给你一棵二叉树的根节点 root ,翻转这棵二叉树,并返回其根节点。
示例 1:

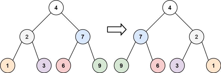
输入:root = [4,2,7,1,3,6,9]
输出:[4,7,2,9,6,3,1]
示例 2:

输入:root = [2,1,3]
输出:[2,3,1]
示例 3:
输入:root = []
输出:[]
提示:
- 树中节点数目范围在
[0, 100]内 -100 <= Node.val <= 100
解题思路
翻转二叉树的本质是交换树中每个节点的左右子节点 ,采用递归策略实现:
- 边界处理 :若当前节点为空(
root is None),直接返回空(无需翻转); - 交换子节点 :对当前非空节点,交换其
left和right子节点; - 递归遍历:分别对交换后的左子节点、右子节点递归执行翻转操作;
- 返回节点:完成当前节点及子树的翻转后,返回当前节点。
示例验证(以示例 1 为例)
输入树结构:root = [4,2,7,1,3,6,9]
- 根节点
4:交换左右子节点2和7,得到左子树7、右子树2; - 节点
7:交换其左右子节点6和9; - 节点
2:交换其左右子节点1和3;最终得到翻转后的树:[4,7,2,9,6,3,1],与示例输出一致。
算法特性
- 时间复杂度:O(n)(需遍历树中所有n个节点,每个节点仅处理一次);
- 空间复杂度:O(h)(h为树的高度,递归栈的深度由树高决定;最坏情况下树为链状,h=n)。
Python代码
python
from typing import Optional, List, Deque
from collections import deque
class TreeNode:
def __init__(self, val=0, left=None, right=None):
self.val = val
self.left = left
self.right = right
class Solution:
def invertTree(self, root: Optional[TreeNode]) -> Optional[TreeNode]:
# 边界条件:空节点直接返回
if not root:
return None
# 交换当前节点的左右子节点
root.left, root.right = root.right, root.left
# 递归翻转左子树和右子树
self.invertTree(root.left)
self.invertTree(root.right)
# 返回当前节点(已完成翻转)
return root
def build_tree(nums: List[Optional[int]]) -> Optional[TreeNode]:
"""层序遍历构建二叉树(适配LeetCode的数组表示法,None表示空节点)"""
if not nums or nums[0] is None:
return None
root = TreeNode(nums[0])
q: Deque[TreeNode] = deque([root])
i = 1
while q and i < len(nums):
cur_node = q.popleft()
# 构建左子节点
if nums[i] is not None:
cur_node.left = TreeNode(nums[i])
q.append(cur_node.left)
i += 1
# 构建右子节点
if i < len(nums) and nums[i] is not None:
cur_node.right = TreeNode(nums[i])
q.append(cur_node.right)
i += 1
return root
def print_tree(root: Optional[TreeNode]) -> List[Optional[int]]:
"""层序遍历打印二叉树(转回数组,方便查看翻转结果)"""
if not root:
return []
res = []
q: Deque[TreeNode] = deque([root])
while q:
cur_node = q.popleft()
if cur_node:
res.append(cur_node.val)
q.append(cur_node.left)
q.append(cur_node.right)
else:
res.append(None)
# 去除末尾的空节点,让结果更整洁
while res and res[-1] is None:
res.pop()
return res
if __name__ == "__main__":
nums = [4, 2, 7, 1, 3, 6, 9] # 原二叉树数组
root = build_tree(nums)
print("翻转前的二叉树(层序):", print_tree(root)) # 输出 [4,2,7,1,3,6,9]
# 执行翻转
sol = Solution()
invert_root = sol.invertTree(root)
print("翻转后的二叉树(层序):", print_tree(invert_root)) # 输出 [4,7,2,9,6,3,1]
LeetCode提交代码
python
# Definition for a binary tree node.
# class TreeNode:
# def __init__(self, val=0, left=None, right=None):
# self.val = val
# self.left = left
# self.right = right
class Solution:
def invertTree(self, root: Optional[TreeNode]) -> Optional[TreeNode]:
# 边界条件:空节点直接返回
if not root:
return None
# 交换当前节点的左右子节点
root.left, root.right = root.right, root.left
# 递归翻转左子树和右子树
self.invertTree(root.left)
self.invertTree(root.right)
# 返回当前节点(已完成翻转)
return root
程序运行截图展示

总结
本文介绍如何翻转二叉树,即交换树中每个节点的左右子节点。采用递归策略:处理空节点直接返回;非空节点交换左右子节点后递归处理子树。示例验证显示输入[4,2,7,1,3,6,9]翻转后为[4,7,2,9,6,3,1]。算法时间复杂度O(n),空间复杂度O(h)。提供Python实现代码,包括树构建和打印方法,以及LeetCode提交格式。核心思想是通过递归交换左右子树实现整棵树的翻转。