
【作者主页】Francek Chen
【专栏介绍】⌈ ⌈ ⌈PyTorch深度学习 ⌋ ⌋ ⌋ 深度学习 (DL, Deep Learning) 特指基于深层神经网络模型和方法的机器学习。它是在统计机器学习、人工神经网络等算法模型基础上,结合当代大数据和大算力的发展而发展出来的。深度学习最重要的技术特征是具有自动提取特征的能力。神经网络算法、算力和数据是开展深度学习的三要素。深度学习在计算机视觉、自然语言处理、多模态数据分析、科学探索等领域都取得了很多成果。本专栏介绍基于PyTorch的深度学习算法实现。
【GitCode】专栏资源保存在我的GitCode仓库:https://gitcode.com/Morse_Chen/PyTorch_deep_learning。
文章目录
随着我们设计越来越深的网络,深刻理解"新添加的层如何提升神经网络的性能"变得至关重要。更重要的是设计网络的能力,在这种网络中,添加层会使网络更具表现力,为了取得质的突破,我们需要一些数学基础知识。
一、函数类
首先,假设有一类特定的神经网络架构 F \mathcal{F} F,它包括学习速率和其他超参数设置。对于所有 f ∈ F f \in \mathcal{F} f∈F,存在一些参数集(例如权重和偏置),这些参数可以通过在合适的数据集上进行训练而获得。现在假设 f ∗ f^* f∗是我们真正想要找到的函数,如果是 f ∗ ∈ F f^* \in \mathcal{F} f∗∈F,那我们可以轻而易举的训练得到它,但通常我们不会那么幸运。相反,我们将尝试找到一个函数 f F ∗ f^*\mathcal{F} fF∗,这是我们在 F \mathcal{F} F中的最佳选择。例如,给定一个具有 X \mathbf{X} X特性和 y \mathbf{y} y标签的数据集,我们可以尝试通过解决以下优化问题来找到它:
f F ∗ : = a r g m i n f L ( X , y , f ) , f ∈ F (1) f^*\mathcal{F} := \mathop{\mathrm{argmin}}_f L(\mathbf{X}, \mathbf{y}, f) ,\quad f \in \mathcal{F} \tag{1} fF∗:=argminfL(X,y,f),f∈F(1)
那么,怎样得到更近似真正 f ∗ f^* f∗的函数呢?唯一合理的可能性是,我们需要设计一个更强大的架构 F ′ \mathcal{F}' F′。换句话说,我们预计 f F ′ ∗ f^*{\mathcal{F}'} fF′∗比 f F ∗ f^*{\mathcal{F}} fF∗"更近似"。然而,如果 F ⊈ F ′ \mathcal{F} \not\subseteq \mathcal{F}' F⊆F′,则无法保证新的体系"更近似"。事实上, f F ′ ∗ f^*_{\mathcal{F}'} fF′∗可能更糟:如图1所示,对于非嵌套函数 (non-nested function)类,较复杂的函数类并不总是向"真"函数 f ∗ f^* f∗靠拢(复杂度由 F 1 \mathcal{F}_1 F1向 F 6 \mathcal{F}_6 F6递增)。在图1的左边,虽然 F 3 \mathcal{F}_3 F3比 F 1 \mathcal{F}_1 F1更接近 f ∗ f^* f∗,但 F 6 \mathcal{F}_6 F6却离的更远了。相反对于图1右侧的嵌套函数 (nested function)类 F 1 ⊆ ... ⊆ F 6 \mathcal{F}_1 \subseteq \ldots \subseteq \mathcal{F}_6 F1⊆...⊆F6,我们可以避免上述问题。

图1 对于非嵌套函数类,较复杂(由较大区域表示)的函数类不能保证更接近"真"函数 f ∗ f^* f∗。这种现象在嵌套函数类中不会发生
因此,只有当较复杂的函数类包含较小的函数类时,我们才能确保提高它们的性能。对于深度神经网络,如果我们能将新添加的层训练成恒等映射 (identity function) f ( x ) = x f(\mathbf{x}) = \mathbf{x} f(x)=x,新模型和原模型将同样有效。同时,由于新模型可能得出更优的解来拟合训练数据集,因此添加层似乎更容易降低训练误差。
针对这一问题,何恺明等人提出了残差网络 (ResNet)。它在2015年的ImageNet图像识别挑战赛夺魁,并深刻影响了后来的深度神经网络的设计。残差网络的核心思想是:每个附加层都应该更容易地包含原始函数作为其元素之一。于是,残差块(residual blocks)便诞生了,这个设计对如何建立深层神经网络产生了深远的影响。凭借它,ResNet赢得了2015年ImageNet大规模视觉识别挑战赛。
二、残差块
让我们聚焦于神经网络局部:如图2所示,假设我们的原始输入为 x x x,而希望学出的理想映射为 f ( x ) f(\mathbf{x}) f(x)(作为图2上方激活函数的输入)。图2左图虚线框中的部分需要直接拟合出该映射 f ( x ) f(\mathbf{x}) f(x),而右图虚线框中的部分则需要拟合出残差映射 f ( x ) − x f(\mathbf{x}) - \mathbf{x} f(x)−x。残差映射在现实中往往更容易优化。以本节开头提到的恒等映射作为我们希望学出的理想映射 f ( x ) f(\mathbf{x}) f(x),我们只需将图2中右图虚线框内上方的加权运算(如仿射)的权重和偏置参数设成0,那么 f ( x ) f(\mathbf{x}) f(x)即为恒等映射。实际中,当理想映射 f ( x ) f(\mathbf{x}) f(x)极接近于恒等映射时,残差映射也易于捕捉恒等映射的细微波动。图2右图是ResNet的基础架构--残差块(residual block)。在残差块中,输入可通过跨层数据线路更快地向前传播。

图2 一个正常块(左图)和一个残差块(右图)
ResNet沿用了VGG完整的 3 × 3 3\times 3 3×3卷积层设计。残差块里首先有2个有相同输出通道数的 3 × 3 3\times 3 3×3卷积层。每个卷积层后接一个批量规范化层和ReLU激活函数。然后我们通过跨层数据通路,跳过这2个卷积运算,将输入直接加在最后的ReLU激活函数前。这样的设计要求2个卷积层的输出与输入形状一样,从而使它们可以相加。如果想改变通道数,就需要引入一个额外的 1 × 1 1\times 1 1×1卷积层来将输入变换成需要的形状后再做相加运算。残差块的实现如下:
python
import torch
from torch import nn
from torch.nn import functional as F
from d2l import torch as d2l
class Residual(nn.Module): #@save
def __init__(self, input_channels, num_channels, use_1x1conv=False, strides=1):
super().__init__()
self.conv1 = nn.Conv2d(input_channels, num_channels, kernel_size=3, padding=1, stride=strides)
self.conv2 = nn.Conv2d(num_channels, num_channels, kernel_size=3, padding=1)
if use_1x1conv:
self.conv3 = nn.Conv2d(input_channels, num_channels, kernel_size=1, stride=strides)
else:
self.conv3 = None
self.bn1 = nn.BatchNorm2d(num_channels)
self.bn2 = nn.BatchNorm2d(num_channels)
def forward(self, X):
Y = F.relu(self.bn1(self.conv1(X)))
Y = self.bn2(self.conv2(Y))
if self.conv3:
X = self.conv3(X)
Y += X
return F.relu(Y)
如图3所示,此代码生成两种类型的网络:一种是当use_1x1conv=False时,应用ReLU非线性函数之前,将输入添加到输出。另一种是当use_1x1conv=True时,添加通过 1 × 1 1 \times 1 1×1卷积调整通道和分辨率。

图3 包含以及不包含1×1卷积层的残差块
下面我们来查看输入和输出形状一致的情况。
python
blk = Residual(3,3)
X = torch.rand(4, 3, 6, 6)
Y = blk(X)
Y.shape

我们也可以在增加输出通道数的同时,减半输出的高和宽。
python
blk = Residual(3,6, use_1x1conv=True, strides=2)
blk(X).shape

三、ResNet模型
ResNet的前两层跟之前介绍的GoogLeNet中的一样:在输出通道数为64、步幅为2的 7 × 7 7 \times 7 7×7卷积层后,接步幅为2的 3 × 3 3 \times 3 3×3的最大汇聚层。不同之处在于ResNet每个卷积层后增加了批量规范化层。
python
b1 = nn.Sequential(nn.Conv2d(1, 64, kernel_size=7, stride=2, padding=3),
nn.BatchNorm2d(64), nn.ReLU(),
nn.MaxPool2d(kernel_size=3, stride=2, padding=1))
GoogLeNet在后面接了4个由Inception块组成的模块。ResNet则使用4个由残差块组成的模块,每个模块使用若干个同样输出通道数的残差块。第一个模块的通道数同输入通道数一致。由于之前已经使用了步幅为2的最大汇聚层,所以无须减小高和宽。之后的每个模块在第一个残差块里将上一个模块的通道数翻倍,并将高和宽减半。
下面我们来实现这个模块。注意,我们对第一个模块做了特别处理。
python
def resnet_block(input_channels, num_channels, num_residuals, first_block=False):
blk = []
for i in range(num_residuals):
if i == 0 and not first_block:
blk.append(Residual(input_channels, num_channels, use_1x1conv=True, strides=2))
else:
blk.append(Residual(num_channels, num_channels))
return blk
接着在ResNet加入所有残差块,这里每个模块使用2个残差块。
python
b2 = nn.Sequential(*resnet_block(64, 64, 2, first_block=True))
b3 = nn.Sequential(*resnet_block(64, 128, 2))
b4 = nn.Sequential(*resnet_block(128, 256, 2))
b5 = nn.Sequential(*resnet_block(256, 512, 2))
最后,与GoogLeNet一样,在ResNet中加入全局平均汇聚层,以及全连接层输出。
python
net = nn.Sequential(b1, b2, b3, b4, b5,
nn.AdaptiveAvgPool2d((1,1)),
nn.Flatten(), nn.Linear(512, 10))
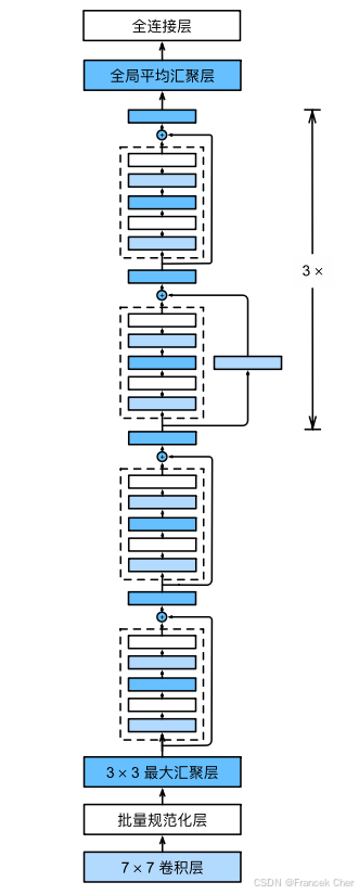
每个模块有4个卷积层(不包括恒等映射的 1 × 1 1\times 1 1×1卷积层)。加上第一个 7 × 7 7\times 7 7×7卷积层和最后一个全连接层,共有18层。因此,这种模型通常被称为ResNet-18。通过配置不同的通道数和模块里的残差块数可以得到不同的ResNet模型,例如更深的含152层的ResNet-152。虽然ResNet的主体架构跟GoogLeNet类似,但ResNet架构更简单,修改也更方便。这些因素都导致了ResNet迅速被广泛使用。图4描述了完整的ResNet-18。

图4 ResNet-18架构
在训练ResNet之前,让我们观察一下ResNet中不同模块的输入形状是如何变化的。在之前所有架构中,分辨率降低,通道数量增加,直到全局平均汇聚层聚集所有特征。
python
X = torch.rand(size=(1, 1, 224, 224))
for layer in net:
X = layer(X)
print(layer.__class__.__name__,'output shape:\t', X.shape)

四、训练模型
同之前一样,我们在Fashion-MNIST数据集上训练ResNet。
python
lr, num_epochs, batch_size = 0.05, 10, 256
train_iter, test_iter = d2l.load_data_fashion_mnist(batch_size, resize=96)
d2l.train_ch6(net, train_iter, test_iter, num_epochs, lr, d2l.try_gpu())


小结
- 学习嵌套函数(nested function)是训练神经网络的理想情况。在深层神经网络中,学习另一层作为恒等映射(identity function)较容易(尽管这是一个极端情况)。
- 残差映射可以更容易地学习同一函数,例如将权重层中的参数近似为零。
- 利用残差块(residual blocks)可以训练出一个有效的深层神经网络:输入可以通过层间的残余连接更快地向前传播。
- 残差网络(ResNet)对随后的深层神经网络设计产生了深远影响。