克莱姆法则(Cramer's Rule)
克莱姆法则是求解 n 阶线性方程组 的重要方法,核心是通过行列式判断方程组解的存在性、唯一性,并直接用行列式表示解。以下是完整且步骤清晰的证明过程:
一、前置定义与前提条件
1. 4 阶线性方程组的标准形式
设 4 阶线性方程组为:

其中:
是未知数;
是系数;
是常数项。
2. 关键行列式定义
- 系数行列式:由方程组系数构成的 4 阶行列式,记为 D:

- 替换行列式 :将 D 的第 j 列(系数
)替换为常数项
,得到的 n 阶行列式记为
:

3. 前提假设
克莱姆法则的适用条件:系数行列式 。
二、克莱姆法则的结论
若 n 阶线性方程组的系数行列式 ,则方程组有且仅有唯一解:
三、证明过程(分 3 步:存在性→唯一性→解的形式)
步骤 1:证明 "解的存在性"------ 验证
满足方程组
我们需要验证:满足原方程组的每一个方程。
需验证:对任意 i=1,2,3,4(对应 4 个方程),均有
两边同乘 D,等价于证明:
第一步:展开替换行列式 
将 按第 j 列展开(第 j 列是
),根据 4 阶行列式按列展开法则:

其中 是 D 中
的代数余子式(注:
的第 j 列代数余子式与 D 的第 j 列代数余子式完全相同,因为划去第 k 行第 j 列后,剩余元素与 D 一致)
代入等式 (1) 左边

交换求和顺序(先对 j 求和,再对 k 求和):
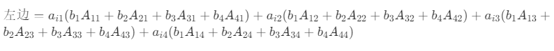
左边=
第三步:利用行列式展开性质化简
根据 4 阶行列式的核心性质:
- 当 k=i 时,
(按第 i 行展开 D);
- 当
时,
(某一行元素与另一行元素的代数余子式乘积之和为 0)。
因此,等式 (2) 中仅 k=i 的项非零,其余项为 0:

故 满足第 i 个方程,由 i 的任意性,该解满足所有 4 个方程,"存在性" 得证。
四、特殊情况:齐次线性方程组
若原方程组的常数项全为 0(即 b1=b2=⋯=bn=0),则:
- 替换行列式
(第 j 列全为 0,行列式值为 0);
- 若
,则唯一解为
(零解)。
推论:齐次线性方程组有非零解的充要条件是其系数行列式 D=0。
五、证明总结
克莱姆法则的证明核心依赖 行列式的按行 / 列展开性质(代数余子式的正交性):
- 构造候选解
,验证其满足原方程组(存在性);
- 利用齐次方程组的性质证明解唯一(唯一性);
- 结合前两步,确定唯一解的形式。
该法则的意义在于:当 时,直接通过行列式给出解的表达式,无需高斯消元,且明确了 "行列式非零" 与 "解唯一" 的等价关系。