题目
给你一个链表,两两交换其中相邻的节点,并返回交换后链表的头节点。你必须在不修改节点内部的值的情况下完成本题(即,只能进行节点交换)。
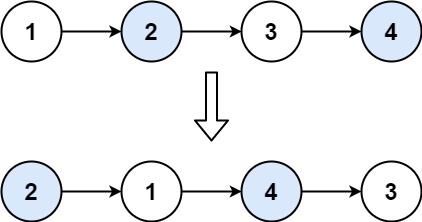
示例 1:

输入:head = [1,2,3,4]
输出:[2,1,4,3]
示例 2:
输入:head = []
输出:[]
示例 3:
输入:head = [1]
输出:[1]
核心思路
迭代法:每次处理两个节点,改变它们的next指针实现交换。
原链表: 1 → 2 → 3 → 4
交换1和2:
2 → 1 → 3 → 4
交换3和4:
2 → 1 → 4 → 3
结果: 2 → 1 → 4 → 3
题解
class Solution {
public ListNode swapPairs(ListNode head) {
// 使用哑节点简化处理
ListNode dummy = new ListNode(0);
dummy.next = head;
ListNode prev = dummy;
// 至少需要两个节点才能交换
while (prev.next != null && prev.next.next != null) {
// 定义要交换的两个节点
ListNode first = prev.next;
ListNode second = prev.next.next;
// 交换节点(三步)
first.next = second.next; // 1指向3
second.next = first; // 2指向1
prev.next = second; // prev指向2
// 移动prev到下一对的前一个节点
prev = first;
}
return dummy.next;
}
}
```
### 详细演示
```
原链表: 1 → 2 → 3 → 4
步骤1: 创建哑节点
------------------
dummy → 1 → 2 → 3 → 4
prev↑
步骤2: 第一次交换(1和2)
------------------
定义节点:
first = 1
second = 2
交换前:
dummy → 1 → 2 → 3 → 4
prev↑ ↑ ↑
first second
执行交换三步:
① first.next = second.next
1 → 3
dummy → 1 → 2 → 3 → 4
↓ ↑
└───────┘
② second.next = first
2 → 1
dummy → 1 ← 2 3 → 4
↓ ↑
└───┘
③ prev.next = second
dummy → 2
dummy → 2 → 1 → 3 → 4
↑ ↓ ↑
└───┴───┘
交换完成:
dummy → 2 → 1 → 3 → 4
移动prev:
prev = first (现在first是节点1)
dummy → 2 → 1 → 3 → 4
prev↑
步骤3: 第二次交换(3和4)
------------------
定义节点:
first = 3
second = 4
交换前:
dummy → 2 → 1 → 3 → 4
prev↑ ↑ ↑
first second
执行交换:
① first.next = second.next
3 → null
② second.next = first
4 → 3
③ prev.next = second
1 → 4
结果:
dummy → 2 → 1 → 4 → 3 → null
移动prev:
prev = first (节点3)
步骤4: 检查循环条件
------------------
prev.next = 3
prev.next.next = null
条件不满足,循环结束
返回 dummy.next
最终: 2 → 1 → 4 → 3
```
## 交换的三步详解
这是最关键的部分,顺序不能错:
```
交换前:
prev → first → second → next
↑ ↑ ↑ ↑
dummy 1 2 3
目标:
prev → second → first → next
↑ ↑ ↑ ↑
dummy 2 1 3
三步:
------------------
步骤1: first.next = second.next
让1指向3(跳过2)
prev → first second → next
↓ ╲ ↑ ↑
└────╲───┘ │
╲__________│
步骤2: second.next = first
让2指向1
prev → first ← second → next
↓ ↗
└──────────────┘
步骤3: prev.next = second
让prev指向2
prev ──→ second → first → next
↑ ↑ ↑
2 1 3
完成!
```
## 图解交换过程
```
原始状态:
dummy → 1 → 2 → 3 → 4
↑ ↑
first second
目标状态:
dummy → 2 → 1 → 3 → 4
↑ ↑
second first
改变指针方向:
1. 1.next = 3 (1跳过2)
2. 2.next = 1 (2指回1)
3. dummy.next = 2 (dummy指向2)
本质
两两交换链表节点体现了:
- 指针作 --- 改变next指针实现节点重排
- 固定的交换步骤 --- 三步法完成交换
- 哑节点技巧 --- 统一处理头节点
关键是理解交换的三步顺序:
- first.next = second.next(保存后续)
- second.next = first(交换)
- 上一页下一页 = second(连接)