目录
摘要
本篇文章继续学习尚硅谷深度学习教程,学习内容是动量法和学习率衰减
1.Momentum
原始的梯度下降法直接使用当前梯度来更新参数:
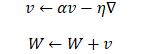
而Momentum(动量法)会保存历史梯度并给予一定的权重,使其也参与到参数更新中:

:历史(负)梯度的加权和
:历史梯度的权重
:当前梯度,即:学习率
动量法有时能够减缓优化过程中的震荡,加快优化的速度。因为其会累计历史梯度,也可以有效避免鞍点问题。


Momentum的代码实现如下:
python
class Momentum:
def __init__(self, lr=0.01, momentum=0.9):
self.lr = lr
self.momentum = momentum
self.v = None
def update(self, params, grads):
if self.v is None:
self.v = {}
for key, val in params.items():
self.v[key] = np.zeros_like(val)
for key in params.keys():
self.v[key] = self.momentum*self.v[key] - self.lr*grads[key]
params[key] += self.v[key]
2.学习率衰减
深度学习模型训练中调整最频繁的当属学习率,好的学习率可以使模型逐渐收敛并获得更好的精度。较大的学习率可以加快收敛速度,但可能在最优解附近震荡或不收敛;较小的学习率可以提高收敛的精度,但训练速度慢。学习率衰减是一种平衡策略,初期使用较大学习率快速接近最优解,后期逐渐减小学习率,使参数更稳定地收敛到最优解。
等间隔衰减
每隔固定的训练周期(epoch),学习率按一定的比例下降,也称为"步长衰减"。例如,使学习率每隔20 epoch衰减为之前的0.7:

指定间隔衰减
在指定的epoch,让学习率按照一定的系数衰减。例如,使学习率在epoch达到[10,50,200]时衰减为之前的0.7:

指数衰减
学习率按照指数函数进行衰减。例如,使学习率以0.99为底数,epoch为指数衰减:
