目录
- 一.概念
- 二.高精度加法
-
- 1.题目
- 2.解题思路(模拟竖式计算)
-
- [2.1 核心思想](#2.1 核心思想)
- [2. 2 步骤拆解](#2. 2 步骤拆解)
- [2.3 代码对应逻辑](#2.3 代码对应逻辑)
- [2.4 关键细节](#2.4 关键细节)
- 3.参考代码
- 三.高精度减法
-
- 1.题目
- 2.解题思路(模拟竖式借位))
-
- [2.1 核心思想](#2.1 核心思想)
- [2.2 步骤拆解](#2.2 步骤拆解)
- [2.3 代码对应逻辑](#2.3 代码对应逻辑)
- [2.4 关键细节](#2.4 关键细节)
- 3.参考代码
- 四.高精度乘法
-
- 1.题目
- 2.解题思路(模拟竖式逐位相乘)
-
- [2.1 核心思想](#2.1 核心思想)
- [2. 2 步骤拆解](#2. 2 步骤拆解)
- [2.3 代码对应逻辑](#2.3 代码对应逻辑)
- [2.4 关键细节](#2.4 关键细节)
- 3.参考代码
- 五.高精度除法
-
- 1.题目
- 2.解题思路(模拟竖式试商)
-
- [2.1 核心思想](#2.1 核心思想)
- [2.2 步骤拆解](#2.2 步骤拆解)
- [2.3 代码对应逻辑](#2.3 代码对应逻辑)
- [2.4 关键细节](#2.4 关键细节)
- 3.参考代码
哈喽,编程搭子们!😜 又到了沉浸式敲代码的快乐时间~把生活调成「代码模式」,带着满满的热爱钻进编程的奇妙世界------今天也要敲出超酷的代码,冲鸭!🚀

✨ 我的博客主页:喜欢吃燃面
📚 我的专栏(持续更新ing):
《C语言》 |
《C语言之数据结构》 |
《C++》 |
《Linux学习笔记》
💖 超感谢你点开这篇博客!真心希望这些内容能帮到正在打怪升级的你~如果有任何想法、疑问,或者想交流学习心得,都欢迎留言/私信,咱们一起在编程路上互相陪伴、共同进步呀!
一.概念
当数据的值特别大,各种类型都存不下的时候,此时就要用高精度算法来计算加减乘除:
- 先用字符串读入这个数,然后用数组逆序存储该数的每一位;
- 利用数组,模拟加减乘除运算的过程。
高精度算法本质上还是模拟算法,用代码模拟小学列竖式计算加减乘除的过程。
二.高精度加法
1.题目
2.解题思路(模拟竖式计算)

2.1 核心思想
用数组模拟小学竖式加法的过程,解决C++中普通整型无法存储的超大整数运算问题。
2. 2 步骤拆解
① 输入与格式转换
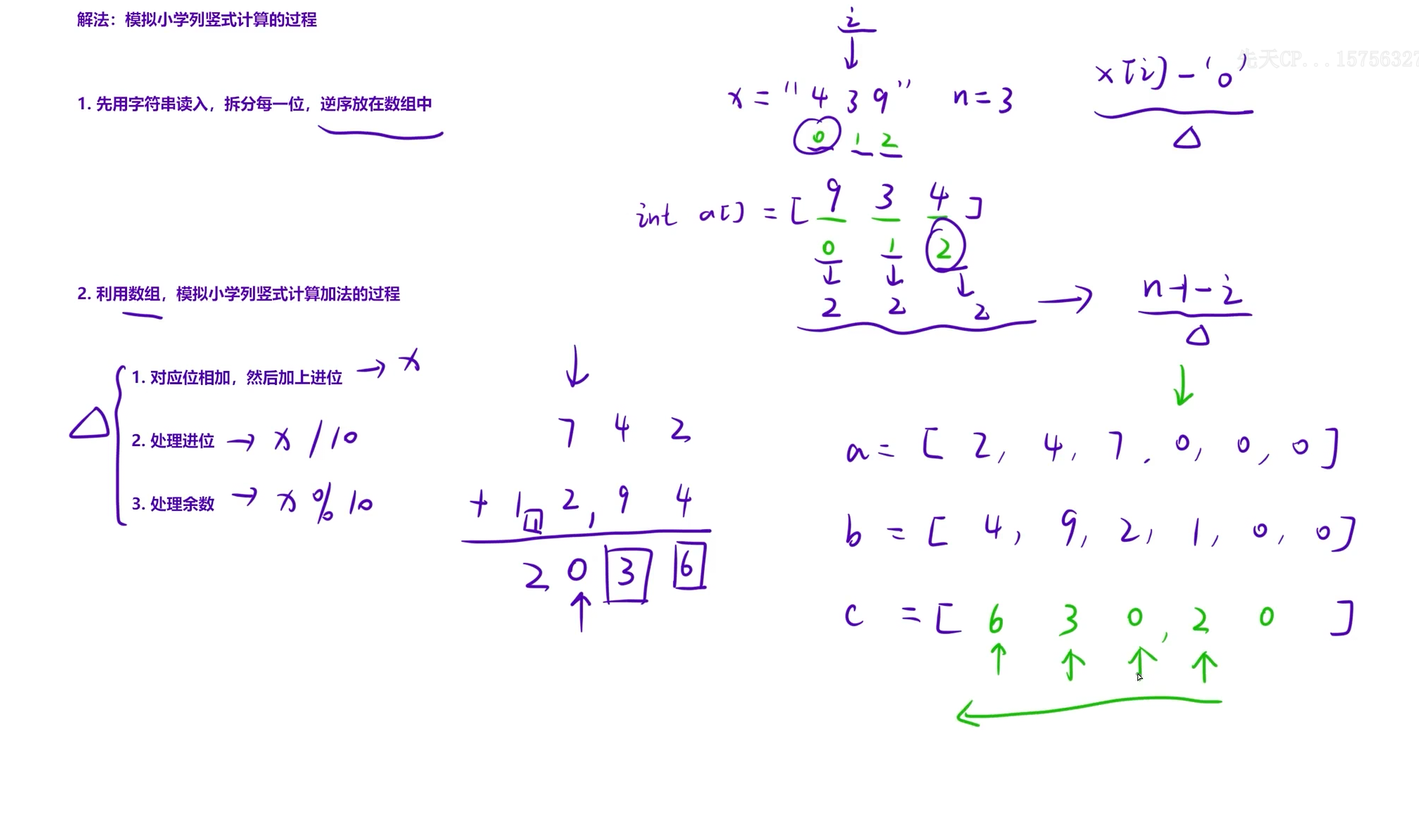
- 用字符串
s1、s2读入两个超大整数。 - 将字符串逐位逆序存入数组
a1、a2,低位在前 (个位在数组下标1,十位在下标2,以此类推),方便从低位到高位逐位计算。- 例如:字符串
"439"→ 数组a1 = [0, 9, 3, 4, ...](下标0未使用,下标1存个位9,下标2存十位3,下标3存百位4)。
- 例如:字符串
② 逐位相加与进位处理
- 初始化进位为0,从下标1开始遍历两个数组:
- 对应位相加:
ret[i] = a1[i] + a2[i] + 上一位的进位。 - 计算新的进位:
ret[i+1] = ret[i] / 10。 - 保留当前位结果:
ret[i] = ret[i] % 10。
- 对应位相加:
- 遍历结束后,若最高位仍有进位(
ret[i] != 0),则结果长度为i,否则为i-1。
③ 结果输出
- 数组
ret中存储的结果是低位在前的,因此需要从后往前(从高位到低位)倒序输出,得到最终的和。
2.3 代码对应逻辑
| 代码部分 | 对应思路 |
|---|---|
a1[n1 - i] = s1[i] - '0' |
将字符串逆序存入数组,实现低位在前 |
ret[i] += a1[i] + a2[i] |
对应位相加并加上进位 |
ret[i + 1] = ret[i] / 10 |
计算并传递进位到下一位 |
ret[i] %= 10 |
保留当前位的个位作为结果 |
for (int k = cnt; k >= 1; k--) |
倒序输出数组,得到正确的数字顺序 |
2.4 关键细节
- 数组初始化 :全局数组
a1、a2、ret会被自动初始化为0,因此超出输入长度的位会自动补0,无需额外处理。 - 边界处理 :循环条件
i <= n1 || i <= n2确保两个数的所有位都被处理,即使位数不同也能正确对齐。 - 最终进位 :如果最高位相加后仍有进位,需要将其作为新的最高位,因此结果长度
cnt需要根据ret[i]是否为0来判断。
3.参考代码
cpp
#include<iostream>
#include<string>
using namespace std;
const int N = 1e5 + 10; // 适配超长数字的数组最大长度
int a1[N], a2[N], ret[N];// a1/a2:存储两个数的各位(低位在前),ret:存储加法结果
int cnt, n1, n2; // cnt:加法结果有效长度,n1/n2:两个数的位数
string s1, s2; // 存储输入的超大数字字符串
// 高精度加法核心:低位对齐逐位相加,处理进位
void addBigInt() {
int i = 1;
// 逐位相加(超出长度的位因全局数组初始为0,自动补0)
while (i <= n1 || i <= n2) {
ret[i] += a1[i] + a2[i]; // 累加当前位数值 + 上一位进位
ret[i + 1] = ret[i] / 10; // 计算当前位的进位(传递到下一位)
ret[i] %= 10; // 保留当前位的最终结果(取余)
i++;
}
// 处理最终进位:有进位则结果长度+1,否则取当前最大位
cnt = ret[i] ? i : i - 1;
}
// 测试函数:输入处理、格式转换、执行加法、输出结果
void test(void (*func)()) {
cin >> s1 >> s2;
n1 = s1.size(), n2 = s2.size();
// 字符串转数组(低位在前,适配逐位计算)
for (int i = 0; i < n1; i++) a1[n1 - i] = s1[i] - '0';
for (int i = 0; i < n2; i++) a2[n2 - i] = s2[i] - '0';
func(); // 执行高精度加法
// 倒序输出结果(ret低位在前,需从高位到低位打印)
for (int k = cnt; k >= 1; k--) cout << ret[k];
cout << endl;
}
int main() {
test(addBigInt); // 调用测试函数执行高精度加法
return 0;
}
三.高精度减法
1.题目

2.解题思路(模拟竖式借位)

2.1 核心思想
用数组模拟小学竖式减法的过程,解决超大整数(超出 long long 范围)的减法问题。关键是先判断大小,保证用大数减小数,再处理借位和前导零。
2.2 步骤拆解
① 输入与大小判断
- 用字符串
s1、s2读入两个超大整数。 - 先判断
s1和s2的大小:- 若长度不同,短的数更小;
- 若长度相同,按字典序比较,字典序小的数更小。
- 如果
s1 < s2,交换两者并输出负号,保证后续用大数减小数,避免处理负数借位。
② 字符串转数组(低位在前)
- 将字符串逆序存入数组
a1、a2,个位在数组下标1,十位在下标2,以此类推 ,方便从低位到高位逐位借位计算。- 例如:字符串
"439"→ 数组a1 = [0, 9, 3, 4, ...](下标0未使用)。
- 例如:字符串
③ 逐位相减与借位处理
- 从下标1开始遍历两个数组:
- 如果
a1[i] < a2[i],说明当前位不够减,需要向高位借位:a1[i] += 10(本位补10)a1[i+1] -= 1(高位减1,完成借位)
- 计算当前位结果:
ret[i] = a1[i] - a2[i]。
- 如果
- 遍历结束后,从后往前跳过结果数组
ret中的前导零,确定有效长度cnt。
④ 结果输出
- 数组
ret中存储的结果是低位在前的,因此需要从后往前(从高位到低位)倒序输出,得到最终的差。 - 如果之前交换过
s1和s2,输出时前面要加上负号。
2.3 代码对应逻辑
| 代码部分 | 对应思路 |
|---|---|
cmp 函数 |
比较两个大数字符串的大小,决定是否需要交换和输出负号 |
a1[n1 - i] = s1[i] - '0' |
将字符串逆序存入数组,实现低位在前 |
a1[i] < a2[i] 时借位 |
模拟竖式减法中"本位不够减,向高位借1当10"的操作 |
while (i > 1 && ret[i] == 0) i-- |
跳过结果数组中的前导零,确定有效输出长度 |
for (int k = cnt; k >= 1; k--) |
倒序输出数组,得到正确的数字顺序 |
2.4 关键细节
- 大小判断:必须先保证用大数减小数,否则借位逻辑会出错,无法得到正确结果。
- 借位传递:借位操作会影响高位,需要在逐位计算时实时更新数组值。
- 前导零处理 :结果数组中可能存在高位零,输出前必须跳过,避免输出如
00123这样的无效格式。 - 边界情况 :当两数相等时,直接输出
0,无需进入减法逻辑。
3.参考代码
cpp
#include<iostream>
#include<algorithm>
#include<string>
using namespace std;
const int N = 1e5 + 10; // 数组最大长度,适配超长数字
int a1[N], a2[N], ret[N];// a1/a2存两个数的各位(低位在前),ret存减法结果
int cnt, n1, n2; // cnt:结果有效长度 n1/n2:两个数的位数
string s1, s2; // 存储输入的超大数字字符串
// 数组初始化函数:清空指定数组的指定长度区间(预留声明)
// 比较函数:s1 < s2 返回true,否则false
bool cmp(const string& s1, const string& s2)
{
if (s1.size() != s2.size()) return s1.size() < s2.size(); // 长度不同,短的更小
return s1 < s2; // 长度相同,字典序小的更小
}
// 高精度减法核心:a1 - a2 (保证a1 >= a2),结果存入ret
void subBigInt()
{
int i = 1;
// 逐位相减,覆盖两个数的所有有效位
while (i <= n1 || i <= n2)
{
if (a1[i] < a2[i]) // 当前位数值不足,需向高位借位
{
a1[i] += 10; // 本位补10
a1[i + 1]--; // 高位减1,完成借位操作
}
ret[i] = a1[i] - a2[i]; // 计算当前位减法结果
i++;
}
// 跳过结果前导零,确定有效长度
while (i > 1 && ret[i] == 0) i--;
cnt = i; // 最终结果的有效位数
}
// 测试函数:处理输入、格式转换、调用减法、输出结果
void test(void (*func)()) {
cin >> s1 >> s2; // 输入两个超大数字字符串
if (s1 == s2) { // 两数相等,减法结果直接为0
cout << 0;
return;
}
// 保证a1存大数、a2存小数:若s1 < s2则交换,输出负号
if (cmp(s1, s2)) {
swap(s1, s2); // 交换后s1为大数,s2为小数
cout<<"-";
}
n1 = s1.size(), n2 = s2.size(); // 更新交换后的数字位数
// 字符串转数组(低位在前):字符串高位对应数组高位,低位对应数组低位
for (int i = 0; i < n1; i++) a1[n1 - i] = s1[i] - '0';
for (int i = 0; i < n2; i++) a2[n2 - i] = s2[i] - '0';
func(); // 执行高精度减法核心逻辑
// 倒序输出结果(ret低位在前,需从高位到低位打印)
for (int k = cnt; k >= 1; k--) cout << ret[k];
}
int main() {
test(subBigInt); // 调用测试函数执行高精度减法
return 0;
}
四.高精度乘法
1.题目
2.解题思路(模拟竖式逐位相乘)

2.1 核心思想
核心思想
用数组模拟小学竖式乘法的过程,解决超大整数(超出 long long 范围)的乘法问题。核心是逐位相乘、累加进位、去除前导零。
2. 2 步骤拆解
① 特殊情况处理
- 如果输入的两个数中有一个是
"0",直接输出0,无需进入后续计算。
② 字符串转数组(低位在前)
- 将字符串逆序存入数组
a1、a2,个位在数组下标1,十位在下标2,以此类推 ,方便从低位到高位逐位计算。- 例如:字符串
"123"→ 数组a1 = [0, 3, 2, 1, ...](下标0未使用)。
- 例如:字符串
③ 逐位相乘与累加
- 遍历第一个数的每一位
a1[j],再遍历第二个数的每一位a2[k]:- 第
j位和第k位相乘的结果,会累加到结果数组的第j + k - 1位(即ret[i],其中i从j开始递增)。 - 这一步只做无进位的累加,不处理进位。
- 第
④ 统一处理进位
- 遍历结果数组
ret,从低位到高位:- 如果
ret[i] >= 10,则将ret[i] / 10进位到下一位ret[i+1],并将ret[i] %= 10保留个位。 - 这一步确保每一位的数值都在
0-9之间。
- 如果
⑤ 去除前导零并输出
- 从结果数组的最大可能长度(
n1 + n2)向前遍历,找到第一个非零位,确定有效长度cnt。 - 倒序输出结果数组(从高位到低位),得到最终的乘积。
2.3 代码对应逻辑
| 代码部分 | 对应思路 |
|---|---|
| `s1 == "0" | |
a1[n1 - i] = s1[i] - '0' |
将字符串逆序存入数组,实现低位在前 |
ret[i] += a1[j] * a2[k] |
逐位相乘并累加到结果数组的对应位置 |
ret[i + 1] += ret[i] / 10 |
处理进位,将高位值传递到下一位 |
while (i > 1 && !ret[i]) i-- |
跳过结果数组中的前导零,确定有效输出长度 |
for (int k = cnt; k >= 1; k--) |
倒序输出数组,得到正确的数字顺序 |
2.4 关键细节
- 数组初始化:在计算前清空数组,避免随机值干扰结果。
- 结果长度 :两个长度为
n1和n2的数相乘,结果最大长度为n1 + n2。 - 前导零处理 :结果数组中可能存在高位零,输出前必须跳过,避免输出如
00123这样的无效格式。 - 逐位累加:先完成所有位的相乘累加,再统一处理进位,比边乘边进位更清晰高效。
3.参考代码
cpp
#include<iostream>
#include<string>
using namespace std;
const int N = 1e5 + 10; // 数组最大长度,适配超长数字存储
int a1[N], a2[N], ret[N];// a1/a2:存储两个数的各位(低位在前),ret:存储乘法结果
int cnt, n1, n2; // cnt:结果有效长度,n1/n2:两个数的位数
string s1, s2; // 存储输入的两个超长数字字符串
// 高精度乘法核心函数:实现大数乘法与进位处理
void mulBigInt()
{
// 1. 逐位相乘,累加到结果对应位置
int i = 1;
for (int j = 1; j <= n1; j++) // 遍历第一个数的每一位
{
i = j; // 结果起始位置:第j位乘第k位,结果落在j+k-1位(等价i从j开始递增)
for (int k = 1; k <= n2; k++) // 遍历第二个数的每一位
{
ret[i] += a1[j] * a2[k]; //累加无进位的乘积到对应位置
i++;
}
}
// 2. 处理每一位的进位(两数相乘最大位数为n1+n2)
for (i = 1; i <= n1 + n2; i++)
{
if (ret[i] >= 10) // 当前位值≥10,需要进位
{
ret[i + 1] += ret[i] / 10; // 进位值加到下一位
ret[i] %= 10; // 保留当前位的个位
}
}
// 3. 确定结果的有效长度(跳过末尾的0)
while (i > 1 && !ret[i]) i--; // 从最大位数往前找第一个非0位
cnt = i; // 最终有效长度
}
// 测试函数:处理输入、格式转换、调用乘法、输出结果
// func: 指向高精度乘法核心函数的指针
void test(void (*func)()) {
cin >> s1 >> s2;
// 特殊情况:任一数为0,结果直接为0
if (s1 == "0" || s2 == "0")
{
cout << 0;
return;
}
// 初始化数组(避免随机值干扰)
for (int i = 0; i < N; i++) a1[i] = a2[i] = ret[i] = 0;
// 获取两个数的位数
n1 = s1.size(), n2 = s2.size();
// 字符串转数组(低位在前,下标从1开始)
for (int i = 0; i < n1; i++) a1[n1 - i] = s1[i] - '0';
for (int i = 0; i < n2; i++) a2[n2 - i] = s2[i] - '0';
func(); // 执行高精度乘法
// 倒序输出结果(ret低位在前,需从高位到低位打印)
for (int k = cnt; k >= 1; k--) cout << ret[k];
cout << endl;
}
int main()
{
test(mulBigInt); // 调用测试函数执行乘法
return 0;
}
五.高精度除法
1.题目
2.解题思路(模拟竖式试商)

2.1 核心思想
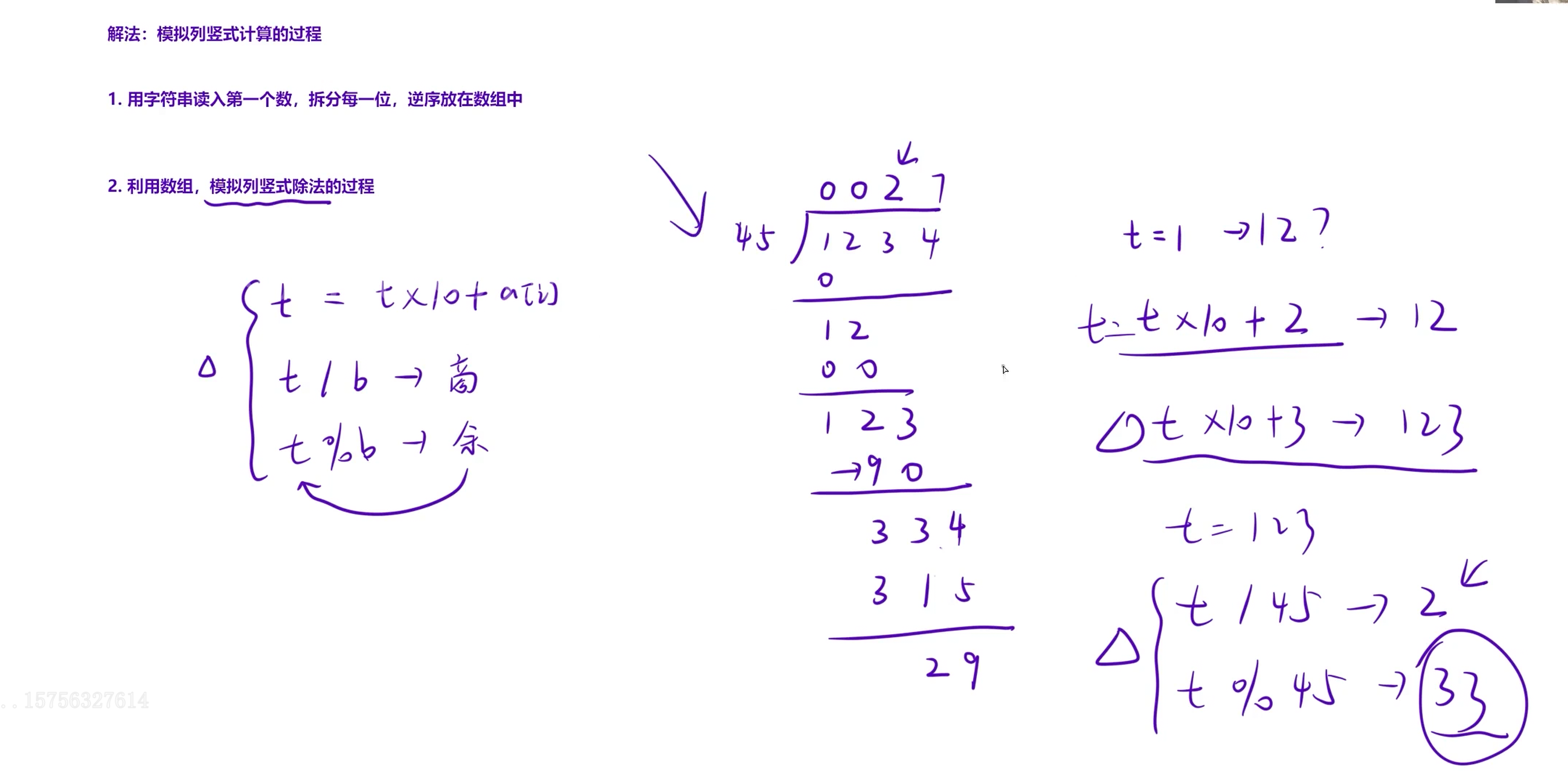
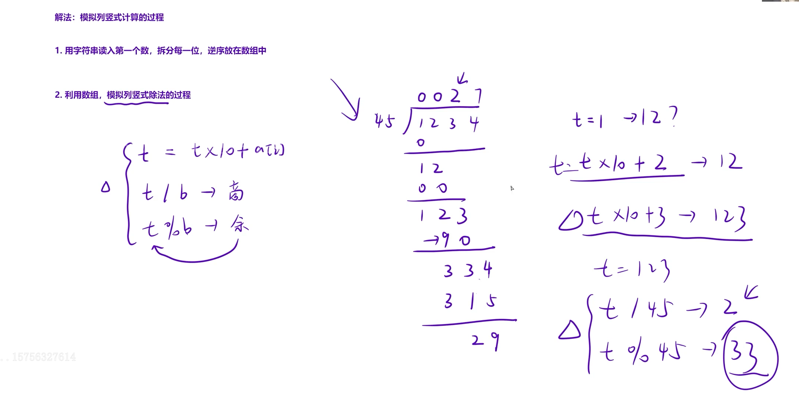
这道题的特点是:被除数是高精度大数(可达 (10^{5000})),除数是低精度整数( 10^9)。我们可以模拟小学竖式除法的"逐位试商"过程,用数组存储大数,用普通整数做除法运算,避免复杂的高精度除法。
2.2 步骤拆解
① 输入与格式转换
- 用字符串
s读入被除数,将其逐位逆序存入数组a,低位在前 (个位在数组下标1,十位在下标2,以此类推),方便从高位到低位逐位试商。- 例如:字符串
"1234"→ 数组a = [0, 4, 3, 2, 1, ...](下标0未使用,下标1存个位4,下标4存千位1)。
- 例如:字符串
② 逐位试商与余数更新
- 初始化余数
t = 0,从被除数的最高位(数组下标la)开始,逐位处理:- 用当前余数
t拼接下一位数字:t = t * 10 + a[i],形成新的被除数片段。 - 计算当前位的商:
ret[i] = t / b。 - 更新余数:
t = t % b,用于下一位的拼接。
- 用当前余数
- 这一步完全模拟了竖式除法中"落下一位,再试商"的过程。
③ 去除前导零并输出
- 从商数组
ret的最高位开始,跳过所有前导零,确定有效长度cnt。 - 如果
cnt为0,说明被除数小于除数,商为0;否则从高位到低位倒序输出商数组。
2.3 代码对应逻辑
| 代码部分 | 对应思路 |
|---|---|
a[la - i] = s[i] - '0' |
将字符串逆序存入数组,实现低位在前 |
t = t * 10 + a[i] |
模拟竖式中"落下一位",拼接出新的被除数片段 |
ret[i] = t / b |
计算当前位的商值 |
t %= b |
更新余数,用于下一位拼接 |
while (cnt && !ret[cnt]) cnt-- |
跳过商数组中的前导零,确定有效输出长度 |
while (cnt) cout << ret[cnt--] |
从高位到低位打印商,得到正确的数字顺序 |
2.4 关键细节
- 数据类型 :使用
long long存储中间余数t,防止t * 10 + a[i]时溢出。 - 边界处理:当被除数为0或小于除数时,商为0,需要单独处理,避免输出空串。
- 前导零 :商数组中可能存在高位零,输出前必须跳过,避免输出如
00123这样的无效格式。 - 方向 :与加减乘不同,除法是从高位到低位逐位计算,因此数组虽然低位在前,但遍历顺序是从后往前。
3.参考代码
cpp

#include<iostream>
#include<string>
using namespace std;
const int N = 1e5 + 10; // 数组最大长度,适配超长数字存储
int a[N], b, ret[N]; // a:被除数(低位在前),b:低精度除数,ret:商(低位在前)
int cnt, la; // cnt:商的有效长度,la:被除数的位数
string s; // 存储输入的被除数字符串
typedef long long LL; // 防止中间计算溢出
// 高精度除以低精度核心(逐位试商法)
void divBigInt()
{
LL t = 0; // 存储当前计算的余数
// 从被除数最高位到最低位逐位计算
for (int i = la; i; i--)
{
t = t * 10 + a[i]; // 余数拼接当前位,形成新的被除数片段
ret[i] = t / b; // 计算当前位的商值
t %= b; // 更新余数(保留除后剩余值)
}
// 跳过商的前导零,确定有效长度
while (cnt && !ret[cnt]) cnt--;
}
// 测试函数:输入处理、格式转换、执行除法、输出结果
void test(void (*func)()) {
cin >> s >> b; // 输入:被除数(字符串) 除数(整数)
la = s.size(); // 获取被除数的位数
cnt = la; // 初始化商的长度为被除数长度
// 字符串转数组(低位在前,适配逐位计算)
for (int i = 0; i < la; i++) a[la - i] = s[i] - '0';
func(); // 执行高精度除法
// 输出商(处理商为0的边界情况)
if (!cnt) // cnt为0表示商是0(被除数<除数)
{
cout << 0;
return;
}
// 从高位到低位打印商(ret低位在前)
while (cnt) cout << ret[cnt--];
cout << endl;
}
int main()
{
test(divBigInt); // 调用测试函数执行高精度除法
return 0;
}


