Matlab一维光子晶体能带求解,PWE FDTD 传输矩阵等。
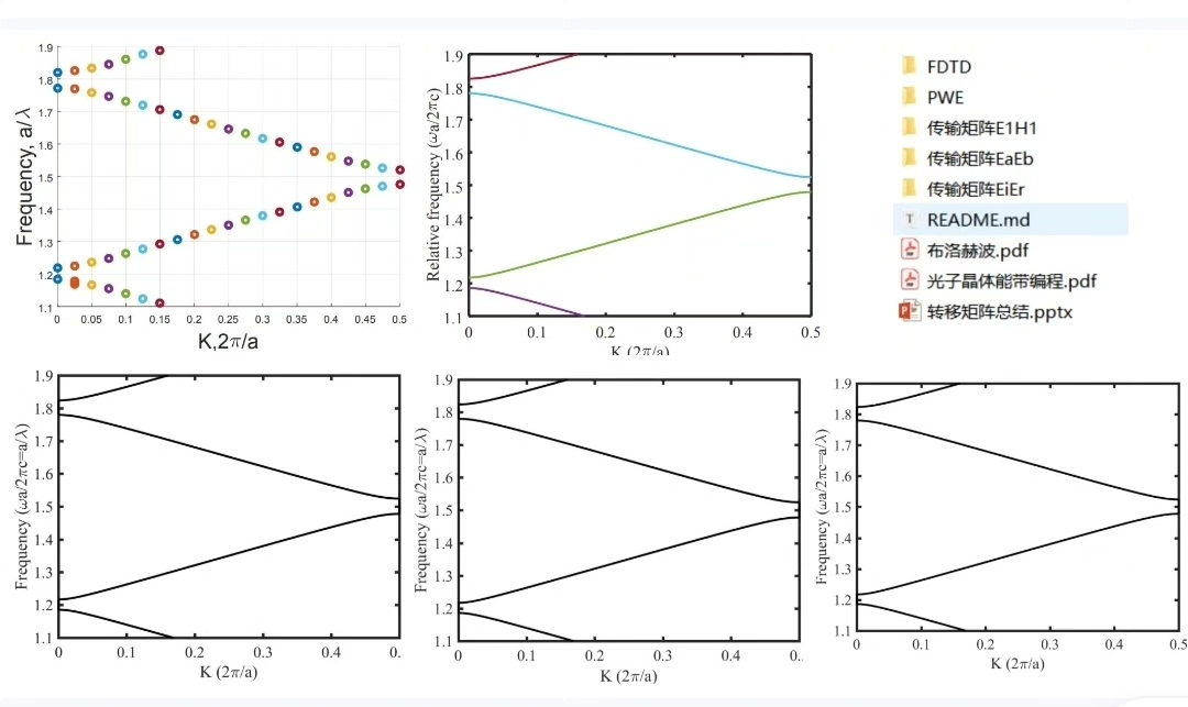
一维光子晶体能带计算这事儿听起来高大上,实际用Matlab搞起来其实挺接地气的。今天咱们直接开撸三种常用方法------平面波展开法(PWE)、传输矩阵和FDTD,手把手教你用代码把能带结构抠出来。
平面波展开法:傅里叶暴力美学
PWE的核心就是把介电常数和电磁场用平面波展开,最后整出个本征方程。举个栗子,假设咱们有个周期性排列的介质(比如ε1=4和ε2=9交替),晶格常数a=1。先算介电常数ε的傅里叶系数:
matlab
N = 21; % 平面波数量,必须奇数
G = (-(N-1)/2:(N-1)/2)*(2*pi/a);
epsilon = zeros(N,N);
for m = 1:N
for n = 1:N
g = G(m) - G(n);
if g == 0
epsilon(m,n) = 0.5*(1/4 + 1/9); % 平均介电常数倒数
else
epsilon(m,n) = (1/4 - 1/9)*1i/(g*a)*(exp(-1i*g*a/2)-1);
end
end
end
这段代码在构造介电常数的傅里叶分量矩阵。注意这里用了介电常数倒数的展开,所以最后出来的矩阵其实是关于1/ε的。接下来构造哈密顿矩阵求本征频率:
matlab
k = linspace(0, pi/a, 50); % 第一布里渊区
bands = zeros(length(k), N);
for i = 1:length(k)
H = (diag(k(i)+G).^2) * inv(epsilon); % 哈密顿矩阵
bands(i,:) = sqrt(eig(H)); % 频率=sqrt(本征值)
end
plot(k, real(bands), 'b.');
这里有个坑:平面波数量N太小会导致结果不准确,但N太大计算量爆炸。一般先试N=21,如果带隙形状不稳就加量。
传输矩阵:层层套娃的艺术
传输矩阵法特别适合处理多层膜结构。每层用一个2x2矩阵描述电磁波的传递,整个结构就是这些矩阵的连乘。假设咱们有AB两种介质层,厚度d1=0.2a,d2=0.8a:
matlab
function T = layer_matrix(epsilon, d, omega)
k = omega*sqrt(epsilon);
T = [exp(1i*k*d), 0; 0, exp(-1i*k*d)]; % 传播矩阵
interface = 0.5*[1+sqrt(epsilon), 1-sqrt(epsilon);
1-sqrt(epsilon), 1+sqrt(epsilon)]; % 界面矩阵
T = interface \ T * interface; % 组合
end
omega = linspace(0, 5, 300);
trans = zeros(size(omega));
for i = 1:length(omega)
T_total = eye(2);
for j = 1:10 % 10个周期
T_total = T_total * layer_matrix(4, 0.2, omega(i));
T_total = T_total * layer_matrix(9, 0.8, omega(i));
end
trans(i) = 1 / abs(T_total(1,1))^2; % 透射率
end
plot(omega, trans);
这个代码在计算透射谱------带隙对应透射率暴跌的区域。注意当频率ω使矩阵连乘后T(1,1)接近零时,就出现带隙。传输矩阵法的优势是处理缺陷层特别方便,随便插几层进去计算量变化不大。
FDTD:时域硬核模拟
虽然FDTD计算量大,但看着电磁波在晶体里蹦跶实在解压。设置空间网格和时间步长:
matlab
Nz = 200; % 空间点数
epsilon = 4*ones(Nz,1);
epsilon(50:50:end) = 9; % 每50格插入高介电层
Ez = zeros(Nz,1); Hy = zeros(Nz,1);
omega_list = []; % 记录激发频率
for t = 1:1e4
Hy(1:end-1) = Hy(1:end-1) + (Ez(2:end) - Ez(1:end-1))/1; % 空间导数
Ez(2:end) = Ez(2:end) + (Hy(2:end) - Hy(1:end-1))./epsilon(2:end);
Ez(Nz/2) = Ez(Nz/2) + sin(0.1*t)*exp(-(t-100)^2/200); % 高斯脉冲激励
if t > 500 % 等稳态后记录
omega_list = [omega_list; abs(fft(Ez))];
end
end
spectrum = mean(omega_list,1);
plot(linspace(0,1,length(spectrum)), spectrum);
这里用了软激励源,通过傅里叶变换得到频域响应。带隙对应的频率会在频谱上出现凹陷。FDTD的妙处在于能直接看到电磁场的空间分布,比如带隙频率的场会被强烈局域在缺陷层附近。
三种方法各有骚操作:PWE适合快速扫参数,传输矩阵处理多层结构得心应手,FDTD则是肉眼可见的物理过程。下次老板催你算光子晶体,别犹豫,Matlab三连直接糊他脸上。
