单源最短路
在图 G 中,假设vi 和 vj为图中的两个顶点,那么vi 到 vj路径上所经过边的权值之和就称为带权
路径⻓度。
由于 v i 到 v j 的路径可能有多条,将带权路径⻓度最短的那条路径称为最短路径。
最短路⼀般分为两类:
• 单源最短路,即图中⼀个顶点到其它各顶点的最短路径。
• 多源最短路,即图中每对顶点间的最短路径。

1 常规版 dijkstra 算法
Dijkstra 算法是 基于贪⼼思想的 单源最短路算法,求解的是" ⾮负权图 "上单源最短路径。

常规版 dijkstra 算法流程:
• 准备⼯作:
◦ 创建⼀个⻓度为 n 的 dist 数组,其中 dist[i] 表⽰从起点到 i 结点的最短路;
◦ 创建⼀个⻓度为 n 的 bool 数组 st ,其中 st[i] 表⽰ i 点是否已经确定了最短路。
• 初始化: dist[1] = 0 ,其余结点的 dist 值为⽆穷⼤,表⽰还没有找到最短路。
• 重复:在所有没有确定最短路的点中,找出最短路⻓度最⼩的点 u 。打上确定最短路的标记,然
后对 u 的出边进⾏松弛操作;
• 重复上述操作,直到所有点的最短路都确定。
代码实现:(⼤家会发现,这个代码⾮常像 prim 算法)
cpp
void dijkstra()
{
// 第一步:初始化dist数组(一开始都设为无穷大,除了起点)
for(int i = 0; i <= n; i++) dist[i] = INF;
dist[s] = 0; // 起点到自己的距离是0(自己到自己不用走)
// 第二步:外层循环(循环n-1次,后面解释为啥)
for(int i = 1; i < n; i++)
{
// 子步骤1:找"没确定最短路"里,dist最小的点u
int u = 0; // 先把u初始化成0(0号点没用,只是临时值)
for(int j = 1; j <= n; j++) // 遍历所有点(1到n)
{
// 如果j点没确定最短路,且j点的dist比u点小,就把u换成j
if(!st[j] && dist[j] < dist[u]) u = j;
}
// 子步骤2:给u打标记------u的最短路已经确定了,不用再改了
st[u] = true;
// 子步骤3:松弛操作(核心!逐行讲)
for(auto& t : edges[u]) // 遍历u点能到的所有点(t是{v,w},v=终点,w=路长)
{
int v = t.first, w = t.second; // 把t拆开:v是u能到的点,w是这条路的长度
// 如果"从起点到u的距离 + u到v的路长" 比 "原来记录的起点到v的距离" 更小,就更新
if(dist[u] + w < dist[v])
{
dist[v] = dist[u] + w; // 更新dist[v]为更小的距离
}
}
}
// 第三步:输出从起点到每个点的最短距离
for(int i = 1; i <= n; i++)
{
cout << dist[i] << " ";
}
}
2 堆优化版 dijkstra 算法
在常规版的基础上,⽤优先级队列去维护待确定最短路的结点。
堆优化版的 dijkstra 算法流程:
• 准备⼯作:
◦ 创建⼀个⻓度为 n 的 dist 数组,其中 dist[i] 表⽰从起点到 i 结点的最短路;
◦ 创建⼀个⻓度为 n 的 bool 数组 st ,其中 st[i] 表⽰ i 点是否已经确定了最短路;
◦ 创建⼀个⼩根堆,维护更新后的结点。(也就是需要确定最短路的结点)
• 初始化: dist[1] = 0 ,然后将 {0, s} 加到堆⾥;其余结点的 dist 值为⽆穷⼤,表⽰还 没有找到最短路。
• 重复:弹出堆顶元素,如果该元素已经标记过,就跳过;如果没有标记过,打上标记,进⾏松弛操 作。
• 重复上述操作,直到堆⾥⾯没有元素为⽌。
代码实现:(其实 prim 算法也有⼀个堆优化的版本,但是时间复杂度和 kk 算法相差⽆⼏,因此没有 讲解)
cpp
void dijkstra()
{
// 步骤1:初始化dist数组为"无穷大"(比常规版的for循环快)
memset(dist, 0x3f, sizeof dist);
// 步骤2:定义小根堆,堆里存{距离, 结点编号},堆顶是最小的
priority_queue<PII, vector<PII>, greater<PII>> heap;
// 步骤3:把起点的{距离0, 起点s}放进堆里(初始化堆)
heap.push({0, s});
dist[s] = 0; // 和常规版一样,起点到自己的距离是0
// 步骤4:外层循环(只要堆里有元素就循环,代替常规版的n-1次循环)
while(heap.size())
{
// 步骤5:取出堆顶的最小元素(距离最小的结点),并删掉堆顶
auto t = heap.top(); heap.pop();
int u = t.second; // 堆里存的是{距离, 结点},所以t.second是结点编号u
// 步骤6:如果u已经标记过(最短路确定),直接跳过(堆里可能存重复的u)
if(st[u]) continue;
// 步骤7:给u打标记(和常规版一样,确定u的最短路)
st[u] = true;
// 步骤8:松弛操作(和常规版基本一样,多了一步把新距离放进堆)
for(auto& t : edges[u]) // 遍历u能到的所有点
{
int v = t.first, w = t.second; // v是终点,w是路长
// 如果"起点到u的距离 + u到v的路长"比"原来的起点到v的距离"小
if(dist[u] + w < dist[v])
{
dist[v] = dist[u] + w; // 更新dist[v](和常规版一样)
// 新增:把更新后的{dist[v], v}放进堆里,方便后续找最小点
heap.push({dist[v], v});
}
}
}
// 步骤9:输出结果(和常规版一样)
for(int i = 1; i <= n; i++) cout << dist[i] << " ";
}
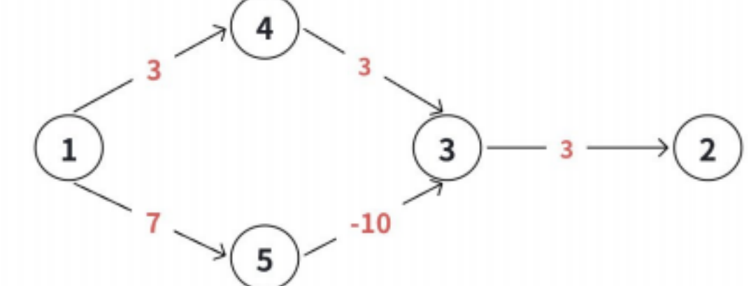
如果出现负权边,就会出错:

3 bellman-ford 算法
Bellman‒Ford 算法(之后简称 BF 算法)是⼀种基于松弛操作的最短路算法,可以求出有负权的图的最 短路,并可以对最短路不存在的情况进⾏判断。
算法核⼼思想: 不断尝试对图上每⼀条边进⾏松弛,直到所有的点都⽆法松弛为⽌。

Bellman‒Ford 算法流程:
• 准备⼯作:
◦ 创建⼀个⻓度为 n 的 dist 数组,其中 dist[i] 表⽰从起点到 i 结点的最短路。
• 初始化: dist[1] = 0 ,其余结点的 dist 值为⽆穷⼤,表⽰还没有找到最短路。
• 重复:每次都对所有的边进⾏⼀次松弛操作。
• 重复上述操作,直到所有边都不需要松弛操作为⽌。
最多重复多少轮松弛操作?
在最短路存在的情况下,由于⼀次松弛操作会使最短路的边数⾄少增加 1,⽽最短路的边数最多为 n - 1。因此整个算法最多执⾏轮松弛操作 n - 1 轮。故总时间复杂度为 O ( nm ) 。
代码实现:
cpp
#include <iostream>
#include <vector>
using namespace std;
typedef pair<int, int> PII;
const int N = 1e4 + 10, INF = 2147483647;
int n, m, s;
vector<PII> edges[N];
int dist[N];
void bf()
{
for(int i = 0; i <= n; i++) dist[i] = INF;
dist[s] = 0;
bool flag = false;
for(int i = 1; i < n; i++)
{
flag = false; // 判断是否进⾏了松弛操作
for(int u = 1; u <= n; u++)
{
if(dist[u] == INF) continue;
for(auto& t : edges[u])
{
int v = t.first, w = t.second;
if(dist[u] + w < dist[v])
{
dist[v] = dist[u] + w;
flag = true;
}
}
}
if(flag == false) break;
}
for(int i = 1; i <= n; i++) cout << dist[i] << " ";
}
int main()
{
cin >> n >> m >> s;
for(int i = 1; i <= m; i++)
{
int u, v, w; cin >> u >> v >> w;
edges[u].push_back({v, w});
}
bf();
return 0;
}
4 spfa 算法
spfa 即 Shortest Path Faster Algorithm,本质是⽤队列对 BF 算法做优化。
在 BF 算法中,很多时候我们并不需要那么多⽆⽤的松弛操作:
• 只有上⼀次被松弛的结点,它的出边,才有可能引起下⼀次的松弛操作;
• 因此,如果⽤队列来维护"哪些结点可能会引起松弛操作",就能只访问必要的边了,时间复杂度就 能降低。
spfa 算法流程:
• 准备⼯作: ◦ 创建⼀个⻓度为 n 的 dist 数组,其中 dist[i] 表⽰从起点到 i 结点的最短路;
◦ 创建⼀个⻓度为 n 的 bool 数组 st ,其中 st[i] 表⽰ i 点是否已经在队列中。
• 初始化:标记 dist[1] = 0 ,同时 1 ⼊队;其余结点的 dist 值为⽆穷⼤,表⽰还没有找到
最短路。
• 重复:每次拿出队头元素 u ,去掉在队列中的标记,同时对 u 所有相连的点 v 进⾏松弛操作。
如果结点 v 被松弛,那就放进队列中。
• 重复上述操作,直到队列中没有结点为⽌。
注意注意注意:
虽然在⼤多数情况下 spfa 跑得很快,但其最坏情况下的时间复杂度为 。将其卡到这个复杂度
也是不难的,所以在没有负权边时最好使⽤ Dijkstra 算法。
cpp
#include <iostream>
#include <queue>
#include <vector>
using namespace std;
typedef pair<int, int> PII;
const int N = 1e4 + 10, INF = 2147483647;
int n, m, s;
vector<PII> edges[N];
int dist[N];
bool st[N]; // 标记哪些结点在队列中
void spfa()
{
for(int i = 0; i <= n; i++) dist[i] = INF;
queue<int> q;
q.push(s);
dist[s] = 0;
st[s] = true;
while(q.size())
{
auto a = q.front(); q.pop();
st[a] = false;
for(auto& t : edges[a])
{
int b = t.first, c = t.second;
if(dist[a] + c < dist[b])
{
dist[b] = dist[a] + c;
if(!st[b])
{
q.push(b);
st[b] = true;
}
}
}
}
for(int i = 1; i <= n; i++) cout << dist[i] << " ";
}
int main()
{
cin >> n >> m >> s;
for(int i = 1; i <= m; i++)
{
int a, b, c; cin >> a >> b >> c;
edges[a].push_back({b, c});
}
spfa();
return 0;
}
5 【模板】单源最短路问题(弱化版)
题⽬来源: 洛⾕
题⽬链接: P3371 【模板】单源最短路径(弱化版)
难度系数: ★★
题目背景
本题测试数据为随机数据,在考试中可能会出现构造数据让 SPFA 不通过,如有需要请移步 P4779。
题目描述
如题,给出一个有向图,请输出从某一点出发到所有点的最短路径长度。
输入格式
第一行包含三个整数 n,m,s,分别表示点的个数、有向边的个数、出发点的编号。
接下来 m 行每行包含三个整数 u,v,w,表示一条 u→v 的,长度为 w 的边。
输出格式
输出一行 n 个整数,第 i 个表示 s 到第 i 个点的最短路径,若不能到达则输出 231−1。
输入输出样例
输入 #1复制
4 6 1
1 2 2
2 3 2
2 4 1
1 3 5
3 4 3
1 4 4
输出 #1复制
0 2 4 3
说明/提示
【数据范围】
对于 20% 的数据:1≤n≤5,1≤m≤15;
对于 40% 的数据:1≤n≤100,1≤m≤104;
对于 70% 的数据:1≤n≤1000,1≤m≤105;
对于 100% 的数据:1≤n≤104,1≤m≤5×105,1≤u,v≤n,w≥0,∑w<231,保证数据随机。
Update 2022/07/29:两个点之间可能有多条边,敬请注意。
对于真正 100% 的数据,请移步 P4779。请注意,该题与本题数据范围略有不同。
样例说明:

图片 1 到 3 和 1 到 4 的文字位置调换
【解法】
常规版 dijkstra 算法。
【参考代码】
cpp
#include<iostream>
#include<vector>
#include<cmath>
using namespace std;
typedef pair<int,int>PII;
typedef long long LL;
const int N=1e4+10,INF=2147483647; // INF=2^31-1,符合题目要求
int n,m,s;
vector<PII>edges[N]; // 邻接表存图:edges[u]存<终点, 边权>
LL dist[N]; // 存起点到各点的最短距离
bool st[N]; // 标记是否确定最短路
void dijkstra(){
for(int i=0;i<=n;i++) dist[i]=INF;
dist[s]=0; // 起点到自己的距离为0
// 修正2:外层循环改为i=1到n-1(循环n-1次,常规版标准逻辑)
for(int i=1;i<n;i++){
// 步骤1:找未标记的点中距离最小的点u
int u=0;
for(int j=1;j<=n;j++){
if(!st[j] && dist[j]<dist[u]){
u=j;
}
}
// 步骤2:标记u的最短路已确定
st[u]=true;
// 步骤3:松弛操作------用u更新邻接点的距离
for(auto& t:edges[u]){
int v=t.first, w=t.second; // v=邻接点,w=边权
if(dist[u]+w < dist[v]){
dist[v] = dist[u]+w;
}
}
}
// 输出结果:起点到1~n号点的最短距离
for(int i=1;i<=n;i++){
cout<<dist[i]<<" ";
}
}
int main()
{
// 输入:结点数n、边数m、起点s
cin>>n>>m>>s;
// 输入m条有向边:u→v,权值w
for(int i=1;i<=m;i++){
int u,v,w;
cin>>u>>v>>w;
edges[u].push_back({v,w});
}
// 执行dijkstra算法并输出
dijkstra();
return 0;
}
6 【模板】单源最短路问题(标准版)
题⽬来源: 洛⾕
题⽬链接: P4779 【模板】单源最短路径(标准版)
难度系数: ★★
题目背景
2018 年 7 月 19 日,某位同学在 NOI Day 1 T1 归程 一题里非常熟练地使用了一个广为人知的算法求最短路。
然后呢?
100→60;
Ag→Cu;
最终,他因此没能与理想的大学达成契约。
小 F 衷心祝愿大家不再重蹈覆辙。
题目描述
给定一个 n 个点,m 条有向边的带非负权图,请你计算从 s 出发,到每个点的距离。
数据保证你能从 s 出发到任意点。
输入格式
第一行为三个正整数 n,m,s。 第二行起 m 行,每行三个非负整数 ui,vi,wi,表示从 ui 到 vi 有一条权值为 wi 的有向边。
输出格式
输出一行 n 个空格分隔的非负整数,表示 s 到每个点的距离。
输入输出样例
输入 #1复制
4 6 1
1 2 2
2 3 2
2 4 1
1 3 5
3 4 3
1 4 4
输出 #1复制
0 2 4 3
说明/提示
样例解释请参考 数据随机的模板题。
1≤n≤105;
1≤m≤2×105;
s=1;
1≤ui,vi≤n;
0≤wi≤109,
0≤∑wi≤109。
本题数据可能会持续更新,但不会重测,望周知。
2018.09.04 数据更新 from @zzq
【解法】
堆优化版 dj 算法。
【参考代码】
cpp
#include <iostream>
#include <queue>
#include <vector>
#include <cstring>
using namespace std;
// PII:存<距离, 结点编号>,小根堆按距离从小到大排序
typedef pair<int, int> PII;
const int N = 1e5 + 10; // 适配大数据量(1e5个点),比常规版的1e4更大
int n, m, s; // n=结点数,m=边数,s=起点
vector<PII> edges[N]; // 邻接表:edges[u]存<终点v, 边权w>
bool st[N]; // 标记结点是否确定最短路
int dist[N]; // 存起点到各结点的最短距离
void dijkstra() {
// 初始化dist数组为"无穷大"(0x3f≈10亿,足够大且不溢出)
memset(dist, 0x3f, sizeof dist);
// 定义小根堆:优先队列,greater<PII>表示按第一个元素升序排列
priority_queue<PII, vector<PII>, greater<PII>> heap;
// 起点初始化:距离为0,放入堆中
heap.push({0, s});
dist[s] = 0;
// 堆不为空时循环(代替常规版的n-1次循环)
while (heap.size()) {
// 取出堆顶(距离最小的结点)并弹出
auto t = heap.top();
heap.pop();
int u = t.second; // 堆中存的是<距离, 结点>,所以t.second是结点编号
if (st[u]) continue; // 该结点已确定最短路,直接跳过(堆中可能有重复)
st[u] = true; // 标记u的最短路已确定
// 松弛操作:遍历u的所有出边,更新邻接点的距离
for (auto& edge : edges[u]) {
int v = edge.first; // 邻接点v
int w = edge.second; // 边权w
// 如果"起点到u的距离 + u到v的边权" < "起点到v的当前距离",则更新
if (dist[u] + w < dist[v]) {
dist[v] = dist[u] + w;
// 把更新后的<新距离, v>放入堆,供后续找最小距离
heap.push({dist[v], v});
}
}
}
// 输出起点到1~n号点的最短距离
for (int i = 1; i <= n; i++) {
cout << dist[i] << " ";
}
}
int main() {
// 输入结点数、边数、起点
cin >> n >> m >> s;
// 输入m条有向边:u→v,权值w
for (int i = 1; i <= m; i++) {
int x, y, z;
cin >> x >> y >> z;
edges[x].push_back({y, z});
}
// 执行堆优化版dijkstra算法
dijkstra();
return 0;
}
7 【模板】负环
题⽬来源: 洛⾕
题⽬链接: P3385 【模板】负环
难度系数: ★★
题目描述
给定一个 n 个点的有向图,请求出图中是否存在从顶点 1 出发能到达的负环。
负环的定义是:一条边权之和为负数的回路。
输入格式
本题单测试点有多组测试数据。
输入的第一行是一个整数 T,表示测试数据的组数。对于每组数据的格式如下:
第一行有两个整数,分别表示图的点数 n 和接下来给出边信息的条数 m。
接下来 m 行,每行三个整数 u,v,w。
- 若 w≥0,则表示存在一条从 u 至 v 边权为 w 的边,还存在一条从 v 至 u 边权为 w 的边。
- 若 w<0,则只表示存在一条从 u 至 v 边权为 w 的边。
输出格式
对于每组数据,输出一行一个字符串,若所求负环存在,则输出 YES,否则输出 NO。
输入输出样例
输入 #1复制
2
3 4
1 2 2
1 3 4
2 3 1
3 1 -3
3 3
1 2 3
2 3 4
3 1 -8
输出 #1复制
NO
YES
说明/提示
数据规模与约定
对于全部的测试点,保证:
- 1≤n≤2×103,1≤m≤3×103。
- 1≤u,v≤n,−104≤w≤104。
- 1≤T≤10。
提示
请注意,m 不是图的边数。
【解法】
如果图中存在负环,那么有可能不存在最短路。
BF 算法判断负环
• 执⾏ n 轮松弛操作,如果第 n 轮还存在松弛操作,那么就有负环。
spfa 算法判断负环
• 维护⼀个 cnt 数组记录从起点到该点所经过的边数,如果 cnt[i] >= n ,说明有负环。
【参考代码】
BF 算法判断负环
cpp
#include <iostream>
#include <cstring>
using namespace std;
const int N = 2e3 + 10; // 最大点数(2000)
const int M = 3e3 + 10; // 最大边数(3000),因为w≥0时边会翻倍,所以开2倍
int n, m;
int pos; // 记录边的总数(因为w≥0时会加两条边)
// 结构体:存一条边的信息(起点u,终点v,边权w)
struct node {
int u, v, w;
} e[M * 2]; // 边数组,开2倍防止溢出
int dist[N]; // dist[i]:从1号点到i号点的当前最短距离
// BF算法:返回true表示有负环,false表示没有
bool bf() {
// 初始化距离:所有点设为"无穷大"(0x3f3f3f3f≈10亿),1号点距离为0
memset(dist, 0x3f, sizeof dist);
dist[1] = 0;
bool flag; // 标记本轮是否有松弛操作(更新距离)
// 核心:循环n轮(正常最短路最多n-1轮,第n轮还能更细就说明有负环)
for (int i = 1; i <= n; i++) {
flag = false; // 初始化为无松弛
// 遍历所有边,尝试松弛
for (int j = 1; j <= pos; j++) {
int u = e[j].u, v = e[j].v, w = e[j].w;
// 如果u点的距离是无穷大(没走到过),跳过
if (dist[u] == 0x3f3f3f3f) continue;
// 松弛操作:如果从u到v能让dist[v]更小,就更新
if (dist[u] + w < dist[v]) {
dist[v] = dist[u] + w;
flag = true; // 标记本轮有松弛
}
}
// 如果本轮没有松弛,说明所有最短路都确定了,直接返回false(无负环)
if (!flag) return false;
}
// 循环n轮后还能松弛,说明有负环
return flag;
}
int main() {
int T; // 测试数据组数
cin >> T;
while (T--) { // 处理每组数据
cin >> n >> m;
pos = 0; // 每组数据前清空边的计数
// 输入m条边的信息,处理双向/单向
for (int i = 1; i <= m; i++) {
int u, v, w;
cin >> u >> v >> w;
// 先加u→v的边
pos++;
e[pos].u = u;
e[pos].v = v;
e[pos].w = w;
// 如果w≥0,再加v→u的边(双向)
if (w >= 0) {
pos++;
e[pos].u = v;
e[pos].v = u;
e[pos].w = w;
}
}
// 调用BF算法,输出结果
if (bf()) cout << "YES" << endl;
else cout << "NO" << endl;
}
return 0;
}
spfa 算法判断负环
cpp
// spfa 算法判断负环
#include <iostream>
#include <queue>
#include <vector>
#include <cstring>
using namespace std;
typedef pair<int, int> PII;
const int N = 2e3 + 10;
int n, m;
vector<PII> edges[N];
int dist[N];
bool st[N]; // 标记哪些点在队列中
int cnt[N];
bool spfa()
{
// 初始化
memset(dist, 0x3f, sizeof dist);
memset(st, 0, sizeof st);
memset(cnt, 0, sizeof cnt);
queue<int> q;
q.push(1);
dist[1] = 0;
st[1] = true;
while(q.size())
{
auto u = q.front(); q.pop();
st[u] = false;
for(auto& t : edges[u])
{
int v = t.first, w = t.second;
if(dist[u] + w < dist[v])
{
dist[v] = dist[u] + w;
cnt[v] = cnt[u] + 1;
if(cnt[v] >= n) return true;
if(!st[v])
{
q.push(v);
st[v] = true;
}
}
}
}
return false;
}
int main()
{
int T; cin >> T;
while(T--)
{
cin >> n >> m;
// 清空 edges 数组
for(int i = 1; i <= n; i++) edges[i].clear();
for(int i = 1; i <= m; i++)
{
int u, v, w; cin >> u >> v >> w;
edges[u].push_back({v, w});
if(w >= 0) edges[v].push_back({u, w});
}
if(spfa()) cout << "YES" << endl;
else cout << "NO" << endl;
}
return 0;
}

其实还有两个单源最短路算法,那就是普通 bfs 以及 01bfs:
• 普通 bfs 只能处理边权全部相同且⾮负的最短路;
• 01bfs 只能解决边权要么为 0,要么为 1 的情况。
.8 邮递员送信
题⽬来源: 洛⾕
题⽬链接: P1629 邮递员送信
难度系数: ★★
题目描述
有一个邮递员要送东西,邮局在节点 1。他总共要送 n−1 样东西,其目的地分别是节点 2 到节点 n。由于这个城市的交通比较繁忙,因此所有的道路都是单行的,共有 m 条道路。这个邮递员每次只能带一样东西,并且运送每件物品过后必须返回邮局 。求送完这 n−1 样东西并且最终回到邮局最少需要的时间。
输入格式
第一行包括两个整数,n 和 m,表示城市的节点数量和道路数量。
第二行到第 (m+1) 行,每行三个整数,u,v,w,表示从 u 到 v 有一条通过时间为 w 的道路。
输出格式
输出仅一行,包含一个整数,为最少需要的时间。
输入输出样例
输入 #1复制
5 10
2 3 5
1 5 5
3 5 6
1 2 8
1 3 8
5 3 4
4 1 8
4 5 3
3 5 6
5 4 2
输出 #1复制
83
说明/提示
对于 30% 的数据,1≤n≤200。
对于 100% 的数据,1≤n≤103,1≤m≤105,1≤u,v≤n,1≤w≤104,输入保证任意两点都能互相到达。
【解法】
从起点找别的点的最短距离很简单,直接跑各种最短路算法均可。
但是从别的点回到起点的最短路,如果直接求时间复杂度巨⾼。思考⼀件事:
• 假设从某⼀点 z,到达起点的最短路径为:z -> y -> x -> s;
• 那么反过来就是 s -> x -> y -> z 的最短路径。
因此,仅需对原图的所有图建⽴⼀个"反图",然后跑⼀遍最短路即可。这就是建"反图"的技巧。
【参考代码】
cpp
#include <iostream>
#include <cstring>
using namespace std;
const int N = 1e3 + 10; // 最大节点数(1000)
int n, m;
int e[N][N]; // 邻接矩阵存图:e[u][v]表示u→v的最短时间(初始为无穷大)
bool st[N]; // 标记节点是否确定最短路(dijkstra用)
int dist[N]; // 存起点(1号)到各点的最短距离
// 常规版dijkstra算法(邻接矩阵版)
void dijkstra() {
// 初始化:距离设为无穷大,起点1的距离为0
memset(dist, 0x3f, sizeof dist);
memset(st, 0, sizeof st); // 标记数组清零
dist[1] = 0;
// 循环n次,每次确定一个点的最短路
for (int i = 1; i <= n; i++) {
// 步骤1:找未标记的点中距离最小的点a
int a = 0;
for (int j = 1; j <= n; j++) {
if (!st[j] && dist[j] < dist[a]) {
a = j;
}
}
st[a] = true; // 标记a的最短路已确定
// 步骤2:松弛操作------用a更新所有邻接点的距离
for (int b = 1; b <= n; b++) {
int c = e[a][b]; // a→b的时间
// 如果"1→a的距离 + a→b的时间" < "1→b的当前距离",更新
if (dist[a] + c < dist[b]) {
dist[b] = dist[a] + c;
}
}
}
}
int main() {
cin >> n >> m;
// 初始化邻接矩阵:所有边设为无穷大(0x3f≈10亿)
memset(e, 0x3f, sizeof e);
// 输入m条单向边,存到邻接矩阵(保留最短的边,比如多条u→v取最小w)
for (int i = 1; i <= m; i++) {
int a, b, c;
cin >> a >> b >> c;
e[a][b] = min(c, e[a][b]); // 防止重边,取最小的时间
}
// 第一步:跑原图的dijkstra,算1→z的最短时间(送过去)
dijkstra();
int ret = 0;
for (int i = 1; i <= n; i++) {
ret += dist[i]; // 累加1→2、1→3...1→n的时间
}
// 第二步:建反图(交换邻接矩阵的i和j,即边方向反过来)
for (int i = 1; i <= n; i++) {
for (int j = i + 1; j <= n; j++) {
swap(e[i][j], e[j][i]);
}
}
// 第三步:跑反图的dijkstra,算1→z的最短时间(等价于原图z→1的时间)
dijkstra();
for (int i = 1; i <= n; i++) {
ret += dist[i]; // 累加2→1、3→1...n→1的时间
}
// 输出总时间
cout << ret << endl;
return 0;
}
9 采购特价商品
题⽬来源: 洛⾕
题⽬链接: P1744 采购特价商品
难度系数: ★★
题目背景
《爱与愁的故事第三弹·shopping》第一章。
题目描述
中山路店山店海,成了购物狂爱与愁大神的"不归之路"。中山路上有 n(n≤100)家店,每家店的坐标均在 −10000 至 10000 之间。其中的 m 家店之间有通路。若有通路,则表示可以从一家店走到另一家店,通路的距离为两点间的直线距离。现在爱与愁大神要找出从一家店到另一家店之间的最短距离。你能帮爱与愁大神算出吗?
输入格式
共 n+m+3 行:
第一行:整数 n。
接下来 n 行:每行两个整数 x 和 y,描述了一家店的坐标。
接下来一行:整数 m。
接下来 m 行:每行描述一条通路,由两个整数 i 和 j 组成,表示第 i 家店和第 j 家店之间有通路。
接下来一行:两个整数 s 和 t,分别表示原点和目标店。
输出格式
仅一行:一个实数(保留两位小数),表示从 s 到 t 的最短路径长度。
输入输出样例
输入 #1复制
5
0 0
2 0
2 2
0 2
3 1
5
1 2
1 3
1 4
2 5
3 5
1 5
输出 #1复制
3.41
说明/提示
对于 100% 的数据:2≤n≤100,1≤i,j,s,t≤n,1≤m≤1000。
【解法】
看数据范围,所有的最短路算法均可解决,这⾥使⽤ BF 算法。
⽆需建图,只⽤把所有的边存下来。注意是⽆向边,所以要存两次,空间也要开两倍。
在所有边上做⼀次 bf 算法,输出结果即可。
【参考代码】
cpp
#include <iostream>
#include <cmath>
#include <cstring>
using namespace std;
const int N = 110; // 最多110家店(n≤100)
const int M = 1010; // 最多1010条边(无向边存一次即可,BF里双向松弛)
int n, m, s, t; // n=店数,m=通路数,s=起点,t=终点
double x[N], y[N]; // x[i]/y[i]:第i家店的坐标
// 结构体:存一条边的信息(a→b,距离c)
struct node {
int a, b; // a和b是店的编号
double c; // 通路的直线距离
} e[M];
// 计算第i家和第j家店的直线距离(勾股定理)
double calc(int i, int j) {
double dx = x[i] - x[j]; // x坐标差
double dy = y[i] - y[j]; // y坐标差
return sqrt(dx * dx + dy * dy); // 根号(x²+y²)
}
double dist[N]; // dist[i]:起点s到第i家店的最短距离
// BF算法:计算s到所有店的最短距离
void bf() {
// 初始化:所有店的距离设为极大值(1e10),起点s的距离为0
for (int i = 1; i <= n; i++) dist[i] = 1e10;
dist[s] = 0;
// 核心:循环n-1轮(最短路径最多经过n-1条边)
for (int i = 1; i < n; i++) {
// 遍历所有m条边,双向松弛(因为是无向边)
for (int j = 1; j <= m; j++) {
int a = e[j].a, b = e[j].b;
double c = e[j].c; // a和b之间的距离
// 松弛1:a→b的方向
if (dist[a] + c < dist[b]) {
dist[b] = dist[a] + c;
}
// 松弛2:b→a的方向(无向边的核心)
if (dist[b] + c < dist[a]) {
dist[a] = dist[b] + c;
}
}
}
}
int main() {
// 第一步:输入n家店的坐标
cin >> n;
for (int i = 1; i <= n; i++) {
cin >> x[i] >> y[i];
}
// 第二步:输入m条通路,计算每条通路的距离
cin >> m;
for (int i = 1; i <= m; i++) {
int a, b;
cin >> a >> b; // 第a家和第b家有通路
e[i].a = a;
e[i].b = b;
e[i].c = calc(a, b); // 计算a和b的直线距离
}
// 第三步:输入起点s和终点t
cin >> s >> t;
// 第四步:执行BF算法,计算最短距离
bf();
// 第五步:输出结果(保留两位小数)
printf("%.2lf\n", dist[t]);
return 0;
}
10 拉近距离
题⽬来源: 洛⾕
题⽬链接: P2136 拉近距离
难度系数: ★★★
题目背景
我是源点,你是终点。我们之间有负权环。 ------小明
题目描述
在小明和小红的生活中,有 N 个关键的节点。有 M 个事件,记为一个三元组 (Si,Ti,Wi),表示从节点 Si 有一个事件可以转移到 Ti,事件的效果就是使他们之间的距离减少 Wi。
这些节点构成了一个网络,其中节点 1 和 N 是特殊的,节点 1 代表小明,节点 N 代表小红,其他代表进展的阶段。所有事件可以自由选择是否进行,但每次只能进行当前节点邻接的。请你帮他们写一个程序,计算出他们之间可能的最短距离。
输入格式
第一行,两个正整数 N,M。
之后 M 行,每行 3 个空格隔开的整数 Si,Ti,Wi。
输出格式
一行,一个整数表示他们之间可能的最短距离。如果这个距离可以无限缩小,输出Forever love。
输入输出样例
输入 #1复制
3 3
1 2 3
2 3 -1
3 1 -10
输出 #1复制
-2
说明/提示
对于 20% 数据,N≤10,M≤50。
对于 50% 数据,N≤300,M≤5000。
对于 100% 数据,1≤N≤103,1≤M≤104,∣Wi∣≤100,保证从节点 1 到 2...N 有路径,从节点 N 到 1...N−1 有路径。
【解法】
bf 算法判断负环即可。但要注意⼀下细节:
- 题⽬中给的是距离 w 是能缩⼩的数,因此存边的时候,应该存成相反数;
- 爱情是双向奔赴的,我们要在 1->n 和 n->1 两种情况⾥⾯选择最⼩值。
【参考代码】
cpp
#include<iostream>
#include<cstring>
using namespace std;
const int N=1e3+10, M=1e4+10; // N=点数上限,M=边数上限
int n, m; // n=点数,m=边数
// 结构体:存一条有向边(a→b,边权c)
struct node {
int a, b, c;
} e[M];
int dist[N]; // dist[i]:起点到i的最短距离
// BF算法:判断从起点s出发是否存在负环(返回true=有负环,false=无)
bool bf(int s) {
// 初始化距离:所有点设为无穷大(0x3f3f3f3f≈10亿),起点s距离为0
memset(dist, 0x3f, sizeof dist);
dist[s] = 0;
bool flag; // 标记本轮是否有松弛操作
// 循环n轮(正常最短路最多n-1轮,第n轮还能松弛→有负环)
for(int i=1; i<=n; i++) {
flag = false; // 初始无松弛
// 遍历所有边,尝试松弛
for(int j=1; j<=m; j++) {
int a = e[j].a, b = e[j].b, c = e[j].c;
// 若a点未到达(距离无穷大),跳过
if(dist[a] == 0x3f3f3f3f) continue;
// 松弛操作:更新b点的最短距离
if(dist[a] + c < dist[b]) {
dist[b] = dist[a] + c;
flag = true; // 标记本轮有松弛
}
}
// 本轮无松弛,说明无负环,直接返回false
if(flag == false) return flag;
}
// 循环n轮后仍有松弛,说明有负环,返回true
return flag;
}
int main() {
cin >> n >> m;
for(int i=1; i<=m; i++) {
cin >> e[i].a >> e[i].b >> e[i].c;
e[i].c = -e[i].c; // 边权取反:最长路→最短路(负环对应原问题正环)
}
int ret; // 存1→n的最短距离(取反前的最长距离)
// 第一步:判断从1出发是否有负环
bool st = bf(1);
if(st) {
cout << "Forever lover" << endl; // 有负环→输出
return 0;
}
ret = dist[n]; // 记录1→n的最短距离(取反后)
// 第二步:判断从n出发是否有负环
st = bf(n);
if(st) {
cout << "Forever lover" << endl;
return 0;
}
// 第三步:输出1→n和n→1的最短距离(取反后)的最小值
cout << min(ret, dist[1]) << endl;
return 0;
}