给定一个二叉树的根节点 root ,返回 它的 中序 遍历 。
示例 1:

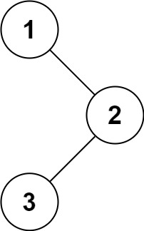
输入:root = [1,null,2,3]
输出:[1,3,2]
示例 2:
输入:root = []
输出:[]
示例 3:
输入:root = [1]
输出:[1]
提示:
- 树中节点数目在范围
[0, 100]内 -100 <= Node.val <= 100
递归解法
利用递归的 "左→根→右" 顺序遍历,是中序遍历的直观实现。
Python代码
python
from typing import Optional, List
class TreeNode:
def __init__(self, val=0, left=None, right=None):
self.val = val
self.left = left
self.right = right
class Solution:
def inorderTraversal(self, root: Optional[TreeNode]) -> List[int]:
result = []
# 递归辅助函数:实现中序遍历「左→根→右」的核心逻辑
def traverse(node: Optional[TreeNode]):
if node: # 节点非空时才遍历,递归终止条件:node is None
traverse(node.left) # 第一步:遍历左子树
result.append(node.val) # 第二步:访问当前根节点
traverse(node.right) # 第三步:遍历右子树
traverse(root) # 从根节点开始递归遍历
return result
if __name__ == "__main__":
# 实例化解题类
sol = Solution()
# 示例1:构建树 [1,null,2,3] → 输出 [1,3,2]
root1 = TreeNode(1)
root1.right = TreeNode(2)
root1.right.left = TreeNode(3)
print("示例1输出:", sol.inorderTraversal(root1))
print("预期结果:", [1, 3, 2])
print("-" * 30)
# 示例2:构建空树 [] → 输出 []
root2 = None
print("示例2输出:", sol.inorderTraversal(root2))
print("预期结果:", [])
print("-" * 30)
# 示例3:构建树 [1] → 输出 [1]
root3 = TreeNode(1)
print("示例3输出:", sol.inorderTraversal(root3))
print("预期结果:", [1])
LeetCode提交代码
python
# Definition for a binary tree node.
# class TreeNode:
# def __init__(self, val=0, left=None, right=None):
# self.val = val
# self.left = left
# self.right = right
class Solution:
def inorderTraversal(self, root: Optional[TreeNode]) -> List[int]:
result = []
# 递归辅助函数:实现"左→根→右"的遍历逻辑
def traverse(node: Optional[TreeNode]):
if node:
traverse(node.left) # 先遍历左子树
result.append(node.val) # 再访问当前根节点
traverse(node.right) # 最后遍历右子树
traverse(root)
return result
程序运行截图展示

总结
本文介绍了二叉树中序遍历的递归实现方法。中序遍历按照"左子树→根节点→右子树"的顺序访问节点。通过Python代码演示了递归解法,定义了一个辅助函数traverse来实现这一逻辑:先递归遍历左子树,然后访问当前节点值,最后递归遍历右子树。提供了三个测试用例验证正确性:包含单节点树、空树和典型二叉树的情况。时间复杂度为O(n),空间复杂度为O(n)(递归栈空间)。该方法直观体现了中序遍历的定义,是解决此类问题的经典递归范式。