1.题目描述
给你一个字符串数组,请你将 字母异位词 组合在一起。可以按任意顺序返回结果列表。字母异位词指的是由相同字母组成但排列顺序不同的字符串,例如 "eat" 和 "tea"。
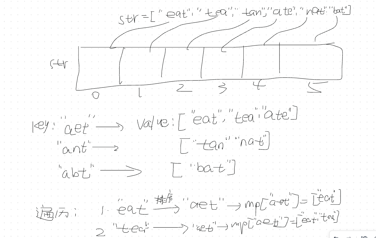
示例 1:
输入: strs = ["eat", "tea", "tan", "ate", "nat", "bat"]
输出:[["bat"],["nat","tan"],["ate","eat","tea"]]
解释:
- 在 strs 中没有字符串可以通过重新排列来形成
"bat"。 - 字符串
"nat"和"tan"是字母异位词,因为它们可以重新排列以形成彼此。 - 字符串
"ate","eat"和"tea"是字母异位词,因为它们可以重新排列以形成彼此。
2.解题思路

可以这么理解哈希表的结构,但并非这样

3.代码
cpp
#include <iostream>
#include <vector>
#include <string>
#include <unordered_map>
#include <algorithm>
using namespace std;
class Solution {
public:
vector<vector<string>> groupAnagrams(vector<string>& strs) {
unordered_map<string, vector<string>> mp;
// 遍历 strs
for (int i = 0; i < strs.size(); ++i) {
string str = strs[i];
string key = str;
sort(key.begin(), key.end());
mp[key].push_back(str);
}
vector<vector<string>> ans;
// 遍历 mp
for (auto it = mp.begin(); it != mp.end(); ++it) {
ans.push_back(it->second);
}
return ans;
}
};
int main() {
// 示例输入
vector<string> strs = {"eat", "tea", "tan", "ate", "nat", "bat"};
// 创建 Solution 对象并调用函数
Solution sol;
vector<vector<string>> result = sol.groupAnagrams(strs);
// 打印结果
cout << "[";
for (int i = 0; i < result.size(); ++i) {
cout << "[";
for (int j = 0; j < result[i].size(); ++j) {
cout << "\"" << result[i][j] << "\"";
if (j != result[i].size() - 1) {
cout << ",";
}
}
cout << "]";
if (i != result.size() - 1) {
cout << ",";
}
}
cout << "]" << endl;
return 0;
}
4.代码解析
cppfor (int i = 0; i < strs.size(); ++i) { string str = strs[i]; string key = str; sort(key.begin(), key.end()); mp[key].push_back(str); }遍历strs,如先遍历eat,然后排序为aet,以aet为key将原来的str也就是eat作为value。依次遍历完整个strs。
vector<vector<string>> ans; // 遍历 mp for (auto it = mp.begin(); it != mp.end(); ++it) { ans.push_back(it->second); }遍历每一个key,从aet开始遍历,将对应的所有value加入到ans中