引言
本期介绍一种新的创新算法------孤行尺蠖觅食优化算法Solitary Inchworm Foraging Optimization,SIFO。该算法采用一种独特的单智能体搜索机制,对尺蠖的行为进行数学建模。开发了并行通信策略,使并行代理之间能够进行信息交换,在保证计算效率的同时提高解的质量。于2026年3月最新发表 在 JCR 1区,中科院1区(小区)期刊 Applied Mathematical Modelling。


数学建模
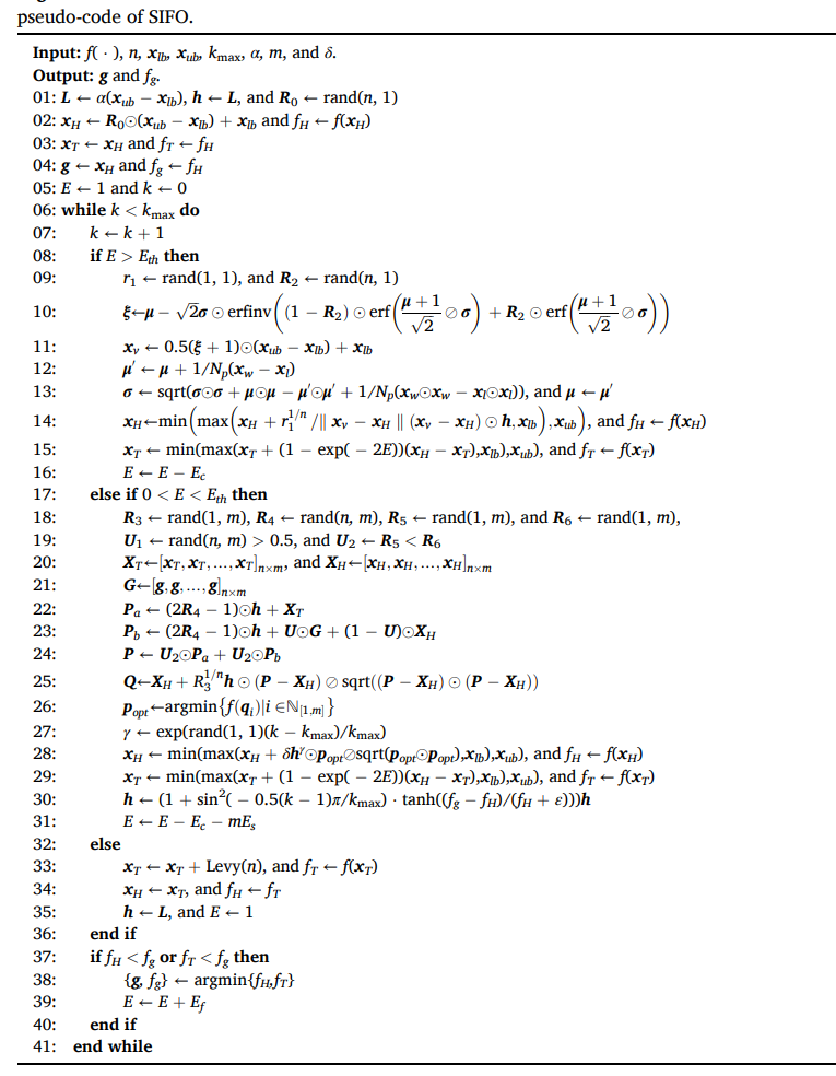
本节提供SIFO的数学模型、算法结构和并行通信策略。
- 初始化:和其他群优化算法一样,采用随机初始化。



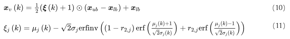
- 游荡行为:虽然尺蠖有足够的能量,但由于几乎不需要食物,尺蠖更喜欢四处游荡。设能量充足的阈值为Ew,当前迭代的尺蠖能量为E(k)。定义当E(k)≥Ew时,利用



根据尺蠖的基本运动规律,有

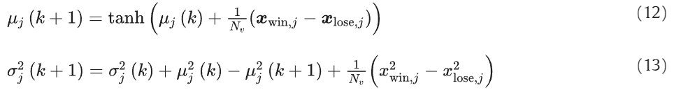
尺蠖的能量更新

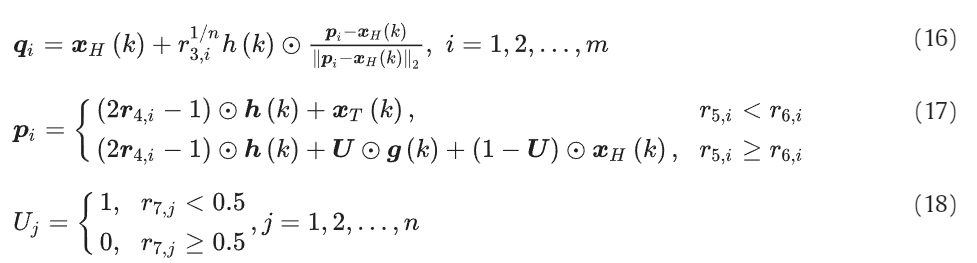
- 觅食行为:在觅食之前,尺蠖会先用头试探地搜索周围的环境。尺蠖的这种搜索策略在本文中称为试探性搜索。在试探性的搜寻过程中,尺蠖沿着几个最有可能找到食物来源的方向,以特定的步长移动它的头。然后,头部到达多个位置,尺蠖在所有搜索的位置中选择一个最优方向作为下一步的运动方向。

当尺蠖的能量降到阈值Ew以下,即E(k) < Ew时,尺蠖向食物源靠近,以获取生存所需的能量。

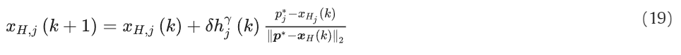
当尺蠖向前移动一步后,利用当前达到的全局最优(g)更新其步长,如下所示:

当尺蠖进行觅食行为时,它的能量被它的试探性搜索和移动所消耗。令Es表示每次尝试搜索的能量消耗,Ec(b)表示尺蠖向前移动一步的运动能量消耗。能量更新为

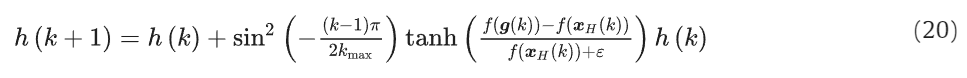
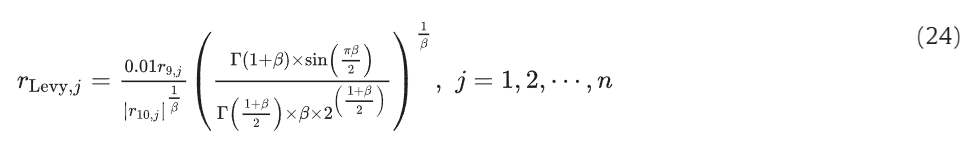
- 蜕皮行为:随着尺蠖的生长,它会进行蜕皮行为,脱落外骨骼以适应其不断增加的体型。当能量E(k)降至0时,意味着尺蠖在当前位置附近很难找到更好的位置,说明算法已经陷入局部最优。


当尺蠖找到食物来源时,它会获得能量并建立能量储备。在SIFO中,每次找到更好的最佳位置都标志着找到了食物来源。记录的最优位置是头、尾和当前找到的最优位置之间的最优位置,描述如下:

能量更新为

算法伪代码:


03. 对比验证
原文作者在三个知名的基准测试套件上进行的数值对比实验表明,该算法比八种最先进的元启发式算法具有显著的优越性。此外,还对两个机载应用案例进行了硬件在环仿真。仿真结果进一步验证了该算法的有效性,与5种基准算法相比,该算法的计算时间更少,求解质量更好。

参考文献
Zhihao Yu, Jialu Du, Guangqiang Li, A memory-saving metaheuristic algorithm for onboard optimization: Solitary Inchworm Foraging Optimizer, Applied Mathematical Modelling,Volume 151, Part A,2026,116423, https://doi.org/10.1016/j.apm.2025.116423..
Matlab代码下载
微信搜索并关注-优化算法侠(英文名:Swarm-Opti),或扫描下方二维码关注,以算法名字搜索历史文章即可下载。
完整代码

https://mp.weixin.qq.com/s/Q8WIx_zQ2Pbq7Mh_jsc8UQ
点击链接跳转:
400多种优化算法免费下载-matlab
求解cec测试函数-matlab
cec2022测试函使用教程及matlab代码免费下载
绘制cec2017/018/2019/2020/2021/2022函数的三维图像教程,SO EASY!
215种群智能优化算法python库
解决12工程设计优化问题-matlab
求解11种cec测试函数-python
解决30种工程设计优化问题-python
《一行破万法》:80余种改进策略仅需一行,可改进所有优化算法(附matlab代码)
【有经典,有最新】24种信号分解方法(附matlab代码)
【分类新范式】28种一维数据转换成二维图像的方法-matlab代码
2025年故障诊断的创新思路在哪里?赶紧来学习这28种创新方法!
https://mp.weixin.qq.com/s/EdRYeziIhnZE5zK0ZZhwmg