题目描述
给你单链表的头节点 head ,请你反转链表,并返回反转后的链表。

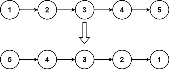
示例 1:
输入: head = [1,2,3,4,5]
输出: [5,4,3,2,1]
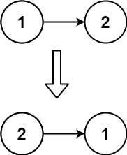
示例 2:
输入: head = [1,2]
输出: [2,1]
示例 3:
输入: head = []
输出: []
提示:
链表中节点的数目范围是 [0, 5000]
-5000 <= Node.val <= 5000
思路1:迭代
通过遍历直接修改指向即可。
代码1
cpp
/**
* Definition for singly-linked list.
* struct ListNode {
* int val;
* ListNode *next;
* ListNode() : val(0), next(nullptr) {}
* ListNode(int x) : val(x), next(nullptr) {}
* ListNode(int x, ListNode *next) : val(x), next(next) {}
* };
*/
class Solution {
public:
ListNode* reverseList(ListNode* head) {
ListNode * tail = nullptr;
ListNode * cur = nullptr;
while(head != nullptr)
{
// 保存下一个位置
ListNode * cur = head->next;
// 修改当前位置的指向
head->next = tail;
tail = head;
// 获取下一个位置
head = cur;
}
return tail;
}
};
思路2:递归
我们可以通过递归的方式获取尾部指针,再进行倒置设置方向。
代码2
cpp
/**
* Definition for singly-linked list.
* struct ListNode {
* int val;
* ListNode *next;
* ListNode() : val(0), next(nullptr) {}
* ListNode(int x) : val(x), next(nullptr) {}
* ListNode(int x, ListNode *next) : val(x), next(next) {}
* };
*/
class Solution {
public:
ListNode* reverseList(ListNode* head) {
// 递归获取尾部指针返回
if(head == nullptr || head->next == nullptr) return head;
ListNode *tail = reverseList(head->next);
// 不是尾部的指针,需要修改指向的方向
head->next->next = head;
// 避免产生环
head->next = nullptr;
return tail;
}
};