【Leetcode105&106】用遍历序列还原二叉树:前序+中序、后序+中序的统一套路与"先建哪边"的坑

二叉树的遍历序列题,特别像"看上去是模板题,但真正拉开差距的是细节"。很多时候不是不会写,而是写着写着就把"顺序"弄反,结果要么构出来的树不对,要么直接递归爆栈。
做这类题,我习惯先把两件事牢牢记住:
- 前序 / 后序序列负责告诉我:根节点是谁
- 中序序列负责告诉我:左子树和右子树的边界在哪里
接下来就交给递归:每次在中序区间里切一刀,把大问题切成左右子树的小问题继续做。
这篇文章把两道题放在一起讲:
- 题目 A:前序 preorder + 中序 inorder 构造树
- 题目 B:中序 inorder + 后序 postorder 构造树
并且会重点解释一个非常高频的问题(也是最容易踩坑的地方):
为什么在"后序+中序"构造树里,递归必须先构建 right 再构建 left?
如果把 left 放前面,为什么会直接 StackOverflow?
一、 Leetcode105:preorder + inorder 构造二叉树
题目回顾
给两个数组:
preorder:先序遍历(根 → 左 → 右)inorder:中序遍历(左 → 根 → 右)
要求构造原二叉树并返回根节点。
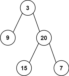
示例:
- preorder =
[3,9,20,15,7] - inorder =
[9,3,15,20,7]
输出树层序:[3,9,20,null,null,15,7]
先序 + 中序的关键结论
这里的思路非常"干脆":
- 先序的第一个元素一定是当前子树的根
- 在中序里找到这个根的位置,就能把中序分成:左半段=左子树,右半段=右子树
二、来看这段代码(题目 Leetcode105 的实现)
java
class Solution {
public int preindex = 0;
public TreeNode buildTree(int[] preorder, int[] inorder) {
return buildChildTree(preorder, inorder, 0, inorder.length - 1);
}
public TreeNode buildChildTree(int[] preorder, int[] inorder, int ibegin, int iend) {
if (ibegin > iend) return null;
TreeNode root = new TreeNode(preorder[preindex]);
int rootIndex = findval(inorder, ibegin, iend, preorder[preindex]);
preindex++;
root.left = buildChildTree(preorder, inorder, ibegin, rootIndex - 1);
root.right = buildChildTree(preorder, inorder, rootIndex + 1, iend);
return root;
}
private int findval(int[] inorder, int ibegin, int iend, int val) {
for (int i = ibegin; i <= iend; i++) {
if (inorder[i] == val) return i;
}
return -1;
}
}
这段代码的整体思路(拆成三句话)
把它当成一个"递归工厂",每次负责生产一棵子树:
preindex永远指向"当前子树的根",因为先序是"根左右"- 在
inorder[ibegin..iend]中找到根的位置rootIndex - 递归构建左区间和右区间,最后把它们挂到 root 上
为什么这里是"先构建 left,再构建 right"?
原因很本质:先序遍历的顺序就是:
根 → 左 → 右
根节点用掉之后,preindex 指向的下一个节点就是左子树的根。如果这时候先去建右子树,那就相当于拿着左子树的根去右区间里找,必然错位。
所以题目 A 的顺序必须是:
java
root.left = ...
root.right = ...
三、题目 B:inorder + postorder 构造二叉树
题目回顾
给两个数组:
inorder:中序遍历(左 → 根 → 右)postorder:后序遍历(左 → 右 → 根)
要求构造原二叉树并返回根节点。
示例:
- inorder =
[9,3,15,20,7] - postorder =
[9,15,7,20,3]
输出树层序:[3,9,20,null,null,15,7]
后序 + 中序的关键结论
这里同样抓住"根"和"切割"两件事:
- 后序的最后一个元素一定是当前子树的根
- 中序切分方式仍然一样:左边是左子树,右边是右子树
- 但这里有一个超级关键点:如果从后往前消费 postorder,顺序是"根 → 右 → 左"
为什么会这样?因为后序是:左 → 右 → 根
倒过来读就是:根 → 右 → 左
这个"倒序的顺序"就是题目 B 的坑点核心。
四、来看这段代码(Leetcode106 的实现)
java
class Solution {
public int preindex = 0;
public TreeNode buildTree(int[] inorder, int[] postorder) {
preindex = postorder.length - 1;
return buildChildTree(postorder, inorder, 0, inorder.length - 1);
}
public TreeNode buildChildTree(int[] postorder, int[] inorder, int ibegin, int iend) {
if (ibegin > iend) return null;
TreeNode root = new TreeNode(postorder[preindex]);
int rootIndex = findval(inorder, ibegin, iend, postorder[preindex]);
if (preindex > 0) preindex--;
root.right = buildChildTree(postorder, inorder, rootIndex + 1, iend);
root.left = buildChildTree(postorder, inorder, ibegin, rootIndex - 1);
return root;
}
private int findval(int[] inorder, int ibegin, int iend, int val) {
for (int i = ibegin; i <= iend; i++) {
if (inorder[i] == val) return i;
}
return -1;
}
}
这段代码的整体思路(仍然是同一套路)
如果只看骨架,会发现它和题目 A 非常像:
preindex从 postorder 的最后开始走:每次取当前根- 在 inorder 切出左右子树区间
- 递归构建左右子树并挂上去
真正的差别只有一个点(但这个点能决定生死):
- 题目 A:
preindex从左往右走,根之后是左子树 - 题目 B:
preindex从右往左走,根之后是右子树
于是就引出了那个关键疑问。
五、关键疑问:为什么题目 Leetcode106 不能先构建 left?
问题说得再具体一点:
如果把这两行交换顺序
root.left = ...放到root.right = ...前面就会 StackOverflow;换回来又好了。为什么?
答案一句话就够:
因为倒序 postorder 的消费顺序是"根 → 右 → 左",如果先构建 left,就会拿"右子树的根"去左区间里找,找不到导致 rootIndex = -1,区间无法正确缩小,递归不收敛,最终爆栈。
下面把这个"爆栈链条"详细展开(这部分是理解的关键)。
六、爆栈是怎么发生的:错位消费 + 找不到根 + 区间不收缩
用示例来走一次:
- inorder
[9, 3, 15, 20, 7] - postorder
[9, 15, 7, 20, 3]
初始化 preindex = 4,指向 3。
1)第一步:取根 3 没问题
-
root = 3
-
在 inorder 找到 3 的位置:rootIndex = 1
切分:
- 左区间
[0..0]→[9] - 右区间
[2..4]→[15,20,7]
- 左区间
-
preindex-- 指向 20(注意:下一位是 20)
2)如果先构建 left,就直接错位
此时 preindex 指向的是 20 ,但左区间里只有 9。
如果先递归构建 left,会做:
- root = postorder[preindex] = 20
- 然后在 inorder 的左区间
[9]里找 20 - 找不到 →
findval返回-1
3)rootIndex = -1 会引发致命后果
接下来递归会用 rootIndex 去计算左右区间:
- 右区间:
rootIndex + 1 .. iend→0 .. iend - 左区间:
ibegin .. rootIndex - 1→ibegin .. -2
左区间很快会因为 ibegin > iend 返回 null,这还好。
但右区间变成了 0..iend ------ 很可能比当前区间还大或几乎没变,递归规模不缩小。
递归能结束依赖的就是这句 base case:
java
if (ibegin > iend) return null;
可一旦区间不缩小,base case 永远触发不了,就会不断递归下去,最终 StackOverflow。
4)为什么换成先 right 就好了?
因为 preindex-- 后指向的 20,恰好是 右子树的根,右区间也确实包含 20,所以:
- rootIndex 能正确找到
- inorder 区间会不断缩小
- 递归自然收敛
- 整个过程稳定结束
所以题目 B 必须:
java
root.right = ...
root.left = ...
这不是"写法偏好",是由"倒序消费 postorder 的顺序 = 根右左"决定的。
七、把两题统一成一个"记忆模型"
如果不想每次都重推,可以只记一个模型(非常好用):
- 中序 inorder:负责切割左右边界
- 另一种遍历(前序/后序):负责 warn 我根节点出现的位置
- 消费遍历数组的方向,决定先建哪一边
对应关系:
前序 + 中序
- 前序:根 左 右
- 从左往右消费:根之后是左子树
- 所以:先建 left,再建 right
后序 + 中序
- 后序:左 右 根
- 从右往左消费:根之后是右子树(倒序根右左)
- 所以:先建 right,再建 left
这就是顺序的"根本原因"。
八、一个很实用的工程化补充:O(n²) 可以优化到 O(n)
两段代码都用 findval 在 inorder 区间线性扫描找 rootIndex。最坏情况下(树极度不平衡)会退化成 O(n²)。
更稳的做法是:
- 先用 HashMap 把 inorder 的值映射到下标:
value -> index - 每次找 rootIndex 直接 O(1)
n 最大 3000,其实不少平台 O(n²) 也能过,但写成 O(n) 更像"标准答案"。
九、小结
这两题的本质是一件事:
- 先序/后序给出"根"
- 中序定位根的位置,切成左右子树区间
- 递归重复
- 关键差异只有一个:消费遍历序列的方向不同,导致必须先构建的子树不同
- 前序从左到右:根之后是左 ⇒ 先 left 后 right
- 后序从右到左:根之后是右 ⇒ 先 right 后 left
- 在后序题里如果先建 left,会把右子树根塞进左区间,根下标找不到导致区间不收缩,最后爆栈
这一套想明白之后,类似的题(如"前序+中序还原""后序+中序还原""层序+中序是否可行"等)都会变得非常直观:先问"根从哪来",再问"中序怎么切",最后问"谁先被消费"。