引言
本期介绍一种新的创新算法------最优或最劣优化器Farthest better or nearest worse optimizer,FNO。FNO算法背后的思想来源于搜索空间中代理位置之间的质量和距离。。该成果于2026年1月最新发表 在 JCR 1区,中科院1区期刊 Artificial Intelligence Review。


本文提出了一种新的优化器可以看作是种群探索空间的过程。
- 初始化:和其他群优化算法一样,采用随机初始化。

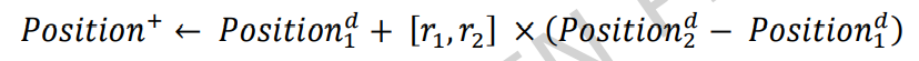
- 最远的最好区域:保持种群多样性和对整个搜索空间的深入探索是发现全局最优解的关键。在FNO算法中,基于个体在搜索空间中位置的质量和距离,采用一种发现机制,通过考虑每对位置Xi和Xj之间的距离来发现搜索空间。这个机制为每个候选位置Xi选择一个目标位置Xj。所选位置被确定为在搜索空间中最远位置:

与其他元启发式算法相比,我们提出的方法对每个候选解决方案/代理采用独特的全局最优。这种机制允许FNO算法在整个搜索过程中保持可接受的搜索水平。这是克服多模态优化问题中过早合并到局部最优的基础。图2描述了具有较高XFB电位的最远位置的选择过程。
在FNO算法中,用欧几里得方法来计算搜索空间中两个位置之间的距离
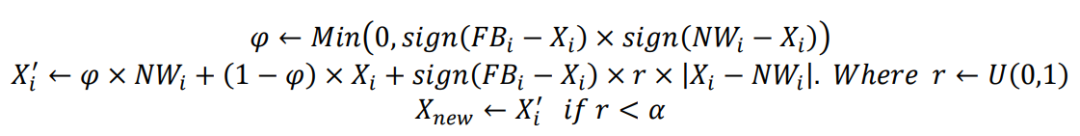
- 最近的最差区域:对于高度复杂的非凸问题,这些算法可能会重复探索搜索空间的低质量区域。本研究提出了一种机制解决这个问题,这涉及到为每个候选解决方案确定搜索空间中最近的先前探索的低质量区域。通过这样做,算法可以避免重新探索这些区域,并更有效地探索搜索空间中更高质量的区域。

- 动态聚焦策略:在元启发式算法中,保持开发和探索之间的适当平衡是一个重大挑战。因此,本文提出了一种创新的鲁棒技术,即动态聚焦策略(DFS)来实现这种平衡。采用均匀分布的随机向量作为因子,在搜索过程中缩小最远的最佳位置周围的面积。在式中,µ是在[0,1]范围内均匀分布计算得到的随机值,而α是动态调整的(从1到0递减),以控制新解在目标位置周围的可能搜索空间


- FNO算法包括两个阶段/操作。通过第一阶段/操作,目标是跳过最近的低质量位区域。当全局最优被许多局部最优包围时,这种机制被证明是非常有效的,因为相反的方向移动可能会阻碍收敛到全局最优。


算法伪代码:

作者为了评估FNO算法的有效性,已经在知名的基准测试套件上进行了一些实验研究,其中包括45个基准测试。此外,用5个工程问题来评价所提出的FNO算法的实际适用性。Wilcoxon检验是一种众所周知的非参数统计检验,用于公平比较结果。研究结果表明,在测试问题上,FNO算法与其他最先进的基于种群的元启发式算法相比具有竞争力。

参考文献
Taheri, A., RahimiZadeh, K., Baumbach, J. et al. Farthest better or nearest worse optimizer: a novel metaheuristic algorithm. Artif Intell Rev (2026). https://doi.org/10.1007/s10462-025-11443-z.
Matlab代码下载
微信搜索并关注-优化算法侠(英文名:Swarm-Opti),或扫描下方二维码关注,以算法名字搜索历史文章即可下载。
完整代码


https://pan.quark.cn/s/29556d4fcd1c
点击链接跳转:
400多种优化算法免费下载-matlab
求解cec测试函数-matlab
cec2022测试函使用教程及matlab代码免费下载
绘制cec2017/018/2019/2020/2021/2022函数的三维图像教程,SO EASY!
215种群智能优化算法python库
解决12工程设计优化问题-matlab
求解11种cec测试函数-python
解决30种工程设计优化问题-python
《一行破万法》:80余种改进策略仅需一行,可改进所有优化算法(附matlab代码)
【有经典,有最新】24种信号分解方法(附matlab代码)
【分类新范式】28种一维数据转换成二维图像的方法-matlab代码
2025年故障诊断的创新思路在哪里?赶紧来学习这28种创新方法!
https://mp.weixin.qq.com/s/EdRYeziIhnZE5zK0ZZhwmg