目录
[5.1 QR-BiLSTM概述](#5.1 QR-BiLSTM概述)
[5.2 遗传优化过程](#5.2 遗传优化过程)
本文提出一种基于GA优化的QRBILSTM网络模型,用于多输入单输出预测任务。该方法通过GA优化QRBILSTM的隐含层数和学习率,以模型训练误差作为适应度函数,经过遗传操作筛选最优超参数组合。算法在Matlab2024b环境下实现,包含完整的训练流程和预测功能,通过对比预测数据与真实数据的误差评估模型性能。
1.前言
算法通过GA优化将QRBiLSTM的隐含层个数和学习率作为GA的优化变量,以QRBiLSTM模型在训练集上的回归预测误差作为GA的适应度函数,通过迭代筛选最优超参数组合,再将最优超参数代入QRBiLSTM模型完成最终的多输入单输出回归预测。
2.算法运行效果图预览
(完整程序运行后无水印)






3.算法运行软件版本
Matlab2024b(推荐)或者matlab2022b
4.部分核心程序
(完整版代码包含中文注释和操作步骤视频)
...........................................................
%bilstm
idx = 0;
for i = 0.05:0.1:0.95
i
idx = idx+1;
layers = [ ...
sequenceInputLayer(Isize,'name','input') %输入层设置
bilstmLayer(Hnum1,'Outputmode','sequence','name','hidden1')
dropoutLayer(0.3,'name','dropout_1')
bilstmLayer(Hnum2,'Outputmode','last','name','hidden2')
dropoutLayer(0.3,'name','drdiopout_2')
fullyConnectedLayer(Osize,'name','fullconnect') % 全连接层
quanRegressionLayer('out',i)];
%训练
net2(idx) = trainNetwork(Xn1,Yn1,layers,opts);
end
%预测
for i = 1:length(Yn2)
pred1 = net1.predict(Xn2(i));
ypre1(i) = pred1;
end
% 区间预测
for i = 1:length(net2)
pred2(i,:) = net2(i).predict(Xn2);
ypre2(i,:) = pred2(i,:);
end
x =[1:2000-LVL];
figure
fill([x,x(end:-1:1)],[smooth(ypre2(1,:),1)',smooth(ypre2(end,end:-1:1),1)'],'r','FaceColor',[0.7 0.9 0.7],'EdgeColor','none')
hold on
plot(ypre1,'r-','LineWidth',2)
hold on
plot(Yn2','b-','LineWidth',2)
legend('95%置信区间','预测值','实际值')
xlabel('Time')
ylabel('负荷(KW)')
title('预测周负荷概率分布')
save R2.mat
5.算法理论概述
通过遗传算法的选择、交叉、变异操作,搜索BILSTM的最优超参数组合Θ=[lr,Nh],lr学习率、Nh隐藏层神经元数。
5.1 QR-BiLSTM概述
QR-BiLSTM(分位数回归 - 双向长短时记忆网络),是将分位数回归(QR)与双向长短时记忆网络(BiLSTM)融合的时序预测模型,核心解决传统BiLSTM仅输出"点预测"(如均值)、无法捕捉预测值分布特征的问题。
其核心可拆为两层:
BiLSTM的时序特征挖掘:BiLSTM由正向LSTM和反向LSTM组成,能同时捕捉时序数据的前向依赖和后向依赖,相比单向LSTM更全面地挖掘多输入时序特征的内在关联,适配多输入单输出的时序预测场景。
分位数回归的分布预测:放弃传统的均方误差损失,改用分位数回归损失函数,让模型能输出不同分位数(如 0.1~0.9)下的预测值,而非单一均值。例如:0.5分位数对应中位数预测,0.1/0.9分位数对应预测值的下界/上界,可量化预测结果的不确定性,这是传统BiLSTM不具备的核心优势。
QR-BiLSTM既保留了BiLSTM处理长时序依赖的能力,又通过分位数回归实现了"区间预测",而非仅"点预测"。
5.2 遗传优化过程
1.种群初始化
随机生成Np个超参数个体构成初始种群,每个个体编码为实数向量θi=[lri,Nhi],
2.适应度函数
以BILSTM在验证集上的分位数回归损失(QR损失)为适应度,损失越小适应度越高,其中 q∈(0,1) 为分位数(如0.1~0.9)。
3.选择操作
个体i被选中的概率为其适应度占总适应度的比例:

其中Lq,i为个体i对应的QR损失,1/Lq,i为适应度值(损失越小,适应度越大)。
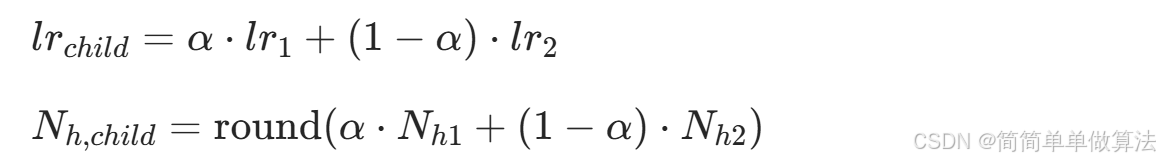
4.交叉操作
对选中的父代个体θ1=[lr1,Nh1]和θ2=[lr2,Nh2] ,生成子代:

5.变异操作
对个体的某一超参数以变异概率Pm(如0.1)进行扰动:
6.终止条件
迭代达到最大进化代数Gmax (如50代),输出最优超参数Θ∗。
最后通过用GA优化后的超参数构建BILSTM,结合分位数回归损失训练模型。
6.参考文献
1\] Lu Y , Li P , Wang P ,et al.A method of rice yield prediction based on the QRBILSTM-MHSA network and hyperspectral image\[J\].Computers and electronics in agriculture, 2010, 239(PartA):25.DOI:10.1016/j.compag.2025.110884. ## 7.算法完整程序工程 **OOOOO** **OOO** **O** **关注GZH后输入自动回复码:0022** **或输入自动回复码:QRBiLSTM**