目录
Tip:归并排序里面,合并两个链表,并进行排序,就可以使用这个算法。
一、移除链表元素
(一)题目描述
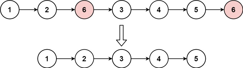
**1、题目简述:**给你一个链表的头结点 head 和一个整数 val,删除链表中所有值为 val 的结点,返回新的头节点。

2、题目链接: https://leetcode.cn/problems/remove-linked-list-elements/description/
(二)解题思路(新建链表法)
1、创建 "虚拟头尾指针"(newHead、newTail),初始为空,用于构建新链表(只包含值不为val的节点)。
2、遍历原链表,若当前节点值不为val,则将其尾插至新链表。
3、 尾插后需将新链表尾节点的next置空,避免指向原链表的冗余节点,导致输出错误。
这里并不是说我创建了一个全新的链表,而是说再原来链表结点的基础上,重构了连接逻辑。最后得到了这一个 "新" 的链表。
(三)代码实现
cpp
// 注:LeetCode中节点结构体名为ListNode,需适配
typedef struct ListNode ListNode;
struct ListNode* removeElements(struct ListNode* head, int val)
{
// 1. 定义虚拟头尾指针(初始为空)
ListNode* newHead = NULL;
ListNode* newTail = NULL;
ListNode* pcur = head; // 遍历原链表的临时指针
// 2. 遍历原链表,筛选值不为val的结点
while (pcur) {
if (pcur->val != val) {
if (newHead == NULL) {
// 新链表为空,当前节点作为首结点
newHead = newTail = pcur;
} else {
// 新链表非空,尾插至末尾并更新尾指针
newTail->next = pcur; //插入结点
newTail = newTail->next; //更新尾结点
}
}
pcur = pcur->next; // 移动到下一个结点
}
// 3. 确保新链表尾结点next置空(避免野指针)
if (newTail) {
newTail->next = NULL;
}
return newHead; // 返回新链表头结点
}
二、反转链表
(一)题目描述
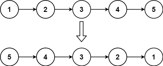
**1、题目简述:**给你单链表的头节点head,请你反转链表,并返回反转后的链表的头节点(如输入1→2→3→4→5,输出5→4→3→2→1。

2、题目链接: https://leetcode.cn/problems/reverse-linked-list/description/
(二)解题思路(三指针原地修改法)
1、定义三个指针
**(1)n1:**前驱指针,初始为NULL(反转后第一个结点的next为NULL)。
**(2)n2:**当前结点指针,初始为head(从首结点开始修改)。
**(3)n3:**后继指针,初始为head->next(保存n2的下一个结点,避免修改后丢失)。
**2、**循环修改 n2 的 next 指向 n1,依次移动三个指针,直至 n2 为空(遍历结束)。
**3、**最终 n1 即为反转后的头节点( n2 为空时,n1 指向原尾节点)。
就是说我们从头开始,依次向后断开链接,然后再向前链接。**即断开后面的牵手,然后向前面牵手。**以下为具体的演示图:

(三)代码实现
cpp
typedef struct ListNode ListNode;
struct ListNode* reverseList(struct ListNode* head)
{
// 空链表直接返回
if (head == NULL) {
return head;
}
ListNode* n1 = NULL;
ListNode* n2 = head;
ListNode* n3 = n2->next;
while (n2) {
// 1. 反转当前节点的指针指向
n2->next = n1;
// 2. 移动三个指针
n1 = n2;
n2 = n3;
// 3. 避免n3为空时解引用(最后一次循环n3为NULL)
if (n3) {
n3 = n3->next;
}
}
return n1; // n1为反转后的头节点
}
三、链表的中间结点
(一)题目描述
**1、题目简述:**给定一个头节点为 head 的非空单链表,返回链表的中间节点。如果有两个中间节点,则返回第二个中间节点(如输入1→2→3→4→5,输出3;输入1→2→3→4,输出3)。


**2、题目链接:**https://leetcode.cn/problems/middle-of-the-linked-list/description/
(二)解题思路(快慢指针法)
1、定义 "快慢指针"
**(1)slow(慢指针):**每次移动 1 步。
**(2)fast(快指针):**每次移动 2 步。
**2、循环条件:**fast && fast->next(确保快指针不会空指针解引用,比如NULL->next)。
**3、逻辑推导:**当快指针到达链表末尾时,慢指针恰好走了快指针路程的一半,即指向中间结点(偶数节点时指向第二个中间结点)。
(三)代码实现
cpp
typedef struct ListNode ListNode;
struct ListNode* middleNode(struct ListNode* head)
{
ListNode* slow = head;
ListNode* fast = head;
// 循环条件:fast非空且fast的下一个节点非空(避免快指针越界)
while (fast && fast->next) {
slow = slow->next; // 慢指针走1步
fast = fast->next->next; // 快指针走2步
}
return slow; // slow指向中间节点
}
**四、**合并两个有序链表
(一)题目描述
**1、题目简述:**将两个升序单链表list1和list2合并为一个新的升序单链表,新链表由原两个链表的所有结点组成,返回新链表头结点。

**2、题目链接:**https://leetcode.cn/problems/merge-two-sorted-lists/description/
**Tip:**归并排序里面,合并两个链表,并进行排序,就可以使用这个算法。
(二)解题思路
解题思路一:基础尾插法
1、核心逻辑:创建空链表,双指针遍历两个原链表,比较结点值,将较小值结点尾插至新链表,剩余结点直接链接。
2、步骤拆解
**(1)边界处理:**若 list1 为空,返回 list2;若 list2 为空,返回list1(覆盖两者均为空的情况)。
(2)初始化
①新链表头尾指针newHead = NULL,newTail = NULL。
②定义遍历指针 l1 = list1,l2 = list2。
**(3)**循环遍历( l1 和 l2 均非空)
若 l1->val < l2->val:将 l1 尾插至新链表,l1 = l1->next;否则:将l2尾插至新链表,l2 = l2->next。
尾插逻辑:新链表为空时,newHead = newTail = 当前结点;新链表非空时,newTail->next = 当前节点,newTail = newTail->next,即让新结点变成newtail。
**(4)处理剩余结点:**若l1非空:newTail->next = l1;若l2非空:newTail->next = l2。
**(5)返回结果:**返回newHead。
3、复杂度分析
**(1)时间复杂度:**O (n+m)(n、m为两链表长度,仅一次遍历)。
**(2)空间复杂度:**O (1)。
4、缺陷:空链表判断导致代码冗余(尾插时需反复判断newHead是否为空)。
解题思路二:哨兵节点优化法(最优)
1、核心逻辑:创建一个 "哨兵节点"(不存储有效数据,仅占位),使新链表初始非空,消除空链表判断,简化代码。
2、步骤拆解
**(1)边界处理:**同思路 1(list1或list2为空时直接返回)。
(2)初始化
**① 申请哨兵节点:**newHead = (ListNode*)malloc(sizeof(ListNode)),newTail = newHead。即新链表初始非空。
② 定义遍历指针 l1 = list1,l2 = list2。
③ 循环遍历(l1和l2均非空):
比较结点值,将较小结点尾插至 newTail 后;
尾插逻辑: newTail->next = 较小结点,newTail = newTail->next,对应遍历指针后移。
**(3)处理剩余结点:**newTail->next = l1 != NULL ? l1 : l2。
(4)释放哨兵结点
保存实际头结点:ListNode* ret = newHead->next;释放哨兵结点内存:free(newHead),newHead = NULL,newTail = NULL。
**(5)返回结果:**返回 ret。
**3、核心优势:**消除所有空链表判断,代码简洁(尾插时无需判断newHead是否为空)。内存可回收,避免内存泄漏。
(三)代码实现
cpp
typedef struct ListNode ListNode;
struct ListNode* mergeTwoLists(struct ListNode* list1, struct ListNode* list2)
{
// 边界处理:任一链表为空,返回另一链表
if (list1 == NULL)
return list2;
if (list2 == NULL)
return list1;
// 创建哨兵结点,新链表初始非空
ListNode* newHead = (ListNode*)malloc(sizeof(ListNode));
ListNode* newTail = newHead;
ListNode* l1 = list1;
ListNode* l2 = list2;
// 遍历两链表,尾插较小结点
while (l1 != NULL && l2 != NULL) {
if (l1->val < l2->val) {
newTail->next = l1;
l1 = l1->next;
} else {
newTail->next = l2;
l2 = l2->next;
}
newTail = newTail->next;
}
// 链接剩余结点
if (l1 != NULL) {
newTail->next = l1;
} else {
newTail->next = l2;
}
// 释放哨兵结点,返回实际头结点
ListNode* ret = newHead->next;
free(newHead);
newHead = NULL;
newTail = NULL;
return ret;
}
五、链表分割
(一)题目描述
1、题目简述
现有一链表的头指针 ListNode* pHead,给一定值x,编写一段代码将所有小于x的结点排在其余结点之前,且不能改变原来的数据顺序,即数据具有稳定性,返回重新排列后的链表的头指针。
**2、题目链接:**https://www.nowcoder.com/practice/0e27e0b064de4eacac178676ef9c9d70
3、数据结构定义(C++)
cpp
struct ListNode {
int val;
ListNode *next;
ListNode(int x) : val(x), next(NULL) {}
};
(二)算法核心思想
1、核心思路
通过 **"拆分 - 合并"**实现,避免在原链表上直接修改(减少复杂度):
(1)创建两个带头空链表(哨兵结点),分别存储两类结点。
**(2)**遍历原链表,按结点值与 x 的大小关系,尾插至对应链表。
**(3)**合并两个链表,处理边界避免循环引用。
**(4)**释放临时哨兵结点,返回有效头指针。
2、关键设计
**(1)**小链表(lessHead / lessTail):存储所有小于 x 的结点。
**(2)**大链表(greaterHead / greaterTail):存储所有大于或等于 x 的结点。
**(3)哨兵节点作用:**无需判断链表是否为空,简化尾插操作。
**其实本质上就是:**有两个头结点,然后不断地去连接链表上的结点,改变它们的连接顺序。最后遇到原链表两个结点分不开,将大链表的指针域置为nullptr(C++中空指针的表示),再将小链表与大链表连接,实现了完美的断开,同时处理了大链表的头结点。

(三)代码实现
cpp
class Partition {
public:
ListNode* partition(ListNode* pHead, int x)
{
// 1. 初始化两个带头空链表
ListNode* lessHead = (ListNode*)malloc(sizeof(ListNode));
ListNode* lessTail = lessHead;
ListNode* greaterHead = (ListNode*)malloc(sizeof(ListNode));
ListNode* greaterTail = greaterHead;
// 2. 遍历原链表分类尾插
ListNode* pcur = pHead;
while (pcur) {
if (pcur->val < x) {
lessTail->next = pcur;
lessTail = lessTail->next;
} else {
greaterTail->next = pcur;
greaterTail = greaterTail->next;
}
pcur = pcur->next;
}
// 3. 处理边界并合并
// 这样完美处理了原链表有两个结点没有分开的问题
// 同时也完美处理了大链表的空头结点
greaterTail->next = nullptr;
lessTail->next = greaterHead->next;
// 4. 释放内存并返回
ListNode* ret = lessHead->next;
free(lessHead);
free(greaterHead);
return ret;
}
};
(四)易错点与注意事项
1、必须处理大链表尾节点
未置空 greaterTail->next 会导致链表成环(如原链表 6→2,合并后 6 仍指向 2,遍历无限循环);一旦后续进行遍历操作,就会造成内存超限、程序卡死。
2、内存泄漏问题
动态申请的哨兵结点(lessHead/greaterHead)使用后必须释放;释放前需先保存结果头指针(ret = lessHead->next),否则会丢失链表起始位置。
3、保持相对顺序
采用 "尾插" 方式确保结点原始顺序不变,若使用头插会反转顺序,违反题目要求。
4、空链表处理
若原链表为空(pHead = nullptr),最终返回lessHead->next(仍为nullptr),逻辑自洽无需额外判断。
(五)算法复杂度分析
**1、时间复杂度:**O (n),仅遍历原链表一次,每个结点操作均为 O (1)。
**2、空间复杂度:**O (1),仅额外申请两个哨兵结点,不随输入规模变化。
六、链表的回文结构
(一)题目描述
1、题目简述
给定单链表的头结点 A,设计时间复杂度 O (n)、空间复杂度 O (1) 的算法,判断链表是否为回文结构(链表长度≤900)。
回文结构定义:以中心点为对称轴,左右两部分节点值完全对称(示例:1->2->2->1为回文,1->2->3->1非回文)。
**2、题目链接:**https://www.nowcoder.com/practice/d281619e4b3e4a60a2cc66ea32855bfa
(二)解题思路
解题思路 1:链表转数组法(投机取巧)
**1、核心逻辑:**利用题目 "链表长度≤900" 的限制,创建固定大小数组存储结点值,再用双指针判断数组是否为回文。
2、步骤拆解
**(1)初始化数组:**int arr[900] = {0},计数器i = 0。
**(2)遍历链表:**pcur = A,将pcur->val依次存入arr[i],i++,pcur = pcur->next。
(3)双指针判断回文
left = 0(数组起始),right = i - 1(数组末尾,有效数据最后一位);循环条件:left < right。若 arr[left] != arr[right],返回 false;否则 left++,right--。
**(4)****返回结果:**循环结束返回true。
3、复杂度分析
**(1)时间复杂度:**O (n)(一次遍历链表,一次遍历数组)。
**(2)空间复杂度:**O (1)(数组大小固定为 900,视为常数空间)。
**4、缺陷:**不通用,若题目无长度限制则失效。
思路 2:快慢指针 + 反转法(通用最优)
**1、核心逻辑:**分三步实现 → ①找中间节点;②反转后半链表;③比较前后两部分节点值。
2、步骤拆解
(1)步骤 1:找中间节点(复用 "链表的中间结点" 逻辑)
用快慢指针法,偶数节点最终取到靠右结点(如1->2->3->4取3),奇数结点最终取到正中结点(如1->2->3->4->5取3)。
(2)步骤 2:反转后半链表(复用 "反转链表" 逻辑)
以中间结点为头,调用反转函数,得到反转后的后半链表头结点rightHead。
(3)步骤 3:比较前后两部分
①初始化指针:left = A(原链表头),right = rightHead(反转后后半链表头)。
②循环条件:right != NULL(后半链表长度≤前半链表,先遍历完)。
③若 left->val != right->val,返回 false;否则 left = left->next,right = right->next。
**(4)返回结果:**循环结束返回 true。
3、关键原理:反转后半链表后,后半链表的遍历顺序与前半链表 "对称",可通过同步遍历比较值是否一致。
(三)代码实现
cpp
typedef struct ListNode ListNode;
// 子函数1:找中间结点
ListNode* findMiddle(ListNode* head)
{
ListNode* slow = head;
ListNode* fast = head;
while (fast != NULL && fast->next != NULL) {
slow = slow->next;
fast = fast->next->next;
}
return slow;
}
// 子函数2:反转链表
ListNode* reverseList(ListNode* head) {
if (head == NULL) {
return head;
}
ListNode* n1 = NULL;
ListNode* n2 = head;
ListNode* n3 = head->next;
while (n2 != NULL) {
n2->next = n1;
n1 = n2;
n2 = n3;
if (n3 != NULL)
n3 = n3->next;
}
return n1;
}
// 主函数:判断回文结构
bool chkPalindrome(ListNode* A) {
// 步骤1:找中间结点
ListNode* mid = findMiddle(A);
// 步骤2:反转后半链表
ListNode* rightHead = reverseList(mid);
步骤3:比较前后两部分
ListNode* left = A;
ListNode* right = rightHead;
while (right != NULL) {
if (left->val != right->val) {
return false;
}
left = left->next;
right = right->next;
}
return true;
}