一、复习线性代数
1.矩阵的定义
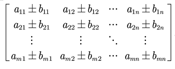
由m×n个元素组成的m行n列的数表(如下图)称为一个m×n阶矩阵,记为

当m=n时,矩阵A为n阶方阵(或n阶矩阵)。
2.同型矩阵
两个矩阵行数和列数都相同。
3.转置矩阵

是A的转置矩阵,记为
4.单位矩阵

5.向量的定义
由n个数构成的数表[a,a2,...,an]或[a,a2,...,an]T称为n维行向量或n维列向量。显然,向量是矩阵的特例,行向量的行数为1,列向量的列数为1。
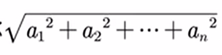
6.向量的模
设向量 α = [ a1 , a2 , a3 ]T,称
为向量α的模,记为lal。
7.矩阵的加减法


则A+-B=
8.数与矩阵的乘法


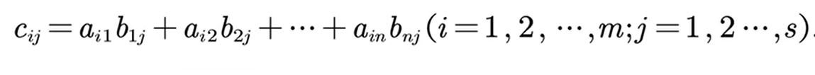
9.矩阵与矩阵的乘法

AB=
,其中
必须满足左边矩阵的列数与右边矩阵的行数相等。
10.矩阵的逆
设A是n阶矩阵,若存在n阶矩阵B,使得BA=E或AB=E,则称矩阵A可逆,矩阵B称为矩阵A的逆矩阵,记为B=A^(-1)。
11.特征值和特征向量
设n阶方阵A满足以下条件:存在数入(入可为复数)和非零n维列向量c,使得Ax=入x成立,则称数入是方阵A的特征值,称x为方阵A对应于特征值入的特征向量。注意,特征向量并不唯一,kx(k!=0)也是方阵A对应于特征值入的特征向量。
二、matlab中的向量
上一节我们知道,向量可以视为矩阵的一个特例:若一个矩阵的行数为1,则它可以视为一个行向量;若列数为1,则可以视为列向量;如果行数和列数同时为1,那么它就是一个标量(又称为常量、常数)。
学过其他编程语言的同学应该听过数组这个概念,在程序设计中,为了处理方便,我们需要把具有相同类型的若干元素按有序的形式组织起来,这些有序排列的同类型数据元素的集合就被称为数组。
在MATLAB的官方文档中,有时候也会出现数组这个概念。在MATLAB里,向量可以被称为一维数组,而我们常见到的由多行多列构成的矩阵可以被称为二维数组,这两个维度由矩阵的行和列表示。在MATLAB中,一维数组可以视为二维数组的一个特例。另外,在MATLAB中,我们还可以定义多维数组,多维数组是指具有两个以上维度的数组,绝大多数情况下我们不会用到,有兴趣的同学可以查看官方帮助文档。
以后在不引起误会的情况下,我们将MATLAB中的矩阵和数组视为同一个概念。
1.向量的创建方法
①直接输入法
cpp
a=[1,3,5]
b=[1 3 5]
c=[1
3
5]
d=[1;3;5]

②冒号法:最常用
我们可以利用命令:A:step:B来创建一个行向量。
其中,A是起始值,Istep是每次递增或递减的步长,B是终止值(不一定刚好停在这里)。
若step等于1,则可以直接简写成A:B。






大家根据上面的例子应该很容易发现规律。下面再给大家补充两个知识点:
第一:上表中,有三种情况都会导致MATLAB返回空的向量:空的1xOdouble行向量。
怎么理解这个返回结果呢?这个"1×0"指的是向量的维度,你可以理解为1行0列,即这个向量是空的,不存在元素。在MATLAB中,我们可以直接使用命令[]创建空的向量。

第二:MATLAB返回空的向量时,出现了一个英文单词:double。这里的double表示双精度浮点型,我在这门课中并没有特意去介绍数值的类型,原因是这一块的知识比较底层,涉及到数值在计算机中的存储方式。同时,和C、C++、JAVA等语言相比,MATLAB是偏应用的一门语言,其对数值类型的要求较弱。对数值类型感兴趣的同学可以先在b站学习C语言的公开课,然后再从MATLAB官网搜索数值类型的帮助文档进行学习。
③利用matlab函数创建
我们主要介绍两个函数:linspace和logspace,它们分别用来创建等差数列和等比数列。
首先介绍linspace函数,它有两种用法,区别在于是否给定第三个输入参数n,如果我们不指定n,则MATLlAB会默认n=100。这个函数使用的频率也很高,大家需要掌握。
●linspace(a,b):该命令用来创建一个行向量,向量中的第一个元素为a,最后一个元素为b,形成总数为100个元素的线性间隔的向量。
●linspace(a,b,n):该命令用来创建一个行向量,向量中的第一个元素为a ,最后一个元素为b ,形成总数为n个元素的线性间隔的向量。

初学者可能搞不懂linspace(a,b,n)和冒号法a:step:b生成向量的区别,我这里为大家总结:
(1)linspace不需要指定步长,MATLAB会根据你给定的元素个数n自动计算出来;而使用冒号法可以自己指定步长。
(2)linspace生成的向量的最后一个元素一定是b ,而使用冒号法A:step:B生成的向量的最后元素不一定是b。
(3)后续章节讲解循环语句时,冒号法使用的频率最高;而在绘制函数图形时,使用linspace得到的x轴的范围要比冒号法稍微准确一点。例如:我们要绘制sin(x)在区间[0,2π]上的图形,x的范围是0到2π,我们使用 linspace(0,2*pi)生成的向量的最后一个元素一定是2π;如果使用冒号法令x=0:0.1:2*pi,那么x向量的最后一个元素和2π有一个微小的差异,当然,如果我们将step取得更小,例如取成0.01,那么这个差异几乎可以忽略。
另一个函数是logspace函数它使用的频率不高,大家了解即可。它有两种常见的用法:
●logspace(a,b):创建一个行向量,其第一个元素为10°,最后一个元素为10°,形成总数为50个元素的等比数列向量。
●logspace(a,b,n):创建一个行向量,其第一个元素为10^a,最后一个元素为10^b,形成总数为n个元素的等比数列向量。
linspace 是 "Linear Space"(线性空间)的缩写。

2.向量元素的引用
对向量元素的引用(即提取向量指定位置的值)有两种情形,分别是提取向量中的单个元素和提取向量中的多个元素。在正式讲解之前,我们先来介绍索引(或下标)的概念。我们知道,向量分为行向量和列向量,它们在MATLAB中只有一个维度,因此我们可以利用向量中包含的元素个数来描述一个向量的大小。在MATLAB中,可以使用Iength 函数或numel函数来计算向量中包含的元素个数。

例如:a=[1,3,8,9,7];length(a)或numel(a)的返回结果是5,因为向量a中有五个元素。
假如我们有一个行向量a,里面包含了n个元素(n是大于等于1的常数),它们分别是a1,a2,,am,那么我们可以列一个表格:

从上表可以看出,索引就是指某一个元素在向量中对应的位置,也可以称为元素在向量中所处的下标,在MATLAB中,向量的索引是从1开始的。
举个具体的例子,假设向量a=[2481632641282565121024],那么a中有10个元素,因此a的最大索引是10。
(1)单个元素引用
我们提取向量a中单个元素的方法很简单,只需要利用a(ind)命令,小括号中的ind就是你要提取的对应元素的索引。(注意:创建向量用中括号,提取元素要用小括号哦!)
例如:a(1)的结果为2,因为a中第1个位置(索引或下标等于1)的元素是2;类似的,a(9)等于512,因为a中第9个位置的元素是512。
有些同学可能会好奇,如果我取索引为11,即输入a(11)会出现什么情况?
MATLAB会报错:"索引超出数组元素的数目(10)",即告诉我们,现在这个向量中元素的数目只有10个,即最大索引是10,而你取了索引11的元素,超出了取值范围。

如果a为空:

(2)多个元素引用
类似的,我们也可以利用向量的索引来同时提取多个位置的元素,这时候只需要将ind设
置成一个向量,ind中放入我们想要提取的元素的索引,然后使用a(ind)命令即可。
例如,我们令 ind=[13579],那么a(ind)的结果为[2832128512],即我们提取了向量a
中奇数位置的元素。熟悉向量冒号创建方法的同学应该能够看出,ind等于1:2:9,因此我们可
以直接将a(ind)写成a(1:2:9),这就表示提取a中奇数位置的元素;类似的,提取a中偶数位置
元素的命令是a(2:2:10),如果你不熟练的话,可以分成两步写,即先令ind=2:2:10,然后再使
用a(ind)的命令。当然,对于同一个位置的元素,我们也可以提取多次,例如:ind=[12233
3],那么a(ind)得到的结果应该是[244888],以后熟悉的话可以直接写成a([122333])。

技巧:使用end索引
有同学会想,假如我不知道向量a中有多少个元素,也不想使用length函数或者numel函
数来计算向量中元素的个数,那我能不能提取出a中奇数位置的元素呢?这时候就需要用到一
个特殊的关键字:end。它有很多种用法,在这里end可以用来替代向量的最后一个索引。

例如,我现在要访问a中第五个至最后一个元素,那么我们可以直接使用a(5:end),这里的end就表示了a的最后一个索引;另外,我们还可以对end进行计算,例如要访问a中第五个至倒数第三个元素,我们可以使用a(5:end-2),得到的结果为[3264128256]。这里有一个易错点,如果使用了end,不能将要取元素的索引赋值给ind。例如,还是要访问a中第五个至最后一个元素,如果你令ind=5:end,MATLAB就会报错。因此,我们只能在a后面的小括号中使用end来替代数组的最后一个索引。那我们回到上面的问题,在不知道a中有多少个元素的前提下,我们可以使用a(1:2:end)最后请大家思考:如何将一个向量倒序?例如原来的向量是[1 5 8 4],倒序后是[4 8 5 1]。

3.向量元素的修改和删除

如果右边为常数,则将指定位置的元素全部变成这个常数。
如果我们将等号右侧变成空向量[ ],则表示删除对应位置的元素。


三、matlab中的矩阵
(1)直接输入法
我们先来看直接输入法,直接输入法适用于矩阵中元素数量较少的情况。
输入矩阵时要以中括号"[]"作为标识符号,矩阵的所有元素必须都在中括号内。矩阵的同行元素之间用空格或逗号分隔,行与行之间用分号或回车键分隔。
例如:命令a=[123;456];可以在工作区创建出变量名为a的矩阵

(2)函数创建法
MATLAB提供了一些函数,这些函数可以用来生成某些特定的矩阵,我们这里介绍几组最常用到的函数。
第一组函数:zeros、ones 和 eye。
这三个函数分别用来创建全为0的矩阵、全为1的矩阵和单位矩阵
eye 这个名字是一个非常巧妙的双关语:它既描述了矩阵对角线元素排列像一只眼睛 ,又谐音了代表"恒等元素"的字母 I。
以zeros函数为例,其常见的用法有两种:
(1)zeros(n)可以创建一个n行n列全为0的矩阵;
(2)zeros(m,n)可以创建一个m行n列全为0的矩阵。



第二组函数:rand、randi和randn。
这三个函数分别用来创建均匀分布的随机数、均匀分布的随机整数和标准正态分布的随机数,以后会大量用到,请大家熟记。(数据的分布是概率论里面的知识点,没学过的同学可以搜索关键词自学)
i:int
n:normal
rand函数用来创建区间0和1内均匀分布的随机数,其最常用的方法有两种:
(1)rand(n)可以创建一个n行n列的随机数矩阵;

(2)rand(m,n)可以创建一个m行n列的随机数矩阵。

由rand函数创建的随机数矩阵的每个元素都随机取样自0和1之间的均匀分布。
randi函数用来创建均匀分布的随机整数,其最一般的用法为:randi([imin,imax],m,n),该命令可创建一个m行n列的随机数矩阵,随机数矩阵中的每个元素都是从区间[imin,imax]内随机抽取的整数。举个例子,假设我们要模拟投掷100次骰子,骰子有6个面,那么我们可以使用randi([1,6],1,100)得到一个长度为100的行向量,向量中的每个元素都是取自1,2,3,4,5,6。

如果m和n相同,即生成一个n行n列的方阵,那么可以直接写成randi([imin,imax],n)。

randn函数用来创建标准正态分布的随机数,其使用方法和rand函数类似:
(1)randn(n)可以创建一个n行n列的随机数矩阵;
(2)randn(m,n)可以创建一个m行n列的随机数矩阵。
由randn函数创建的随机数矩阵的每个元素都随机取样自标准正态分布。
标准正态分布:以0为平均数、以1为标准差的正态分布,记为N(0,1)。

第三组函数:diag 和 blkdiag。
diag函数可用来创建对角矩阵或者获取矩阵的对角元素
情况1:如果输入的第一个参数是向量,则表示创建对角矩阵。diag(v,k)将向量v的元素放置在第k条对角线上,其他位置元素为0。k=0表示主对角线,k>0位于主对角线上方,k<0位于主对角线下方。如果k=0,可以直接写成diag(v)。
diag 是英文单词 Diagonal(对角线)的缩写
blk:block 分块

情况2:如果输入的第一个参数是矩阵,则表示获取矩阵的对角元素。diag(A,k)返回A的第k条对角线上元素的构成的列向量。

blkdiag函数可用来创建分块对角矩阵。
分块对角矩阵是相对于常规的对角矩阵而言的,常规的对角矩阵沿对角线具有单个元素,而分块对角矩阵的对角线的元素是矩阵。我们可采用以下形式表示一个分块对角矩阵:



(3)导入本地文件中的数据
MATLAB可读取本地的文件,支持的常见格式如下:
>.txt、.dat或.csv(适用于带分隔符的文本文件)
>.xls、.xlsb、.xlsm、.xlsx、.xltm、.xltx或.ods(适用于电子表格文件)
由于这一块的内容比较丰富且可能涉及我们没学过的知识点,所以会放在后面的章节进行讲解。到时候我们会重点学习MATLAB菜单栏:"主页------导入数据"这个功能。
(4)矩阵元素的引用
上方给出了一个m行n列的矩阵,对于第i行第j列的元素,我们用aj表示。因此,我们可以使用矩阵元素所处的行(row)和列(column)来进行引用矩阵的某一个元素,方式为:a(row_ind,column_ind).这里的row_ind表示要引用的元素的行索引,column_ind表示列索引。如果row_ind和column_ind都是一个常数,则表示提取矩阵中的单个元素;如果row_ind或column_ind是包含有多个元素的向量,则表示同时提取多个位置的元素。与向量类似,end也可以用来替代最后一个索引,通常和冒号法一起使用。




前面我们学过,可以使用length函数和numel函数来计算向量中包含的元素个数。那么,怎样计算一个矩阵的大小呢?我们可以使用size函数,它有两种常见的用法:
(1)size(A)返回一个行向量,其元素是A的各维度的长度。若A是一个3X4的矩阵,则 size(A)返回向量[3 4];如果让[r,c]=size(A),那么r=3,c=4。

(2)size(A,dim)返回在维度dim上的长度。dim=1时表示行;dim=2时表示列。若A是一个3X4的矩阵,则size(A,1)返回3,size(A,2)返回4。


((length函数和numel函数也可以用在矩阵上。length函数会返回行和列的较大值:对上面的A矩阵,length(A)返回4;numel函数会返回矩阵中元素的总数,numel(A)返回12)

有时候我们需要取出矩阵的某一行或者某一列。以取出矩阵A的第一行为例,我们可以使用代码A(1,1:end),row_ind取1表示第一行,column_ind取1:end表示从1到最后一列的索引。这时候我们可以直接将其简写为:A(1,),逗号后面是列索引的位置,加一个冒号就表示取出每一列的元素。同理,要取第一列的所有元素,我们可以使用代码:A(:,1).