给你链表的头结点 head ,请将其按 升序 排列并返回 排序后的链表 。
示例 1:

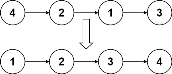
输入:head = [4,2,1,3]
输出:[1,2,3,4]
示例 2:

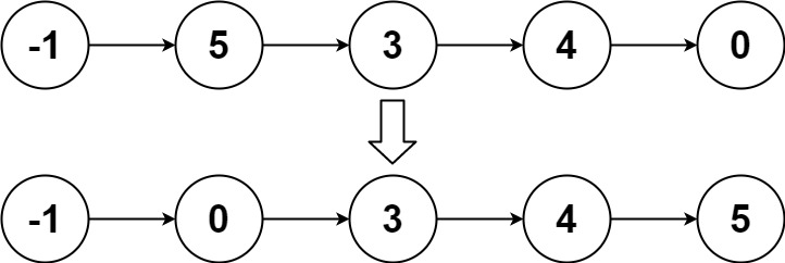
输入:head = [-1,5,3,4,0]
输出:[-1,0,3,4,5]
示例 3:
输入:head = []
输出:[]
核心思路
归并排序(自底向上):链表的归并排序,自底向上避免递归栈开销。
链表: 4 → 2 → 1 → 3
步骤1: 每1个节点一组,两两合并
[4] [2] [1] [3]
↓ ↓ ↓ ↓
[2,4] [1,3]
步骤2: 每2个节点一组,两两合并
[2,4] [1,3]
↓ ↓
[1,2,3,4]
结果: 1 → 2 → 3 → 4
题解:
java
class Solution {
public ListNode sortList(ListNode head) {
if (head == null || head.next == null) return head;
// 1. 用快慢指针找到中点
ListNode slow = head;
ListNode fast = head.next; // fast从head.next开始,确保slow在中点偏左
while (fast != null && fast.next != null) {
slow = slow.next;
fast = fast.next.next;
}
// 2. 断开链表
ListNode mid = slow.next;
slow.next = null;
// 3. 递归排序左右两部分
ListNode left = sortList(head);
ListNode right = sortList(mid);
// 4. 合并两个有序链表
return mergeTwoLists(left, right);
}
private ListNode mergeTwoLists(ListNode l1, ListNode l2) {
ListNode dummy = new ListNode(0);
ListNode curr = dummy;
while (l1 != null && l2 != null) {
if (l1.val <= l2.val) {
curr.next = l1;
l1 = l1.next;
} else {
curr.next = l2;
l2 = l2.next;
}
curr = curr.next;
}
curr.next = (l1 != null) ? l1 : l2;
return dummy.next;
}
}
```
### 递归演示
```
sortList(4→2→1→3)
├─ 找中点: slow=2
├─ 断开: [4→2] [1→3]
├─ sortList(4→2)
│ ├─ 找中点: slow=4
│ ├─ 断开: [4] [2]
│ ├─ sortList(4) → 4
│ ├─ sortList(2) → 2
│ └─ merge(4, 2) → 2→4
│
├─ sortList(1→3)
│ ├─ 找中点: slow=1
│ ├─ 断开: [1] [3]
│ ├─ sortList(1) → 1
│ ├─ sortList(3) → 3
│ └─ merge(1, 3) → 1→3
│
└─ merge(2→4, 1→3) → 1→2→3→4
```
## 两种解法对比
| 特性 | 自底向上 | 自顶向下 |
|------|---------|---------|
| **时间复杂度** | O(n log n) | O(n log n) |
| **空间复杂度** | O(1) | O(log n) --- 递归栈 |
| **代码难度** | 较难 | 中等 |
| **符合题目要求** | ✓ 完全符合 | 空间不是O(1) |
## 快慢指针找中点详解
```
为什么fast从head.next开始?
链表: 1 → 2 → 3 → 4
如果fast从head开始:
slow = 1, fast = 1
slow = 2, fast = 3
slow = 3, fast = null
slow停在3(中点偏右)
断开: [1→2→3] [4]
左边比右边长,递归不平衡
如果fast从head.next开始:
slow = 1, fast = 2
slow = 2, fast = 4
slow = 2, fast = null
slow停在2(中点偏左)
断开: [1→2] [3→4]
左右平衡 ✓
本质
链表排序的关键:
- 选择合适算法 --- 归并排序最适合链表
- 自底向上实现 --- 避免递归栈,达到O(1)空间
- 链表分割 --- 用cut函数和快慢指针
- 合并有序链表 --- 核心作
这道题综合了:
- 归并排序思想
- 链表分割技巧
- 合并有序链表
- 空间优化方法