一、单位矩阵
- 定义 :主对角线元素全为 1,其余元素全为 0 的方阵,
。 - 性质:对任意矩阵 A(满足维度兼容),有 AI=A,IA=A,类似数的 "1"。
二、逆矩阵(仅针对可逆方阵)
1. 定义
- 若方阵 A 存在矩阵
,使得 A
=
A=I(I 为单位矩阵),则
称为 A 的逆矩阵。
- 条件 :∣A∣
0(非奇异矩阵)。
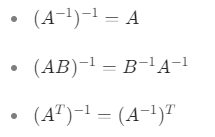
2. 性质

三、矩阵的转置
1. 定义
- 将矩阵 A 的行列互换,得到的新矩阵称为 A 的转置,记作
或 A′。
- 若 A 是 m×n 矩阵,则
是 n×m 矩阵。
- 示例

- 性质

四、矩阵的行列式(仅针对方阵)
1. 定义
- 对于 n×n 方阵 A,其行列式记作 ∣A∣ 或 det(A),是一个数值,反映矩阵的某些性质(如可逆性)。
2. 计算示例(二阶方阵)

3. 性质
- ∣
∣=∣A∣
- ∣AB∣=∣A∣∣B∣
