目录
[一、裴蜀定理:不定方程有解的 "判定准则"](#一、裴蜀定理:不定方程有解的 “判定准则”)
[1.1 定理的核心表述](#1.1 定理的核心表述)
[1.2 定理的重要推论](#1.2 定理的重要推论)
[1.3 定理的关键注意点](#1.3 定理的关键注意点)
[1.4 实战例题:洛谷 P4549 【模板】裴蜀定理](#1.4 实战例题:洛谷 P4549 【模板】裴蜀定理)
[C++ 实现](#C++ 实现)
[二、扩展欧几里得算法:不定方程的 "求解工具"](#二、扩展欧几里得算法:不定方程的 “求解工具”)
[2.1 算法的核心推导](#2.1 算法的核心推导)
[步骤 1:欧几里得算法的递归性质](#步骤 1:欧几里得算法的递归性质)
[步骤 2:递归终止条件](#步骤 2:递归终止条件)
[步骤 3:递归过程的解推导](#步骤 3:递归过程的解推导)
[2.2 算法的 C++ 实现(递归版)](#2.2 算法的 C++ 实现(递归版))
[2.3 算法的非递归实现(可选)](#2.3 算法的非递归实现(可选))
[2.4 通解的推导](#2.4 通解的推导)
[2.5 方程 ax+by=c 的求解流程](#2.5 方程 ax+by=c 的求解流程)
[示例:求解 6x+8y=4](#示例:求解 6x+8y=4)
[三、实战例题 3:洛谷 P5656 【模板】二元一次不定方程 (exgcd)](#三、实战例题 3:洛谷 P5656 【模板】二元一次不定方程 (exgcd))
[3.1 题目分析](#3.1 题目分析)
[3.2 解题思路](#3.2 解题思路)
[3.3 C++ 实现](#3.3 C++ 实现)
[4.1 数值溢出问题](#4.1 数值溢出问题)
[4.2 特解缩放错误](#4.2 特解缩放错误)
[4.3 最小正整数解计算错误](#4.3 最小正整数解计算错误)
[4.4 通解增量搞反](#4.4 通解增量搞反)
[4.5 忽略方程转化时的符号](#4.5 忽略方程转化时的符号)
前言
在算法竞赛的数论版图中,裴蜀定理和扩展欧几里得算法是解决 "线性不定方程""同余方程""乘法逆元" 等核心问题的底层支撑。它们如同数论中的 "万能钥匙",不仅能判定方程是否有解,还能精准求出解的具体形式,更是后续学习中国剩余定理、模运算优化等高级内容的基础。本文将从定理本质出发,层层拆解裴蜀定理的核心逻辑、扩展欧几里得算法的推导过程,手把手教你掌握从理论到实战的全流程,让你在不定方程和同余问题中轻松破局。下面就让我们正式开始吧!
一、裴蜀定理:不定方程有解的 "判定准则"
1.1 定理的核心表述
裴蜀定理(又称贝祖定理)是数论中关于线性不定方程的基础定理,其核心表述为:
对于任意整数 a、b,一定存在整数 x、y,使得 ax+by=gcd(a,b)。
其中 gcd(a,b) 表示 a 和 b 的最大公约数。这个定理看似简单,却揭示了线性不定方程有解的本质条件 ------ 方程 ax+by=c 有整数解的充要条件是 gcd(a,b)∣c(即 c 能被 a 和 b 的最大公约数整除)。
直观示例验证
- 取 a=6,b=8:gcd(6,8)=2,根据裴蜀定理,存在整数 x、y 使得 6x+8y=2。例如 x=−1,y=1(6×(−1)+8×1=2);
- 取 a=5,b=7:gcd(5,7)=1,存在整数 x=3,y=−2 使得 5×3+7×(−2)=1;
- 反例:方程 6x+8y=3 无解,因为 gcd(6,8)=2 不能整除 3。
1.2 定理的重要推论
裴蜀定理可以推广到多个整数的情况,其核心推论有两个,是解决复杂问题的关键:
- 二元推广 :对于整数 a、b 和任意整数 n,一定存在整数 x、y 使得 ax+by=gcd(a,b)×n。这意味着,线性不定方程 ax+by=c 有解的充要条件是 gcd(a,b)∣c;
- 多元推广:对于整数 a1,a2,...,ak,一定存在整数 x1,x2,...,xk 使得 a1x1+a2x2+...+akxk=gcd(a1,a2,...,ak)×n(n 为整数)。
推论的实际意义
以二元推广为例,当我们遇到方程 ax+by=c 时,无需盲目求解,先计算 gcd(a,b) 并判断是否能整除 c:若不能整除,直接判定无解;若能整除,再进一步求解,可大幅节省时间。
1.3 定理的关键注意点
- 正负性不影响 :a、b 的正负对定理结果无影响。若 ax+by=d 有解,则 a(−x)+(−b)y=−d 也有解,只需在解的基础上调整符号即可;
- 解的存在性≠唯一性:裴蜀定理仅保证解的存在性,若方程有解,则一定有无穷多组解(后续扩展欧几里得算法会给出通解形式);
- gcd 的核心地位:无论 a、b 多大,方程 ax+by=c 的有解性完全由 gcd(a,b) 和 c 的整除关系决定。
1.4 实战例题:洛谷 P4549 【模板】裴蜀定理
题目链接:https://www.luogu.com.cn/problem/P4549

题目分析
题目描述 :给定包含 n 个元素的整数序列 A,求另一个整数序列 X,使得
且 S 尽可能小。
输入描述:第一行一个整数 n,第二行 n 个整数表示序列 A。
输出描述:一行一个整数,表示满足条件的最小 S。
示例输入:2 4059 -1782 → 输出:99。
核心思路:根据裴蜀定理的多元推广,∑i=1nAi×Xi 的所有可能结果都是 gcd(A1,A2,...,An) 的倍数。因此,最小的正结果就是所有元素的最大公约数的绝对值(因为序列中可能有负数,gcd 本身非负)。
C++ 实现
cpp
#include <iostream>
#include <cmath>
using namespace std;
// 欧几里得算法求gcd
int gcd(int a, int b) {
return b == 0 ? a : gcd(b, a % b);
}
int main() {
ios::sync_with_stdio(false);
cin.tie(nullptr);
int n;
cin >> n;
int ret;
cin >> ret;
ret = abs(ret); // 取绝对值,避免负数影响gcd计算
for (int i = 2; i <= n; ++i) {
int x;
cin >> x;
ret = gcd(ret, abs(x)); // 依次计算所有元素的gcd
if (ret == 1) break; // gcd最小为1,可提前退出
}
cout << ret << endl;
return 0;
}
代码分析
- 时间复杂度 :O(nlogM),其中 M 是序列中元素的最大值。每次调用欧几里得算法的时间复杂度为 O(logM),共调用 n−1 次;
- 关键优化:由于 gcd 的性质,当计算过程中 ret=1 时,后续元素的 gcd 不可能更小,可直接退出循环;
- 边界处理:序列元素可能为负,需取绝对值后再计算 gcd(gcd 的结果与输入正负无关)。
二、扩展欧几里得算法:不定方程的 "求解工具"
裴蜀定理告诉我们方程 ax+by=c 何时有解,但没有给出具体的求解方法。而扩展欧几里得算法(Extended Euclidean Algorithm)正是裴蜀定理的 "延伸"------ 它不仅能计算 a 和 b 的最大公约数,还能同时求出方程 ax+by=gcd(a,b) 的一组特解,进而推导出所有整数解。
2.1 算法的核心推导
扩展欧几里得算法的推导基于欧几里得算法(辗转相除法)的递归过程,我们通过逐步拆解来理解其逻辑:
步骤 1:欧几里得算法的递归性质
欧几里得算法的核心是 gcd(a,b)=gcd(b,a mod b),当 b=0 时,gcd(a,0)=a。
步骤 2:递归终止条件
当 b=0 时,方程 ax+by=gcd(a,b) 简化为 ax=a,此时一组特解为 x=1,y=0(因为 a×1+0×0=a=gcd(a,0))。
步骤 3:递归过程的解推导
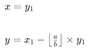
假设我们已经求出了递归下一层的解:对于 gcd(b,amodb),存在整数 x1、y1 使得:

由于
,代入上式得:
整理后:
对比目标方程
,可得当前层的解为:

通过这种方式,我们可以从递归终止条件反向推导,逐步求出原方程的一组特解。
2.2 算法的 C++ 实现(递归版)
cpp
#include <iostream>
using namespace std;
typedef long long LL;
// 扩展欧几里得算法:返回gcd(a,b),并通过引用返回方程ax+by=gcd(a,b)的一组特解(x,y)
LL exgcd(LL a, LL b, LL& x, LL& y) {
if (b == 0) {
// 递归终止条件:b=0时,x=1,y=0
x = 1;
y = 0;
return a;
}
// 递归计算下一层
LL x1, y1, d;
d = exgcd(b, a % b, x1, y1);
// 推导当前层的解
x = y1;
y = x1 - (a / b) * y1;
return d;
}
int main() {
ios::sync_with_stdio(false);
cin.tie(nullptr);
LL a = 6, b = 8;
LL x, y;
LL d = exgcd(a, b, x, y);
cout << "gcd(" << a << ", " << b << ") = " << d << endl;
cout << "方程 " << a << "x + " << b << "y = " << d << " 的一组特解:x = " << x << ", y = " << y << endl;
// 输出:gcd(6,8)=2;特解x=-1, y=1(6*(-1)+8*1=2)
return 0;
}
2.3 算法的非递归实现(可选)
递归实现简洁直观,但对于极端数据(如 a、b 达到 1e18)可能导致栈溢出。以下是非递归版本的实现,逻辑与递归版一致:
python
#include <iostream>
using namespace std;
typedef long long LL;
LL exgcd_non_recursive(LL a, LL b, LL& x, LL& y) {
LL x0 = 1, y0 = 0; // 初始状态:b=0时的解
LL x1 = 0, y1 = 1; // 初始状态:a=b, b=a%b时的解
x = 0, y = 1;
LL d = a;
while (b != 0) {
LL q = a / b; // 商
LL r = a % b; // 余数
// 更新a和b
a = b;
b = r;
// 更新解
LL tx = x;
LL ty = y;
x = x0 - q * x1;
y = y0 - q * y1;
x0 = x1;
y0 = y1;
x1 = tx;
y1 = ty;
}
x = x0;
y = y0;
return a;
}
int main() {
ios::sync_with_stdio(false);
cin.tie(nullptr);
LL a = 6, b = 8;
LL x, y;
LL d = exgcd_non_recursive(a, b, x, y);
cout << "gcd(" << a << ", " << b << ") = " << d << endl;
cout << "特解:x = " << x << ", y = " << y << endl;
return 0;
}
2.4 通解的推导
扩展欧几里得算法求出的是方程 ax+by=gcd(a,b) 的一组特解 (x0,y0),但方程的解有无穷多个。我们可以通过特解推导出所有整数解(通解):
设 d=gcd(a,b),令 a′=da,b′=db(此时 a′ 和 b′ 互质)。对于方程 ax+by=d,其通解为:x=x0+k⋅b′(k∈Z)y=y0−k⋅a′(k∈Z)
通解推导逻辑
由于 a′x0+b′y0=1(两边除以 d 得到),代入通解:

由于
,因此 ab′−ba′=0,原式等于 ax0+by0=d,满足方程。
2.5 方程 ax+by=c 的求解流程
当方程 ax+by=c 有解(即 d∣c,d=gcd(a,b))时,求解流程如下:
- 用扩展欧几里得算法求出方程 ax+by=d 的一组特解 (x0,y0);
- 将特解缩放 k=dc 倍,得到原方程的一组特解:x1=x0⋅k,y1=y0⋅k;
- 原方程的通解为:x=x1+k⋅db(k∈Z)y=y1−k⋅da(k∈Z)
示例:求解 6x+8y=4
- 计算 d=gcd(6,8)=2,c=4,k=4/2=2;
- 求出 6x+8y=2 的特解 (x0=−1,y0=1);
- 原方程特解:x1=−1×2=−2,y1=1×2=2(6×(−2)+8×2=−12+16=4,正确);
- 通解:x=−2+4k,y=2−3k(k 为整数)。
三、实战例题 3:洛谷 P5656 【模板】二元一次不定方程 (exgcd)
题目链接:https://www.luogu.com.cn/problem/P5656

3.1 题目分析
题目描述:给定不定方程 ax+by=c,判断是否有整数解。若无解,输出 −1;若有解但无正整数解(x>0,y>0),输出 x 和 y 的最小正整数值;若有正整数解,输出正整数解的个数、x 的最小值、y 的最小值、x 的最大值、y 的最大值。
输入描述:第一行一个整数 T,每组数据一行三个正整数 a、b、c。
输出描述:按题目要求输出对应结果。
示例输入:7 2 11 100 → 输出:4 6 2 39 8。
核心难点:
- 从通解中筛选出正整数解,并计算解的个数和极值;
- 处理 x 或 y 为 0 的情况(0 不是正整数);
- 避免数值溢出,需使用长整型。
3.2 解题思路
- 用扩展欧几里得算法判断方程是否有解(c%d==0),无解则输出 −1;
- 有解则求出特解,并推导通解;
- 计算 x 的最小正整数值,进而求出对应的 y,判断是否为正整数:
- 若 y>0,则存在正整数解,计算解的个数和其他极值;
- 若 y≤0,则无正整数解,输出 x 和 y 的最小正整数值。
关键公式推导
设通解为
:
- x 的最小正整数值:
,若结果为 0 则取 k1;
- 代入 xmin 求出对应的 y,若 y>0,则 y max=y;
- y 的最小正整数值:
,若结果为 0 则取 k2;
- 代入 y min 求出对应的 x,即为 x max;
- 正整数解的个数:
。
3.3 C++ 实现
cpp
#include <iostream>
using namespace std;
typedef long long LL;
// 扩展欧几里得算法
LL exgcd(LL a, LL b, LL& x, LL& y) {
if (b == 0) {
x = 1, y = 0;
return a;
}
LL x1, y1, d;
d = exgcd(b, a % b, x1, y1);
x = y1, y = x1 - a / b * y1;
return d;
}
int main() {
ios::sync_with_stdio(false);
cin.tie(nullptr);
int T;
scanf("%d", &T);
while (T--) {
LL a, b, c;
scanf("%lld%lld%lld", &a, &b, &c);
LL x, y, d;
d = exgcd(a, b, x, y);
if (c % d != 0) {
// 无解
printf("-1\n");
continue;
}
// 求出原方程的一组特解
LL k = c / d;
x = x * k, y = y * k;
LL k1 = b / d; // x的增量
LL k2 = a / d; // y的减量
// 计算x的最小正整数值
x = (x % k1 + k1) % k1;
if (x == 0) x = k1;
// 对应的y值
y = (c - a * x) / b;
LL minx, miny, maxx, maxy;
if (y > 0) {
// 存在正整数解
minx = x;
maxy = y;
// 计算y的最小正整数值
y = (y % k2 + k2) % k2;
if (y == 0) y = k2;
miny = y;
// 计算x的最大正整数值
maxx = (c - b * y) / a;
// 计算解的个数
LL cnt = (maxx - minx) / k1 + 1;
printf("%lld %lld %lld %lld %lld\n", cnt, minx, miny, maxx, maxy);
} else {
// 无正整数解,输出x和y的最小正整数值
minx = x;
y = (y % k2 + k2) % k2;
if (y == 0) y = k2;
miny = y;
printf("%lld %lld\n", minx, miny);
}
}
return 0;
}
四、常见误区与避坑指南
4.1 数值溢出问题
- 误区:使用 int 类型存储大数值(如 a、b 达到 1e9),导致乘法或加法溢出;
- 避坑:所有变量统一使用 long long 类型,尤其是在计算 a×x、b×y 时,避免溢出。
4.2 特解缩放错误
- 误区:求解 ax+by=c 时,忘记将特解缩放 k=c/d 倍;
- 反例:方程 6x+8y=4,若直接使用 6x+8y=2 的特解 (−1,1),会得到 6×(−1)+8×1=2=4;
- 避坑:牢记 "特解缩放" 步骤,确保解满足目标方程。
4.3 最小正整数解计算错误
- 误区:将特解直接取模后未处理负数情况;
- 反例:特解 x=−1,b/d=4,直接取模得 −1%4=−1,并非最小正整数解;
- 避坑 :使用公式 (x%k+k)%k(k=b/d),确保结果为正整数。
4.4 通解增量搞反
- 误区:混淆通解中 x 和 y 的增量 / 减量;
- 避坑:牢记通解公式:x 的增量为 b/d,y 的减量为 a/d,二者符号相反。
4.5 忽略方程转化时的符号
- 误区:将同余方程 ax ≡ b(mod m) 错误转化为 ax+my=b(正确应为 ax−my=b);
- 避坑:严格按照同余定义进行转化,确保方程等价性。
总结
如果在学习过程中遇到具体题目无法解决,或想了解乘法逆元、中国剩余定理等延伸知识点,可以随时留言交流。后续将持续更新数论进阶内容,敬请关注!

,若结果为 0 则取 k1;
,若结果为 0 则取 k2;
。