
⚡ CYBER_PROFILE ⚡
/// SYSTEM READY ///
WARNING : DETECTING HIGH ENERGY
🌊 🌉 🌊 心手合一 · 水到渠成

|------------------------------------------------------------------------------------|--------------------------------------------------------------------------------------------------------------|
| >>> ACCESS TERMINAL <<< ||
| 🦾 作者主页 | 🔥 C语言核心 |
| 💾 编程百度 | 📡 代码仓库 |
Running Process: 100% | Latency: 0ms
🚩在之前的树的章节中我们讲解了树这个数据结构的一些基本概念 ,本章我们将重点介绍树结构中最常见的二叉树
索引与导读
- 🤔一、什么是二叉树?
- 🤔二、二叉树的情况分布
- 🤔三、特殊二叉树
- 🤔四、二叉树的性质
-
- 二叉树的普通性质(所有二叉树适用)
-
- [性质 1:第 i i i 层上的结点数](#性质 1:第 i i i 层上的结点数)
- 证明(数学归纳法):
- [性质 2:深度为 k k k 的最大结点总数](#性质 2:深度为 k k k 的最大结点总数)
- [性质 3:叶子结点与度为2结点的关系 【考研/面试高频】](#性质 3:叶子结点与度为2结点的关系 【考研/面试高频】)
- 完全二叉树的特有性质
-
- [性质 4:完全二叉树的深度](#性质 4:完全二叉树的深度)
- 性质5:完全二叉树的数组存储特性
- 经典例题
-
- [1. 叶子结点与度为2结点的关系](#1. 叶子结点与度为2结点的关系)
- [2. 顺序存储结构的适用性](#2. 顺序存储结构的适用性)
- [3. 完全二叉树的叶子结点推导](#3. 完全二叉树的叶子结点推导)
- [4. 完全二叉树的高度计算](#4. 完全二叉树的高度计算)
- [5. 大规模完全二叉树的叶子计算](#5. 大规模完全二叉树的叶子计算)
- 总结技巧
- 🤔五、二叉树的存储结构
-
-
- 5.1)顺序存储
- 5.2)链式存储
-
- 5.2.1)二叉树的遍历方式
- 5.2.2)🔨二叉树遍历的经典例题
-
-
- [🎯 第一题:完全二叉树的序列转化](#🎯 第一题:完全二叉树的序列转化)
- [🎯 第二题:秒杀根节点(送分题)](#🎯 第二题:秒杀根节点(送分题))
- [🎯 第三题:由中序与后序还原前序(经典难点)](#🎯 第三题:由中序与后序还原前序(经典难点))
-
-
- 🤔六、二叉树的分文件编写
-
- BinaryTree.h
- BinaryTree.c
-
- [简易队列的创建(用于 LevelOrder 和 BinaryTreeComplete)](#简易队列的创建(用于 LevelOrder 和 BinaryTreeComplete))
- 🌠创建新节点
- 🌠通过前序数组构建二叉树
- 🌠二叉树销毁 (后序遍历销毁)
- 🌠节点个数
- 🌠叶子节点个数(递归实现)
- 🌠第k层节点个数
- 🌠查找值为x的节点
- [🌠前序遍历: 根 -> 左 -> 右](#🌠前序遍历: 根 -> 左 -> 右)
- [🌠中序遍历: 左 -> 根 -> 右](#🌠中序遍历: 左 -> 根 -> 右)
- [🌠后序遍历: 左 -> 右 -> 根](#🌠后序遍历: 左 -> 右 -> 根)
- 🌠层序遍历 (使用队列)
- 🌠判断是否为完全二叉树
- 🌠二叉树的高度
- 🖊完整代码
- test.c
- 🤔关于二叉树的在线OJ题
- [💻结尾--- 核心连接协议](#💻结尾— 核心连接协议)
🤔一、什么是二叉树?
🚩二叉树(Binary Tree)是 n n n 个节点的有限集合。在 C 语言中,我们通常通过结构体(struct)和指针来模拟这种非线性的逻辑结构
- 一棵二叉树是结点的一个有限集合,该集合:
- 或者为空
- 由一个根结点加上两棵别称为左子树和右子树的二叉树组成

从上图我们可以看出:
🚩二叉树不存在度大于2的结点
🚩二叉树的子树有左右之分,次序不能颠倒
因此二叉树是有序树
🤔二、二叉树的情况分布
🚩对于任意二叉树,都是由以下几种情况复合而成的 :
🤔三、特殊二叉树
在普通二叉树中,节点的位置比较随意
但在满二叉树 和完全二叉树 中,节点的分布遵循严格的规律
这种规律使得我们可以用数组来高效存储二叉树 ,而不需要总是依赖链表
满二叉树
定义:一个二叉树,如果每一个层的结点数都达到最大值,则这个二叉树就是满二叉树
-
核心公式
假设树的高度为 h h h(从1开始计数):- 第 i i i 层的节点数: 2 i − 1 2^{i-1} 2i−1
- 总节点数 N N N: 2 h − 1 2^h - 1 2h−1
-
💡 面试考点:
如果已知节点总数 N N N 是偶数,它一定不是满二叉树 -
图解示例

完全二叉树
- 定义:
完全二叉树是效率很高的数据结构,对于深度为 h h h 的二叉树,前 h − 1 h-1 h−1 层必须是满的
第 h h h 层(最后一层)的节点必须从左到右连续排列,中间不能留空
满二叉树一定是完全二叉树,但反之不成立
完全二叉树允许最后一层没填满,但必须紧凑地靠在左边
- 图解示例

🤔四、二叉树的性质
二叉树的普通性质(所有二叉树适用)
这是二叉树通用的三大性质,无论是满二叉树、完全二叉树还是普通二叉树,都必须遵循。
性质 1:第 i i i 层上的结点数
结论 :二叉树的第 i i i 层上至多有 2 i − 1 2^{i-1} 2i−1 个结点 ( i ≥ 1 i \ge 1 i≥1)。
证明(数学归纳法):
- 基础步骤 :当 i = 1 i=1 i=1 时,第1层只有根结点,结点数为 1 = 2 1 − 1 = 2 0 1 = 2^{1-1} = 2^0 1=21−1=20,命题成立。
- 归纳假设 :假设第 i − 1 i-1 i−1 层至多有 2 i − 2 2^{i-2} 2i−2 个结点。
- 推导 :根据二叉树定义,每个结点最多有两个孩子。因此,第 i i i 层的结点数最多是第 i − 1 i-1 i−1 层结点数的 2 倍。
M a x ( N i ) = 2 × M a x ( N i − 1 ) = 2 × 2 i − 2 = 2 i − 1 Max(N_i) = 2 \times Max(N_{i-1}) = 2 \times 2^{i-2} = 2^{i-1} Max(Ni)=2×Max(Ni−1)=2×2i−2=2i−1
证毕。
性质 2:深度为 k k k 的最大结点总数
结论 :深度为 k k k 的二叉树至多有 2 k − 1 2^k - 1 2k−1 个结点 ( k ≥ 1 k \ge 1 k≥1)。
- 证明(等比数列求和):
深度为 k k k 的二叉树,要想结点最多,那么每一层都必须达到最大值(即满二叉树)。
根据性质1,各层最大结点数分别为: 2 0 , 2 1 , 2 2 , . . . , 2 k − 1 2^0, 2^1, 2^2, ..., 2^{k-1} 20,21,22,...,2k−1。
总数 S k S_k Sk 为:
S k = ∑ i = 1 k 2 i − 1 = 2 0 + 2 1 + ⋯ + 2 k − 1 S_k = \sum_{i=1}^{k} 2^{i-1} = 2^0 + 2^1 + \dots + 2^{k-1} Sk=i=1∑k2i−1=20+21+⋯+2k−1
根据等比数列求和公式:
S k = a 1 ( 1 − q k ) 1 − q = 1 ( 1 − 2 k ) 1 − 2 = 2 k − 1 S_k = \frac{a_1(1-q^k)}{1-q} = \frac{1(1-2^k)}{1-2} = 2^k - 1 Sk=1−qa1(1−qk)=1−21(1−2k)=2k−1
证毕。
性质 3:叶子结点与度为2结点的关系 【考研/面试高频】
结论 :对任何一棵二叉树 T T T,如果其叶子结点(度为0)数为 n 0 n_0 n0,度为2的结点数为 n 2 n_2 n2,则 n 0 = n 2 + 1 n_0 = n_2 + 1 n0=n2+1。
- 详细推导:
这是一个非常精妙的推导,利用了"结点数"和"分支数(边数)"的两个等式。
设:
- n n n 为二叉树结点总数。
- n 0 n_0 n0 为度为0的结点数(叶子)。
- n 1 n_1 n1 为度为1的结点数。
- n 2 n_2 n2 为度为2的结点数。
- B B B 为分支总数(即树枝/边的数量)。
步骤 1:从结点组成看总数
二叉树只有三种类型的结点(度为0, 1, 2),所以:
n = n 0 + n 1 + n 2 ------ (式1) n = n_0 + n_1 + n_2 \quad \text{------ (式1)} n=n0+n1+n2------ (式1)
步骤 2:从分支(边)看总数
- 除了根结点外,每个结点都有且仅有一条边从上面连下来。
- 所以,结点总数 = 分支总数 + 1(根结点)。
n = B + 1 ------ (式2) n = B + 1 \quad \text{------ (式2)} n=B+1------ (式2)
步骤 3:计算分支总数 B B B
- 度为0的结点发出 0 条边。
- 度为1的结点发出 1 条边。
- 度为2的结点发出 2 条边。
B = 0 × n 0 + 1 × n 1 + 2 × n 2 = n 1 + 2 n 2 B = 0 \times n_0 + 1 \times n_1 + 2 \times n_2 = n_1 + 2n_2 B=0×n0+1×n1+2×n2=n1+2n2
步骤 4:联立求解
将 B B B 代入 (式2):
n = n 1 + 2 n 2 + 1 ------ (式3) n = n_1 + 2n_2 + 1 \quad \text{------ (式3)} n=n1+2n2+1------ (式3)
联立 (式1) 和 (式3):
n 0 + n 1 + n 2 = n 1 + 2 n 2 + 1 n_0 + n_1 + n_2 = n_1 + 2n_2 + 1 n0+n1+n2=n1+2n2+1
消去 n 1 n_1 n1:
n 0 + n 2 = 2 n 2 + 1 n_0 + n_2 = 2n_2 + 1 n0+n2=2n2+1
移项得:
n 0 = n 2 + 1 n_0 = n_2 + 1 n0=n2+1
证毕。
注意 :这个性质告诉我们,二叉树的叶子结点数只和度为2的结点数有关,与度为1的结点数无关。
完全二叉树的特有性质
完全二叉树 (Complete Binary Tree) 是效率极高的一种特殊二叉树(堆就是完全二叉树),它有两个额外的核心性质。
性质 4:完全二叉树的深度
结论 :具有 n n n 个结点的完全二叉树的深度 k k k 为 ⌊ log 2 n ⌋ + 1 \lfloor \log_2 n \rfloor + 1 ⌊log2n⌋+1 或 ⌈ log 2 ( n + 1 ) ⌉ \lceil \log_2(n+1) \rceil ⌈log2(n+1)⌉。
(注: ⌊ x ⌋ \lfloor x \rfloor ⌊x⌋ 表示向下取整)
- 证明:
假设完全二叉树深度为 k k k。
- 根据性质2,深度为 k k k 的满二叉树有 2 k − 1 2^k - 1 2k−1 个结点。
- 深度为 k − 1 k-1 k−1 的满二叉树有 2 k − 1 − 1 2^{k-1} - 1 2k−1−1 个结点。
- 完全二叉树的结点数 n n n 介于两者之间(第 k k k 层至少有1个结点,至多排满):
2 k − 1 − 1 < n ≤ 2 k − 1 2^{k-1} - 1 < n \le 2^k - 1 2k−1−1<n≤2k−1
由于 n n n 是整数,不等式可以变换为:
2 k − 1 ≤ n < 2 k 2^{k-1} \le n < 2^k 2k−1≤n<2k - 对不等式三边同时取对数(底数为2):
k − 1 ≤ log 2 n < k k-1 \le \log_2 n < k k−1≤log2n<k
即:
log 2 n < k ≤ log 2 n + 1 \log_2 n < k \le \log_2 n + 1 log2n<k≤log2n+1
因为 k k k 是整数,所以 k = ⌊ log 2 n ⌋ + 1 k = \lfloor \log_2 n \rfloor + 1 k=⌊log2n⌋+1。
证毕。
性质5:完全二叉树的数组存储特性
对于具有 n n n 个结点的完全二叉树,如果按照从上至下、从左至右的数组顺序对所有结点从 0 0 0 开始编号,则对于序号为 i i i 的结点有:
-
父结点序号:
- 若 i > 0 i > 0 i>0,则 i i i 位置结点的双亲(父结点)序号为: ⌊ ( i − 1 ) / 2 ⌋ \lfloor (i-1)/2 \rfloor ⌊(i−1)/2⌋;
- 若 i = 0 i = 0 i=0, i i i 为根结点编号,无双亲结点。
-
左孩子序号:
- 若 2 i + 1 < n 2i + 1 < n 2i+1<n,则左孩子序号为: 2 i + 1 2i + 1 2i+1;
- 若 2 i + 1 ≥ n 2i + 1 \ge n 2i+1≥n,则该结点无左孩子。
-
右孩子序号:
- 若 2 i + 2 < n 2i + 2 < n 2i+2<n,则右孩子序号为: 2 i + 2 2i + 2 2i+2;
- 若 2 i + 2 ≥ n 2i + 2 \ge n 2i+2≥n,则该结点无右孩子。
经典例题
1. 叶子结点与度为2结点的关系
题目描述:
某二叉树共有 399 个结点,其中有 199 个度为 2 的结点,则该二叉树中的叶子结点数为( )
A. 不存在这样的二叉树
B. 200
C. 198
D. 199
正确答案:B
【详细解析】
这是一道考察二叉树通用性质的题目。
根据二叉树的性质 n 0 = n 2 + 1 n_0 = n_2 + 1 n0=n2+1(即:叶子结点数 = 度为2的结点数 + 1):
- 已知 n 2 = 199 n_2 = 199 n2=199
- 则 n 0 = 199 + 1 = 200 n_0 = 199 + 1 = 200 n0=199+1=200
验证合法性(排除A):
总结点数 n = n 0 + n 1 + n 2 n = n_0 + n_1 + n_2 n=n0+n1+n2。
399 = 200 + n 1 + 199 399 = 200 + n_1 + 199 399=200+n1+199
399 = 399 + n 1 ⇒ n 1 = 0 399 = 399 + n_1 \Rightarrow n_1 = 0 399=399+n1⇒n1=0
度为1的结点数为0,这是一个合法的二叉树(实际上这是一棵满二叉树或正则二叉树)。
故选 B。
2. 顺序存储结构的适用性
题目描述:
下列数据结构中,不适合采用顺序存储结构的是( )
A. 非完全二叉树
B. 堆
C. 队列
D. 栈
正确答案:A
【详细解析】
- A. 非完全二叉树 :如果在数组(顺序存储)中存储非完全二叉树,为了保持节点间的父子下标关系(即父节点 i i i 的左孩子为 2 i 2i 2i,右孩子为 2 i + 1 2i+1 2i+1),必须在数组中留出空位来代表"缺失"的节点。这会导致大量的空间浪费(稀疏),因此通常采用链式存储。
- B. 堆:堆在逻辑上是一棵完全二叉树,在数组中存储时紧凑且无空间浪费,非常适合顺序存储。
- C. 队列 & D. 栈:作为线性表,顺序存储(数组)是它们的标准实现方式之一。
故选 A。
3. 完全二叉树的叶子结点推导
题目描述:
在具有 2 n 2n 2n 个结点的完全二叉树中,叶子结点个数为( )
A. n n n
B. n + 1 n+1 n+1
C. n − 1 n-1 n−1
D. n / 2 n/2 n/2
正确答案:A
【详细解析】
方法一:利用奇偶性分析
- 设总结点数为 N = 2 n N = 2n N=2n,这是一个偶数。
- 我们知道 N = n 0 + n 1 + n 2 N = n_0 + n_1 + n_2 N=n0+n1+n2。
- 代入性质 n 2 = n 0 − 1 n_2 = n_0 - 1 n2=n0−1,得:
N = n 0 + n 1 + ( n 0 − 1 ) = 2 n 0 + n 1 − 1 N = n_0 + n_1 + (n_0 - 1) = 2n_0 + n_1 - 1 N=n0+n1+(n0−1)=2n0+n1−1 - 在完全二叉树中,度为1的结点数 n 1 n_1 n1 只能是 0 或 1 。
- 若 n 1 = 0 n_1 = 0 n1=0,则 N = 2 n 0 − 1 N = 2n_0 - 1 N=2n0−1(结果为奇数)。
- 若 n 1 = 1 n_1 = 1 n1=1,则 N = 2 n 0 N = 2n_0 N=2n0(结果为偶数)。
- 因为题目给出总结点数 2 n 2n 2n 是偶数 ,所以必然满足 n 1 = 1 n_1 = 1 n1=1 的情况。
- 方程变为: 2 n = 2 n 0 ⇒ n 0 = n 2n = 2n_0 \Rightarrow n_0 = n 2n=2n0⇒n0=n。
方法二:公式法
对于完全二叉树,叶子结点数 n 0 = ⌈ N / 2 ⌉ n_0 = \lceil N/2 \rceil n0=⌈N/2⌉ (向上取整)。
n 0 = ⌈ 2 n / 2 ⌉ = n n_0 = \lceil 2n / 2 \rceil = n n0=⌈2n/2⌉=n。
故选 A。
4. 完全二叉树的高度计算
题目描述:
一棵完全二叉树的结点数位为 531 个,那么这棵树的高度为( )
A. 11
B. 10
C. 8
D. 12
正确答案:B
【详细解析】
根据完全二叉树高度公式: h = ⌊ log 2 N ⌋ + 1 h = \lfloor \log_2 N \rfloor + 1 h=⌊log2N⌋+1。
- 我们需要找到 531 介于 2 的哪两个幂次方之间。
- 2 9 = 512 2^9 = 512 29=512
- 2 10 = 1024 2^{10} = 1024 210=1024
- 因为 512 < 531 < 1024 512 < 531 < 1024 512<531<1024,即 2 9 < 531 < 2 10 2^9 < 531 < 2^{10} 29<531<210。
- 所以 ⌊ log 2 531 ⌋ = 9 \lfloor \log_2 531 \rfloor = 9 ⌊log2531⌋=9。
- 高度 h = 9 + 1 = 10 h = 9 + 1 = 10 h=9+1=10。
故选 B。
5. 大规模完全二叉树的叶子计算
题目描述:
一个具有 767 个结点的完全二叉树,其叶子结点个数为( )
正确答案:384
【详细解析】
方法一:奇偶判断法
- 总结点数 N = 767 N = 767 N=767 是奇数。
- 根据 N = 2 n 0 + n 1 − 1 N = 2n_0 + n_1 - 1 N=2n0+n1−1,要使 N N N 为奇数,则 n 1 n_1 n1 必须为 0(若 n 1 = 1 n_1=1 n1=1 则 N N N 为偶数)。
- 所以: 767 = 2 n 0 − 1 767 = 2n_0 - 1 767=2n0−1
- 2 n 0 = 768 2n_0 = 768 2n0=768
- n 0 = 384 n_0 = 384 n0=384
方法二:临界点法
在完全二叉树中,最后一个非叶子结点的编号为 ⌊ N / 2 ⌋ \lfloor N/2 \rfloor ⌊N/2⌋。
- 最后一个非叶子结点索引 = ⌊ 767 / 2 ⌋ = 383 \lfloor 767 / 2 \rfloor = 383 ⌊767/2⌋=383。
- 叶子结点就是编号大于 383 的所有结点。
- 叶子数 = 总数 - 非叶子数 = 767 − 383 = 384 767 - 383 = 384 767−383=384。
总结技巧
做二叉树选择题时,牢记以下三个核心工具:
- 🚩1. 通用公式 : n 0 = n 2 + 1 n_0 = n_2 + 1 n0=n2+1 (适用所有二叉树)
- 🚩2. 完全二叉树判定 : n 1 ∈ { 0 , 1 } n_1 \in \{0, 1\} n1∈{0,1},且 N N N 为偶数时 n 1 = 1 n_1=1 n1=1,N为奇数时 n 1 = 0 n_1=0 n1=0。
- 🚩3. 高度估算 :熟记 2 10 = 1024 2^{10}=1024 210=1024, 2 8 = 256 2^8=256 28=256 等关键数值。
🤔五、二叉树的存储结构
二叉树一般可以使用两种结构存储,一种顺序结构,一种链式结构
普通的二叉树是不适合用数组 来存储的,因为可能会存在大量的空间浪费
而完全二叉树更适合使用顺序结构 存储
现实中我们通常把
堆(一种二叉树)使用顺序结构的数组来存储
- 对于完全二叉树,我们可以直接将其节点按层序编号,存储在数组中
- 对于一般二叉树 ,为了保持节点间的逻辑关系,我们需要在数组中将其"补"成完全二叉树,不存在的节点在数组中用"空"(如 0 或特殊符号)表示
5.1)顺序存储
🚩二叉树的顺序存储结构是指利用一组地址连续的存储单元 (通常是数组 )依次自上而下、自左至右存储完全二叉树上的结点元素
现实中我们通常把 堆(一种二叉树) 使用
顺序结构的数组来存储
非完全二叉树不适合用顺序存储,因为会造成大量的空间浪费

5.2)链式存储
- 链式结构节点的定义
c
typedef int BTDataType;
typedef struct BinaryTreeNode {
BTDataType data;
struct BinaryTreeNode* right;
struct BinaryTreeNode* left;
}BTNode;
🚩data------当前节点的值域
🚩left------左孩子节点
🚩right------右孩子节点
5.2.1)二叉树的遍历方式

1)前序遍历
先遍历根节点,再遍历左子树,最后遍历右子树---根左右

A
B
D
NULL
NULL
NULL
C
E
NULL
NULL
F
NULL
NULL
2)中序遍历
先遍历左子树,再遍历根节点,最后遍历右子树---左根右

NULL
D
NULL
B
NULL
A
NULL
E
NULL
C
NULL
F
NULL
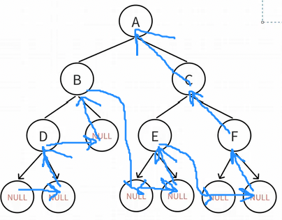
3)后序遍历
先遍历左子树,再遍历右子树,最后遍历根节点---左右根

NULL
NULL
D
NULL
B
NULL
NULL
E
NULL
NULL
F
C
A
4)层序遍历
按照层次依次遍历 (从上到下,从左到右)
除了先序遍历、中序遍历、后序遍历 外,还可以对二叉树进行层序遍历
设二叉树的根结点所在层数为1
- 层序遍历就是从所在二叉树的根结点出发
- 首先访问第一层的树根结点
- 然后从左到右访问第2层上的结点
- 接着是第三层的结点
- 以此类推,自上而下,自左至右逐层访问树的结点的过程就是层序遍历
5.2.2)🔨二叉树遍历的经典例题
🎯 第一题:完全二叉树的序列转化
- 📝 题目描述
某完全二叉树按层次输出(同一层从左到右)的序列为
ABCDEFGH
该完全二叉树的前序序列为( )A. ABDHECFG
B. ABCDEFGH
C. HDBEAFCG
D. HDEBFGCA
💡 深度解析
解题核心:完全二叉树的数组下标性质
完全二叉树最强大的性质在于它可以用数组完美存储。我们可以给层次序列中的每个节点打上编号(从 1 开始):
Step 1:建立索引映射
序列 A B C D E F G H 对应下标 1 2 3 4 5 6 7 8。
Step 2:利用公式找孩子
对于完全二叉树中任意节点 i i i:
- 左孩子索引 : 2 i 2i 2i
- 右孩子索引 : 2 i + 1 2i + 1 2i+1
具体推导如下:
- A (index 1) → \rightarrow → 左: 2 2 2 (B), 右: 3 3 3 ©
- B (index 2) → \rightarrow → 左: 4 4 4 (D), 右: 5 5 5 (E)
- C (index 3) → \rightarrow → 左: 6 6 6 (F), 右: 7 7 7 (G)
- D (index 4) → \rightarrow → 左: 8 8 8 (H), 右: 9 9 9 (越界,无右孩子)
- E, F, G, H → \rightarrow → 均为叶子节点
Step 3:构建逻辑树(Mermaid图解)
A
B
C
D
E
F
G
H
🎯 第二题:秒杀根节点(送分题)
- 📝 题目描述
二叉树的先序遍历和中序遍历如下:先序遍历
EFHIGJK,中序遍历HFIEJKG。则二叉树根结点为()A. E
B. F
C. G
D. H
💡 深度解析
解题核心:先序遍历的"排头兵"定律
这道题考察的是对遍历定义的最基本理解,属于"眼疾手快"的送分题。
-
先序遍历(Pre-order)定义 :
Root → Left → Right \text{Root} \rightarrow \text{Left} \rightarrow \text{Right} Root→Left→Right这行公式告诉我们一个铁律:先序序列的第一个元素,永远是整棵树的根节点。
-
解题步骤:
- 👀 看先序序列 :
E F H I G J K - 👉 锁定首位 :第一个字母是 E。
- ✅ 得出结论:整棵树的根节点就是 E。
- 👀 看先序序列 :
-
验算(确保万无一失) :
在中序序列
H F I E J K G中,我们找到E。E左边是HFI(左子树节点)E右边是JKG(右子树节点)- 逻辑完全通畅,答案无误。
✅ 正确答案:A
🎯 第三题:由中序与后序还原前序(经典难点)
- 📝 题目描述
设一棵二叉树的中序遍历序列:badce,后序遍历序列:bdeca,则二叉树前序遍历序列为____。
A. adbce
B. decab
C. debac
D. abcde
💡 深度解析
解题核心:后序定根,中序分左右
这是二叉树考题中的"重头戏",需要利用递归思想进行还原。
Step 1:确定全局根节点
- 后序序列 (Left → \rightarrow → Right → \rightarrow → Root):
b d e ca - 🎯 序列最后一个元素是 a ,所以 Root = a。
Step 2:第一轮切分(中序序列)
- 在中序序列 (Left → \rightarrow → Root → \rightarrow → Right)中找到
a:bad c e - 👈 左子树 :
b(只有一个节点,搞定) - 👉 右子树 :
d c e(这就需要进行下一轮分析)
Step 3:深入分析右子树
我们需要确定右子树 {d, c, e} 的内部结构:
- 找右子树的根 :看后序序列中对应这三个节点的部分 → \rightarrow →
d e c。 - 锁定 :后序
d ec的最后一个是 c 。所以,右子树的根是 c。 - 切分右子树 :回到中序序列的右边部分
d c e,以c为中心切分:c左边是d→ \rightarrow → c 的左孩子是 dc右边是e→ \rightarrow → c 的右孩子是 e
Step 4:构建完整的逻辑结构图
a
b
c
d
e
🤔六、二叉树的分文件编写
BinaryTree.h
c
#pragma once
#include <stdio.h>
#include <stdlib.h>
#include <assert.h>
#include <stdbool.h>
// 假设树中存储的数据是 int 类型
typedef int BTDataType;
typedef struct BinaryTreeNode {
BTDataType data;
struct BinaryTreeNode* left;
struct BinaryTreeNode* right;
} BTNode;
// --- 核心功能接口 ---
// 创建一个新节点
BTNode* BinaryTreeCreateNode(BTDataType x);
// 通过前序遍历的数组构建二叉树 (假设 '#' 或特定值代表空)
// 注意:这里为了通用性,我们在.c中定义 -1 代表空节点
BTNode* BinaryTreeCreate(BTDataType* a, int n, int* pi);
// 二叉树的销毁
void BinaryTreeDestory(BTNode** root);
// 二叉树的节点个数
int BinaryTreeSize(BTNode* root);
// 二叉树的叶子节点个数
int BinaryTreeLeafSize(BTNode* root);
// 二叉树第k层节点个数
int BinaryTreeLevelKSize(BTNode* root, int k);
// 二叉树查找值为x的节点
BTNode* BinaryTreeFind(BTNode* root, BTDataType x);
// 二叉树的前序遍历
void PreOrder(BTNode* root);
// 二叉树的中序遍历
void InOrder(BTNode* root);
// 二叉树的后序遍历
void PostOrder(BTNode* root);
// 二叉树的层序遍历
void LevelOrder(BTNode* root);
// 判断二叉树是否为完全二叉树
int BinaryTreeComplete(BTNode* root);
// 获取二叉树的高度/深度
int BinaryTreeHeight(BTNode* root);
BinaryTree.c
这里实现了所有逻辑,并包含了一个简易队列用于辅助层序遍历
简易队列的创建(用于 LevelOrder 和 BinaryTreeComplete)
涉及一些队列数据结构 的知识👇
1)结构体的创建
注意队列里面存储的是树节点的指针
c
typedef BTNode* QDataType; // 队列里存的是树节点的指针
c
typedef struct QueueNode {
QDataType data;
struct QueueNode* next;
} QNode;
typedef struct Queue {
QNode* head;
QNode* tail;
} Queue;
2)初始化队列
c
void QueueInit(Queue* pq) {
assert(pq);
pq->head = pq->tail = NULL;
}
3)入队
c
void QueuePush(Queue* pq, QDataType x) {
assert(pq);
QNode* newnode = (QNode*)malloc(sizeof(QNode));
if (newnode == NULL) {
perror("malloc fail");
exit(-1);
}
newnode->data = x;
newnode->next = NULL;
if (pq->tail == NULL) {
pq->head = pq->tail = newnode;
} else {
pq->tail->next = newnode;
pq->tail = newnode;
}
}
4)出队
c
void QueuePop(Queue* pq) {
assert(pq);
assert(pq->head); // 确保队列不为空
QNode* next = pq->head->next;
free(pq->head);
pq->head = next;
if (pq->head == NULL) {
pq->tail = NULL;
}
}
5)获取队头元素
c
QDataType QueueFront(Queue* pq) {
assert(pq);
assert(pq->head);
return pq->head->data;
}
6)判断队列是否为空
c
bool QueueEmpty(Queue* pq) {
assert(pq);
return pq->head == NULL;
}
7)销毁队列
c
void QueueDestroy(Queue* pq) {
assert(pq);
QNode* cur = pq->head;
while (cur) {
QNode* next = cur->next;
free(cur);
cur = next;
}
pq->head = pq->tail = NULL;
}
🌠创建新节点
c
BTNode* BinaryTreeCreateNode(BTDataType x) {
BTNode* node = (BTNode*)malloc(sizeof(BTNode));
if (node == NULL) {
perror("malloc fail");
exit(-1);
}
node->data = x;
node->left = NULL;
node->right = NULL;
return node;
}
内存分配
BTNode* node = (BTNode*)malloc(sizeof(BTNode));
🌠通过前序数组构建二叉树
c
//约定:数组中-1代表NULL
BTNode* BinaryTreeCreate(BTDataType* a, int n, int* pi) {
if (*pi >= n) return NULL;
if (a[*pi] == -1) {
(*pi)++;
return NULL;
}
BTNode* root = BinaryTreeCreateNode(a[*pi]);
(*pi)++;
root->left = BinaryTreeCreate(a, n, pi);
root->right = BinaryTreeCreate(a, n, pi);
return root;
}
int* pi:指向当前数组索引的指针 (必须用指针 ,保证递归中索引同步递增)return NULL;:返回NULL,告诉父节点这个子节点为空BTNode* root = BinaryTreeCreateNode(a[*pi]);:用当前数组元素a[*pi]的值创建节点
递归创建左右子树
root->left = BinaryTreeCreate(a, n, pi);
root->right = BinaryTreeCreate(a, n, pi);
🌠二叉树销毁 (后序遍历销毁)
c
void BinaryTreeDestory(BTNode** root) {
assert(root);
if (*root == NULL) return;
BinaryTreeDestory(&((*root)->left));
BinaryTreeDestory(&((*root)->right));
free(*root);
*root = NULL; // 这是一个好习惯,防止野指针
}
二级指针
BTNode** root :传入根节点的地址(指针的地址) ,遍历整棵树并释放所有节点的内存,最后将根指针设置为 NULL
🌠节点个数
c
int BinaryTreeSize(BTNode* root) {
return root == NULL ? 0 : BinaryTreeSize(root->left) + BinaryTreeSize(root->right) + 1;
}
int和BTDataType的区别
int表示真实数据个数BTDataType表示二叉树内部的数据
🌠叶子节点个数(递归实现)
c
int BinaryTreeLeafSize(BTNode* root) {
if (root == NULL) return 0;
if (root->left == NULL && root->right == NULL) return 1;
return BinaryTreeLeafSize(root->left) + BinaryTreeLeafSize(root->right);
}
Pass
Yes
No
Yes
No
Start: BinaryTreeLevelKSize
Assert: k >= 1
root == NULL ?
k == 1 ?
Return 0
Return 1
Return Sum
int left = BinaryTreeLevelKSize(root->left, k - 1)
int right = BinaryTreeLevelKSize(root->right, k - 1)
Result = left + right
🌠第k层节点个数
c
int BinaryTreeLevelKSize(BTNode* root, int k) {
assert(k >= 1);
if (root == NULL) return 0;
if (k == 1) return 1;
return BinaryTreeLevelKSize(root->left, k - 1) + BinaryTreeLevelKSize(root->right, k - 1);
}
递归运算
return BinaryTreeLevelKSize(root->left, k - 1) + BinaryTreeLevelKSize(root->right, k - 1);
时间复杂度:O(k)
🌠查找值为x的节点
c
BTNode* BinaryTreeFind(BTNode* root, BTDataType x) {
if (root == NULL) return NULL;
if (root->data == x) return root;
BTNode* ret1 = BinaryTreeFind(root->left, x);
if (ret1) return ret1; // 左边找到了就返回,不用找右边了
BTNode* ret2 = BinaryTreeFind(root->right, x);
if (ret2) return ret2;
return NULL;
}
🌠前序遍历: 根 -> 左 -> 右
c
void PreOrder(BTNode* root) {
if (root == NULL) {
printf("NULL ");
return;
}
printf("%d ", root->data);
PreOrder(root->left);
PreOrder(root->right);
}
🌠中序遍历: 左 -> 根 -> 右
c
void InOrder(BTNode* root) {
if (root == NULL) {
printf("NULL ");
return;
}
InOrder(root->left);
printf("%d ", root->data);
InOrder(root->right);
}
🌠后序遍历: 左 -> 右 -> 根
c
void PostOrder(BTNode* root) {
if (root == NULL) {
printf("NULL ");
return;
}
PostOrder(root->left);
PostOrder(root->right);
printf("%d ", root->data);
}
🌠层序遍历 (使用队列)
c
void LevelOrder(BTNode* root) {
if (root == NULL) return;
Queue q;
QueueInit(&q);
QueuePush(&q, root);
while (!QueueEmpty(&q)) {
BTNode* front = QueueFront(&q);
QueuePop(&q);
printf("%d ", front->data);
if (front->left) QueuePush(&q, front->left);
if (front->right) QueuePush(&q, front->right);
}
printf("\n");
QueueDestroy(&q);
}
🌠判断是否为完全二叉树
核心逻辑: 层序遍历,一旦遇到空节点,后续队列中不能再出现非空节点
c
int BinaryTreeComplete(BTNode* root) {
if (root == NULL) return 1;
Queue q;
QueueInit(&q);
QueuePush(&q, root);
while (!QueueEmpty(&q)) {
BTNode* front = QueueFront(&q);
QueuePop(&q);
if (front == NULL) {
break; // 遇到了空节点,跳出这一层循环去检查剩余队列
}
// 不管孩子是不是空,都入队(为了检测是否断层)
QueuePush(&q, front->left);
QueuePush(&q, front->right);
}
// 检查队列剩余元素,如果有非空,则不是完全二叉树
while (!QueueEmpty(&q)) {
BTNode* front = QueueFront(&q);
QueuePop(&q);
if (front != NULL) {
QueueDestroy(&q);
return 0; // 失败
}
}
QueueDestroy(&q);
return 1; // 成功
}
🌠二叉树的高度
c
int BinaryTreeHeight(BTNode* root) {
if (root == NULL) return 0;
int leftHeight = BinaryTreeHeight(root->left);
int rightHeight = BinaryTreeHeight(root->right);
return (leftHeight > rightHeight ? leftHeight : rightHeight) + 1;
}
🖊完整代码
c
#include "BinaryTree.h"
// ==========================================
// 辅助模块:简易队列 (Queue) 实现
// 用于 LevelOrder 和 BinaryTreeComplete
// ==========================================
typedef BTNode* QDataType; // 队列里存的是树节点的指针
typedef struct QueueNode {
QDataType data;
struct QueueNode* next;
} QNode;
typedef struct Queue {
QNode* head;
QNode* tail;
} Queue;
// 初始化队列
void QueueInit(Queue* pq) {
assert(pq);
pq->head = pq->tail = NULL;
}
// 入队
void QueuePush(Queue* pq, QDataType x) {
assert(pq);
QNode* newnode = (QNode*)malloc(sizeof(QNode));
if (newnode == NULL) {
perror("malloc fail");
exit(-1);
}
newnode->data = x;
newnode->next = NULL;
if (pq->tail == NULL) {
pq->head = pq->tail = newnode;
} else {
pq->tail->next = newnode;
pq->tail = newnode;
}
}
// 出队
void QueuePop(Queue* pq) {
assert(pq);
assert(pq->head); // 确保队列不为空
QNode* next = pq->head->next;
free(pq->head);
pq->head = next;
if (pq->head == NULL) {
pq->tail = NULL;
}
}
// 获取队头元素
QDataType QueueFront(Queue* pq) {
assert(pq);
assert(pq->head);
return pq->head->data;
}
// 判断队列是否为空
bool QueueEmpty(Queue* pq) {
assert(pq);
return pq->head == NULL;
}
// 销毁队列
void QueueDestroy(Queue* pq) {
assert(pq);
QNode* cur = pq->head;
while (cur) {
QNode* next = cur->next;
free(cur);
cur = next;
}
pq->head = pq->tail = NULL;
}
// ==========================================
// 二叉树核心功能实现
// ==========================================
// 创建新节点
BTNode* BinaryTreeCreateNode(BTDataType x) {
BTNode* node = (BTNode*)malloc(sizeof(BTNode));
if (node == NULL) {
perror("malloc fail");
exit(-1);
}
node->data = x;
node->left = NULL;
node->right = NULL;
return node;
}
// 通过前序数组构建二叉树
// 约定:数组中 -1 代表 NULL
BTNode* BinaryTreeCreate(BTDataType* a, int n, int* pi) {
if (*pi >= n) return NULL;
// 这里的 -1 是我们约定的空节点值
if (a[*pi] == -1) {
(*pi)++;
return NULL;
}
BTNode* root = BinaryTreeCreateNode(a[*pi]);
(*pi)++;
root->left = BinaryTreeCreate(a, n, pi);
root->right = BinaryTreeCreate(a, n, pi);
return root;
}
// 二叉树销毁 (后序遍历销毁)
void BinaryTreeDestory(BTNode** root) {
assert(root);
if (*root == NULL) return;
BinaryTreeDestory(&((*root)->left));
BinaryTreeDestory(&((*root)->right));
free(*root);
*root = NULL; // 这是一个好习惯,防止野指针
}
// 节点个数
int BinaryTreeSize(BTNode* root) {
return root == NULL ? 0 : BinaryTreeSize(root->left) + BinaryTreeSize(root->right) + 1;
}
// 叶子节点个数
int BinaryTreeLeafSize(BTNode* root) {
if (root == NULL) return 0;
if (root->left == NULL && root->right == NULL) return 1;
return BinaryTreeLeafSize(root->left) + BinaryTreeLeafSize(root->right);
}
// 第k层节点个数
int BinaryTreeLevelKSize(BTNode* root, int k) {
assert(k >= 1);
if (root == NULL) return 0;
if (k == 1) return 1;
// 子问题的思路:求左树的k-1层 + 右树的k-1层
return BinaryTreeLevelKSize(root->left, k - 1)
+ BinaryTreeLevelKSize(root->right, k - 1);
}
// 查找值为x的节点
BTNode* BinaryTreeFind(BTNode* root, BTDataType x) {
if (root == NULL) return NULL;
if (root->data == x) return root;
BTNode* ret1 = BinaryTreeFind(root->left, x);
if (ret1) return ret1; // 左边找到了就返回,不用找右边了
BTNode* ret2 = BinaryTreeFind(root->right, x);
if (ret2) return ret2;
return NULL;
}
// 前序遍历: 根 -> 左 -> 右
void PreOrder(BTNode* root) {
if (root == NULL) {
printf("NULL ");
return;
}
printf("%d ", root->data);
PreOrder(root->left);
PreOrder(root->right);
}
// 中序遍历: 左 -> 根 -> 右
void InOrder(BTNode* root) {
if (root == NULL) {
printf("NULL ");
return;
}
InOrder(root->left);
printf("%d ", root->data);
InOrder(root->right);
}
// 后序遍历: 左 -> 右 -> 根
void PostOrder(BTNode* root) {
if (root == NULL) {
printf("NULL ");
return;
}
PostOrder(root->left);
PostOrder(root->right);
printf("%d ", root->data);
}
// 层序遍历 (使用队列)
void LevelOrder(BTNode* root) {
if (root == NULL) return;
Queue q;
QueueInit(&q);
QueuePush(&q, root);
while (!QueueEmpty(&q)) {
BTNode* front = QueueFront(&q);
QueuePop(&q);
printf("%d ", front->data);
if (front->left) QueuePush(&q, front->left);
if (front->right) QueuePush(&q, front->right);
}
printf("\n");
QueueDestroy(&q);
}
// 判断是否为完全二叉树
// 核心逻辑:层序遍历,一旦遇到空节点,后续队列中不能再出现非空节点
int BinaryTreeComplete(BTNode* root) {
if (root == NULL) return 1;
Queue q;
QueueInit(&q);
QueuePush(&q, root);
while (!QueueEmpty(&q)) {
BTNode* front = QueueFront(&q);
QueuePop(&q);
if (front == NULL) {
break; // 遇到了空节点,跳出这一层循环去检查剩余队列
}
// 不管孩子是不是空,都入队(为了检测是否断层)
QueuePush(&q, front->left);
QueuePush(&q, front->right);
}
// 检查队列剩余元素,如果有非空,则不是完全二叉树
while (!QueueEmpty(&q)) {
BTNode* front = QueueFront(&q);
QueuePop(&q);
if (front != NULL) {
QueueDestroy(&q);
return 0; // 失败
}
}
QueueDestroy(&q);
return 1; // 成功
}
// 二叉树的高度
int BinaryTreeHeight(BTNode* root) {
if (root == NULL) return 0;
int leftHeight = BinaryTreeHeight(root->left);
int rightHeight = BinaryTreeHeight(root->right);
return (leftHeight > rightHeight ? leftHeight : rightHeight) + 1;
}
test.c
c
#include "BinaryTree.h"
// 测试手动构建和基本遍历
void TestBinaryTree1() {
printf("====== Test 1: 手动构建树 ======\n");
// 手动构建一个简单的树:
// 1
// / \
// 2 3
// / \
// 4 5
BTNode* n1 = BinaryTreeCreateNode(1);
BTNode* n2 = BinaryTreeCreateNode(2);
BTNode* n3 = BinaryTreeCreateNode(3);
BTNode* n4 = BinaryTreeCreateNode(4);
BTNode* n5 = BinaryTreeCreateNode(5);
n1->left = n2;
n1->right = n3;
n2->left = n4;
n2->right = n5;
printf("前序遍历: ");
PreOrder(n1); // 1 2 4 NULL NULL 5 NULL NULL 3 NULL NULL
printf("\n");
printf("中序遍历: ");
InOrder(n1);
printf("\n");
printf("后序遍历: ");
PostOrder(n1);
printf("\n");
printf("层序遍历: ");
LevelOrder(n1); // 1 2 3 4 5
printf("节点个数: %d\n", BinaryTreeSize(n1)); // 5
printf("叶子节点: %d\n", BinaryTreeLeafSize(n1)); // 3 (4, 5, 3)
printf("高度: %d\n", BinaryTreeHeight(n1)); // 3
printf("第3层节点数: %d\n", BinaryTreeLevelKSize(n1, 3)); // 2 (4, 5)
BTNode* find = BinaryTreeFind(n1, 5);
printf("查找值为5的节点: %p, 值: %d\n", find, find ? find->data : -1);
printf("是否完全二叉树? %s\n", BinaryTreeComplete(n1) ? "YES" : "NO"); // YES
BinaryTreeDestory(&n1);
printf("销毁后根节点指针: %p\n", n1);
}
// 测试数组构建和完全二叉树判断
void TestBinaryTree2() {
printf("\n====== Test 2: 数组构建与完全二叉树判断 ======\n");
// 构建一棵树: 1 2 3 # # # 4 5 # # 6 # #
// 注意:这里的 # 用 -1 表示
// 1
// / \
// 2 4
// / / \
// 3 5 6
int arr[] = { 1, 2, 3, -1, -1, -1, 4, 5, -1, -1, 6, -1, -1 };
int i = 0;
BTNode* root = BinaryTreeCreate(arr, sizeof(arr) / sizeof(arr[0]), &i);
printf("前序遍历检查: ");
PreOrder(root);
printf("\n");
printf("层序遍历: ");
LevelOrder(root);
// 这个结构不是完全二叉树,因为2号节点的右孩子为空,但4号节点存在
printf("是否完全二叉树? %s\n", BinaryTreeComplete(root) ? "YES" : "NO"); // Should be NO
printf("树的高度: %d\n", BinaryTreeHeight(root)); // 3
BinaryTreeDestory(&root);
}
int main() {
TestBinaryTree1();
TestBinaryTree2();
return 0;
}
🤔关于二叉树的在线OJ题
💻结尾--- 核心连接协议
警告: 🌠🌠正在接入底层技术矩阵。如果你已成功破解学习中的逻辑断层,请执行以下指令序列以同步数据:🌠🌠
【📡】 建立深度链接: 关注本终端。在赛博丛林中深耕底层架构,从原始代码到进阶协议,同步见证每一次系统升级。
【⚡】 能量过载分发: 执行点赞操作。通过高带宽分发,让优质模组在信息流中高亮显示,赋予知识跨维度的传播力。
【💾】 离线缓存核心: 将本页加入收藏。把这些高频实战逻辑存入你的离线存储器,在遭遇系统崩溃或需要离线检索时,实现瞬时读取。
【💬】 协议加密解密: 在评论区留下你的散列码。分享你曾遭遇的代码冲突或系统漏洞(那些年踩过的坑),通过交互式编译共同绕过技术陷阱。
【🛰️】 信号频率投票: 通过投票发射你的选择。你的每一次点击都在重新定义矩阵的进化方向,决定下一个被全量拆解的技术节点。



