 0, sizeB = 0;
//循环求长度
while(pa)
{
sizeA++;
pa = pa->next;
}
while(pb)
{
sizeB++;
pb = pb->next;
}
//长度差值,使用绝对值函数
int gap = abs(sizeA - sizeB);
//判断链表的长短
ListNode* longlist = headA;
ListNode* shortlist = headB;
if(sizeA < sizeB)
{
longlist = headB;
shortlist = headA;
}
//长链表先走gap步
while(gap--)
{
longlist = longlist->next;
}
//同时遍历
while(longlist)
{
//节点相同
if(longlist == shortlist)
{
return longlist;
}
//节点不同
longlist = longlist->next;
shortlist = shortlist->next;
}
//没有相同的节点
return NULL;
}

二、链表的回文结构
题目链接:链表的回文结构_牛客网
-
题目描述:
对于一个链表,请设计一个时间复杂度为
O(n),额外空间复杂度为O(1)的算法,判断其是否为回文结构。给定一个链表的头指针A,请返回一个bool值,代表其是否为回文结构。保证链表长度小于等于900。
-
实现示例:

2.1 思路解答 + 作图演示
- 算法思路:
-
创建新的链表,将原链表的所有节点重新拷贝一份,再将链表进行反转,与原链表比较。

-
因为有链表长度<=900的前提,那么就可以将链表转换为数组(数组大小已知,空间复杂度不变),创建数组将链表节点的数值全部存放,再比较。

这个思路跟容易就想到了,当然,这是一个取巧的方法,如果题目没有给出关于链表长度的限制,就不能使用这个方法了。
-
找到链表的中间节点,然后将后面的链表进行反转,再将原链表的前半部分和反转后的链表进行数值对比。

2.2 验证算法
- 验证算法思路2:将链表转换为数组,创建数组将链表节点的数值全部存放,再比较。
cpp
/*
struct ListNode {
int val;
struct ListNode *next;
ListNode(int x) : val(x), next(NULL) {}
};*/
class PalindromeList
{
public:
bool chkPalindrome(ListNode* A)
{
// write code here
//创建数组
int arr[900] = {0};
//遍历链表,将数值存放在数组中
ListNode* pcur = A;
int index = 0;
while(pcur)
{
arr[index++] = pcur->val;
pcur = pcur->next;
}
//创建左右指针,双方向遍历数组比较
int left = 0;
int right = index - 1;
while(left < right)
{
if(arr[left] != arr[right])
{
return false;
}
left++;
right--;
}
return true;
}
};

cpp
/*
struct ListNode {
int val;
struct ListNode *next;
ListNode(int x) : val(x), next(NULL) {}
};*/
class PalindromeList {
public:
//找到中间节点
ListNode* middleNode(struct ListNode* head)
{
//创建快慢指针
ListNode* fast, *slow;
//首先都指向头节点
fast = head;
slow = head;
//循环条件将两种情况都包含
while(fast != NULL && fast->next != NULL)//条件换顺序?
{
//慢指针移动一节点
slow = slow->next;
//快指针移动两个节点
fast = fast->next->next;
}
//返回slow
return slow;
}
//从中间节点开始反转链表
ListNode* reverseList(struct ListNode* head)
{
//创建三个指针
ListNode* n1, * n2, * n3;
//链表为空
if (head == NULL)
{
return head;
}
//链表不为空
//首先n1指向空
n1 = NULL;
n2 = head;
n3 = n2->next;
while (n2)//循环条件n2不为空(不超出链表)
{
n2->next = n1;
n1 = n2;
n2 = n3;
//当n2到达尾节点时,n3为空,不能对空指针解引用
if (n3)
{
n3 = n3->next;
}
}
return n1;
}
bool chkPalindrome(ListNode* A)
{
//找到中间节点
ListNode* mid = middleNode(A);
//从中间节点开始反转
ListNode* right = reverseList(mid);
//遍历原链表和反转之后的链表比较值是否相等
ListNode* left = A;
while (right) {
if (right->val != left->val)
{
return false;
}
right = right->next;
left = left->next;
}
return true;
}
};
总结
html
🍓 我是晨非辰Tong!若这篇技术干货帮你打通了学习中的卡点:
👀 【关注】跟我一起深耕技术领域,从基础到进阶,见证每一次成长
❤️ 【点赞】让优质内容被更多人看见,让知识传递更有力量
⭐ 【收藏】把核心知识点、实战技巧存好,需要时直接查、随时用
💬 【评论】分享你的经验或疑问(比如曾踩过的技术坑?),一起交流避坑
🗳️ 【投票】用你的选择助力社区内容方向,告诉大家哪个技术点最该重点拆解
技术之路难免有困惑,但同行的人会让前进更有方向~愿我们都能在自己专注的领域里,一步步靠近心中的技术目标!
结语:
「相交链表」的关键在于同步遍历:通过计算长度差与双指针同步移动,巧妙化解链表长度不一致的遍历难题,最终实现O(N)时间复杂度的高效判定。
「链表的回文结构」则需多技巧组合:寻找中间节点(快慢指针)与局部反转(三指针法)的结合,既满足了O(1)空间复杂度的要求,又通过对称比较精准判断回文特性。
两题共同体现了链表问题的核心解法------通过指针操作优化遍历路径,将复杂问题拆解为已知子问题,最终用简洁逻辑攻克难关。
