前言
在编程世界里,组合数学是一门绕不开的 "内功心法"。无论是算法竞赛中的排列组合问题、动态规划中的状态计数,还是实际开发中的概率统计场景,都离不开组合数学的支撑。而组合数学的核心,莫过于对计数原理、排列组合、二项式定理这些基础概念的深刻理解,以及灵活运用各种方法求解组合数。
本文将从最基础的概念入手,由浅入深地拆解组合数学的核心知识点,再聚焦 "求组合数" 这一高频考点,详细讲解 4 种不同场景下的最优解法。无论你是算法新手,还是准备冲击竞赛的进阶选手,相信都能从本文中有所收获。下面就让我们正式开始吧!
一、组合数学核心概念拆解
1.1 计数原理:加法与乘法,组合数学的基石
计数原理是组合数学的入门知识,看似简单,却是所有复杂计数问题的基础。它包含两个核心:加法原理和乘法原理。
加法原理:分类相加,择一即可
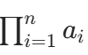
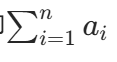
定义 :如果完成一个事件有 n 类独立的方法,第 i 类方法有 a_i 种具体实现,那么完成这个事件的总方法数就是所有类别方法数的和,即
(也就是 a₁+a₂+...+aₙ)。
通俗理解:就像去餐厅吃饭,主食有米饭、面条、馒头 3 种选择,任选一种就能解决主食问题,总选择数就是 3 种,这就是加法原理的直观体现 ------"分类选择,选一个就够"。
乘法原理:分步相乘,缺一不可
定义 :如果完成一个事件需要 n 个连续的步骤,第 i 个步骤有 a_i 种实现方式,那么完成这个事件的总方法数就是所有步骤方法数的乘积,即
(也就是 a₁×a₂×...×aₙ)。
通俗理解:还是吃饭的例子,要是不仅选主食,还要选菜。主食有 3 种,菜有 4 种,那么一顿饭的搭配方案就是 3×4=12 种 ------ 因为先选主食(3 种选择),再选菜(4 种选择),两个步骤必须都完成,才能构成一顿完整的饭,这就是 "分步执行,缺一不可"。
经典示例验证
题目:书架上有不同的数学书 3 本,不同的物理书 4 本,不同的化学书 5 本。
- 问题 1:从中任取一本,有多少种不同的取法?解答:取一本书属于 "分类选择",数学书、物理书、化学书是三类独立的选择,用加法原理:3+4+5=12 种。
- 问题 2:从中每种各取一本,有多少种不同的取法?解答:每种各取一本需要分三步 ------ 先取数学书(3 种),再取物理书(4 种),最后取化学书(5 种),用乘法原理:3×4×5=60 种。
这两个问题清晰地展示了加法原理和乘法原理的区别:加法原理对应 "分类",乘法原理对应 "分步"。
1.2 排列组合:有序与无序,核心计数模型
排列组合是组合数学的核心,主要研究 "从 n 个不同元素中选取 m 个元素" 的计数问题,关键区别在于 "选取的元素是否有序"。
排列数:有序选取,顺序不同算不同
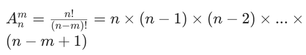
定义 :从 n 个不同的元素中,任取 m 个元素(m≤n)排成一列,所有可能的取法个数称为排列数,记作
(也常用 P (n,m) 表示)。
计算公式:

(注:n! 表示 n 的阶乘,即 n×(n-1)×...×1;0! 规定为 1)
理解 :排列强调 "顺序"。比如从 1、2、3、4 四个数中选 3 个排成一列,123 和 321 是不同的排列,因为顺序不同。计算时,第一个位置有 n 种选择,第二个位置有 n-1 种(选了一个元素后剩下的),以此类推,直到选够 m 个位置,所以是 m 个连续整数的乘积。
示例 :计算
按照公式:
=(4−3)! / 4!=4×3×2×1 / 1=4×3×2=24种,和直观枚举的结果一致。
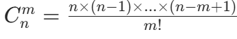
组合数:无序选取,顺序不同算相同
定义 :从 n 个不同的元素中,任取 m 个元素(m≤n)组成一组(不考虑顺序),所有可能的取法个数称为组合数,记作
(也记作
)。
计算公式:

理解:组合不考虑顺序,只关注 "选了哪些元素"。比如从 1、2、3、4 中选 3 个元素,{1,2,3} 和 {3,2,1} 是同一个组合。因此,组合数是排列数除以 m!(m 个元素的全排列数,即消除顺序带来的重复计数)。
核心性质 :
这个性质非常实用,比如计算
时,直接用
计算更简单(因为 100-98=2),大大减少计算量。
特殊情况说明
:从 n 个元素中选 0 个元素,只有 "不选" 这一种方式。- 0! = 1:阶乘的特殊规定,是公式推导的基础。
- 当 m > n 时,
:从 n 个元素中选比 n 多的元素,显然不可能,所以方法数为 0。
1.3 二项式定理与杨辉三角:组合数的另一种存在形式
二项式定理揭示了 (a+b)ⁿ展开式的系数与组合数的关系,而杨辉三角则是二项式系数的直观表现形式。
二项式定理
公式:

其中,
就是二项式展开式中第 k+1 项的系数(称为二项式系数)。
示例:展开 (a+b)³
根据定理:

代入组合数计算:= 1×a³×1 + 3×a²×b + 3×a×b² + 1×1×b³= a³ + 3a²b + 3ab² + b³
杨辉三角:二项式系数的可视化
杨辉三角是一个由数字组成的三角形,它的第 i 行(从 0 开始计数)恰好是 (a+b)ⁱ展开式的二项式系数。
杨辉三角的结构:
- 第 0 行:1
- 第 1 行:1 1
- 第 2 行:1 2 1
- 第 3 行:1 3 3 1
- 第 4 行:1 4 6 4 1
- ...
核心规律:
- 每行的首尾元素都是 1。
- 中间的每个元素等于它上方两个元素的和,即
。这个规律是后续用杨辉三角求组合数的理论基础。
杨辉三角的实用价值在于 "打表"------ 可以提前预处理出一定范围内的所有二项式系数(即组合数),后续查询时直接取用,效率极高。
二、求组合数的 4 种方法:场景适配 + C++ 实现
组合数的计算是算法题中的高频考点,但不同题目的数据范围差异很大,因此需要根据 n、m 的大小、查询次数等条件选择合适的方法。以下是 4 种最常用的求组合数方法,涵盖了从简单到复杂的各类场景。
方法一:循环直接计算(单次查询,n≤1e6)
适用场景
- 单次查询组合数
(p 为质数且 p > n)。 - 多次查询,但 m 的值很小(比如 m≤1e3)。
核心思路
直接利用组合数的计算公式:
由于计算结果需要取模(组合数通常很大),而除法取模不能直接计算,因此需要用乘法逆元 来替代除法。根据费马小定理,当 p 是质数时,a 的逆元为
(因为 a^(p-1) ≡ 1 mod p,所以 a 的逆元是 a^(p-2))。
具体步骤:
- 计算分子:n×(n-1)×...×(n-m+1) mod p(共 m 项相乘)。
- 计算分母:m! mod p。
- 计算分母的乘法逆元(用快速幂实现)。
- 组合数结果 = 分子 × 逆元 mod p。
C++ 代码实现
cpp
#include <iostream>
using namespace std;
typedef long long LL;
// 快速幂:计算 a^b mod p
LL qpow(LL a, LL b, LL p) {
LL ret = 1;
while (b) {
if (b & 1) ret = ret * a % p; // 若b为奇数,乘上当前a
a = a * a % p; // a平方
b >>= 1; // b右移一位(等价于b//2)
}
return ret;
}
// 计算 C(n, m) mod p,p为质数且p > n
LL C(int n, int m, int p) {
if (n < m) return 0; // 特殊情况:m > n时组合数为0
LL up = 1, down = 1;
// 计算分子:n*(n-1)*...*(n-m+1) mod p
for (LL i = n - m + 1; i <= n; ++i) {
up = up * i % p;
}
// 计算分母:m! mod p
for (LL i = 2; i <= m; ++i) {
down = down * i % p;
}
// 分母的逆元:down^(p-2) mod p
LL inv_down = qpow(down, p - 2, p);
// 组合数 = 分子 * 逆元 mod p
return up * inv_down % p;
}
int main() {
// 测试:计算 C(5, 2) mod 1e9+7
int n = 5, m = 2, p = 1e9 + 7;
cout << C(n, m, p) << endl; // 输出10
return 0;
}
时间复杂度
- 单次查询 :O (m),因为分子和分母各需要循环 m 次,快速幂的时间复杂度是 O (log p)(p 为质数,通常是 1e9+7,log2 (p)≈30,可忽略)。
优缺点
- 优点:实现简单,无需预处理,适合单次查询或 m 较小的场景。
- 缺点:当 m 较大(比如 m=1e6)时,循环次数过多,效率较低;不适合多次查询(每次查询都要重新计算)。
方法二:杨辉三角打表(多次查询,n≤2000)
适用场景
- 多次查询组合数
。 - n 的范围较小(n≤2000),查询次数 q 较大(比如 q≤1e6)。
核心思路
利用杨辉三角的递推公式:
(边界条件:
)。
提前预处理一个二维数组 f [n][m],其中**f [n][m]**表示
,然后每次查询时直接返回 f [n][m] 即可,查询时间复杂度为 O (1)。
关键说明
- 杨辉三角的递推本质是动态规划:f [i][j] 表示从 i 个元素中选 j 个的组合数,它可以由 "不选第 i 个元素(从 i-1 个中选 j 个)" 和 "选第 i 个元素(从 i-1 个中选 j-1 个)" 两种情况相加得到。
- 由于 n≤2000,二维数组的大小是 2001×2001(约 400 万),空间占用很小,预处理时间也仅为 O (n²)(2000²=4e6 次操作),完全可以接受。
C++ 代码实现
cpp
#include <iostream>
using namespace std;
typedef long long LL;
const int N = 2010; // n的最大值
LL f[N][N]; // f[n][m] = C(n, m) mod p
// 预处理杨辉三角,计算所有C(n, m) mod p
void get_comb(int max_n, int p) {
// 边界条件:C(n, 0) = 1
for (int i = 0; i <= max_n; ++i) {
f[i][0] = 1;
}
// 递推计算杨辉三角
for (int i = 1; i <= max_n; ++i) {
// 注意:j最大为i(C(i, j)中j≤i)
for (int j = 1; j <= i; ++j) {
f[i][j] = (f[i-1][j] + f[i-1][j-1]) % p;
}
}
}
int main() {
int max_n = 2000, p = 1e9 + 7;
get_comb(max_n, p); // 预处理
// 多次查询示例
int q;
cin >> q;
while (q--) {
int n, m;
cin >> n >> m;
// 注意:当m > n时,组合数为0
cout << (m > n ? 0 : f[n][m]) << endl;
}
return 0;
}
时间复杂度
- 预处理 :O (n²)(n≤2000 时,4e6 次操作,非常快)。
- 单次查询 :O (1)(直接查表)。
优缺点
- 优点:预处理后查询极快,适合多次查询、n 较小的场景。
- 缺点:n 的范围受限(n≤2000),当 n 较大(比如 n=1e6)时,二维数组会超内存(2000×2000=4e6 个元素,而 1e6×1e6=1e12 个元素,完全无法存储)。
方法三:阶乘 + 逆元表(多次查询,n≤1e6)
适用场景
- 多次查询组合数
(p 为质数且 p > n)。 - n 的范围较大(n≤1e6),查询次数 q 较多(q≤1e6)。
核心思路
利用组合数的阶乘公式:
要快速计算这个公式,需要提前预处理两个数组:
- 阶乘数组 f :f [i] = i! mod p(f [0]=1,f [i] = f [i-1]×i mod p)。
- 阶乘逆元数组 g :g [i] = (i!)⁻¹ mod p(即 i! 的乘法逆元)。
根据费马小定理,g [n] = f [n]^(p-2) mod p(因为 n! 的逆元是 (n!)^(p-2) mod p)。而逆元数组可以从后往前递推:g [i] = (i+1) × g [i+1] mod p(推导:(i!)⁻¹ = (i+1) × (i+1)!⁻¹,因为 (i+1)! = (i+1)×i!,两边取逆元可得 (i!)⁻¹ = (i+1) × (i+1)!⁻¹)。
具体步骤:
- 预处理阶乘数组 f [0...max_n]。
- 预处理阶乘逆元数组 g [0...max_n]。
- 每次查询时,若 m > n 则返回 0,否则返回f [n] × g [m] % p × g [n-m] % p。
C++ 代码实现
cpp
#include <iostream>
using namespace std;
typedef long long LL;
const int N = 1e6 + 10; // n的最大值
const int MOD = 1e9 + 7; // 质数,且MOD > N
LL f[N]; // f[i] = i! mod MOD
LL g[N]; // g[i] = (i!)^{-1} mod MOD
// 快速幂:计算a^b mod p
LL qpow(LL a, LL b, LL p) {
LL ret = 1;
while (b) {
if (b & 1) ret = ret * a % p;
a = a * a % p;
b >>= 1;
}
return ret;
}
// 预处理阶乘和阶乘逆元数组
void init(int max_n) {
// 预处理阶乘数组
f[0] = 1;
for (int i = 1; i <= max_n; ++i) {
f[i] = f[i-1] * i % MOD;
}
// 预处理阶乘逆元数组:先计算g[max_n],再递推
g[max_n] = qpow(f[max_n], MOD - 2, MOD);
for (int i = max_n - 1; i >= 0; --i) {
g[i] = (LL)(i + 1) * g[i + 1] % MOD;
}
}
// 计算C(n, m) mod MOD
LL C(int n, int m) {
if (n < m) return 0;
return f[n] * g[m] % MOD * g[n - m] % MOD;
}
int main() {
int max_n = 1e6;
init(max_n); // 预处理
// 多次查询示例
int q;
cin >> q;
while (q--) {
int n, m;
cin >> n >> m;
cout << C(n, m) << endl;
}
return 0;
}
时间复杂度
- 预处理 :O (n)(n≤1e6 时,1e6 次操作,很快)。
- 单次查询 :O (1)(三次乘法取模)。
优缺点
- 优点:预处理效率高,查询速度快,适合 n 较大、多次查询的场景(n≤1e6 完全没问题)。
- 缺点:仅适用于 p 为质数且 p > n 的情况(如果 p ≤ n,阶乘可能与 p 不互质,逆元不存在)。
方法四:卢卡斯定理(大数值 n,p≤1e5)
适用场景
- 多次查询组合数
。 - n 和 m 的数值极大(比如 n≤1e18),而 p 是质数且 p≤1e5(p 可能小于 n)。
核心思路
当 n 和 m 很大(超过 1e18)时,无法直接预处理阶乘数组,此时需要用卢卡斯定理(Lucas Theorem) 来分解问题。
卢卡斯定理的核心公式:

(其中 p 为质数)
通俗理解:将 n 和 m 分别表示为 p 进制数,然后对每一位分别计算组合数,最后将结果相乘取模。
具体步骤:
- 递归分解:将 n 和 m 分别除以 p,得到商 n'=n/p、m'=m/p,余数 r=n% p、s=m% p。
- 计算低位组合数 :C (r, s) mod p(r 和 s 都小于 p,可直接用方法一计算)。
- 递归计算高位组合数 :C (n', m') mod p。
- 结果为两者的乘积 mod p。
- 递归终止条件:当 m=0 时,返回 1(C (n, 0)=1)。
关键说明
- 卢卡斯定理的本质是**"分治"**,将大数值的组合数分解为小数值的组合数计算,而小数值的组合数可以用方法一(循环 + 逆元)快速求解。
- 由于 p≤1e5,每次递归计算 C (r, s) 的时间复杂度是 O (p),而递归深度是 O (log_p n)(因为每次 n 除以 p,直到 n=0),总体时间复杂度为 O (p + log_p n),效率很高。
C++ 代码实现
cpp
#include <iostream>
using namespace std;
typedef long long LL;
const int N = 1e5 + 10; // p的最大值
LL f[N]; // 阶乘数组,用于计算C(r, s)(r < p)
LL g[N]; // 阶乘逆元数组
// 快速幂:计算a^b mod p
LL qpow(LL a, LL b, LL p) {
LL ret = 1;
while (b) {
if (b & 1) ret = ret * a % p;
a = a * a % p;
b >>= 1;
}
return ret;
}
// 预处理阶乘和逆元数组(针对当前p)
void init(LL p) {
int max_fact = p - 1; // 因为r = n%p < p,所以阶乘只需要预处理到p-1
f[0] = 1;
for (int i = 1; i <= max_fact; ++i) {
f[i] = f[i-1] * i % p;
}
g[max_fact] = qpow(f[max_fact], p - 2, p);
for (int i = max_fact - 1; i >= 0; --i) {
g[i] = (LL)(i + 1) * g[i + 1] % p;
}
}
// 计算C(n, m) mod p,其中n < p,m < p
LL C(LL n, LL m, LL p) {
if (n < m) return 0;
return f[n] * g[m] % p * g[n - m] % p;
}
// 卢卡斯定理:计算C(n, m) mod p(p为质数)
LL lucas(LL n, LL m, LL p) {
if (m == 0) return 1; // 递归终止条件:C(n, 0) = 1
// 分解为低位C(n%p, m%p)和高位C(n/p, m/p)
return lucas(n / p, m / p, p) * C(n % p, m % p, p) % p;
}
int main() {
int T;
cin >> T;
while (T--) {
LL n, m, p;
cin >> n >> m >> p;
init(p); // 针对当前p预处理阶乘和逆元
cout << lucas(n, m, p) << endl;
}
return 0;
}
时间复杂度
- 预处理 :O (p)(p≤1e5,每次查询的预处理时间可接受)。
- 递归查询 :O (log_p n)(递归深度为 log_p n,每次递归计算 C (r, s) 的时间为 O (1),因为阶乘已预处理)。
优缺点
- 优点:解决了大数值 n 和 m 的组合数计算问题,适用范围极广(只要 p 是质数)。
- 缺点:实现相对复杂,需要理解递归分治的思想;当 p 较大时(比如 p=1e5),预处理时间略长,但总体仍在可接受范围内。
三、4 种方法的场景对比与选择建议
为了方便大家在实际题目中快速选择合适的方法,这里整理了 4 种方法的核心参数对比:
| 方法 | 适用场景 | 时间复杂度 | 空间复杂度 | 核心限制 |
|---|---|---|---|---|
| 循环直接计算 | 单次查询、m 较小 | O(m) | O(1) | p 为质数且 p > n |
| 杨辉三角打表 | 多次查询、n≤2000 | 预处理 O (n²),查询 O (1) | O(n²) | n≤2000(否则超内存) |
| 阶乘 + 逆元表 | 多次查询、n≤1e6 | 预处理 O (n),查询 O (1) | O(n) | p 为质数且 p > n |
| 卢卡斯定理 | 多次查询、n≤1e18 | 预处理 O (p),查询 O (log_p n) | O(p) | p 为质数(p 可小于 n) |
选择建议
- 如果是单次查询,且 m 较小(比如 m≤1e3),直接用「循环直接计算」。
- 如果是多次查询,且 n≤2000,用「杨辉三角打表」(查询速度最快)。
- 如果是多次查询,且 n≤1e6、p 是质数且 p > n,用「阶乘 + 逆元表」(预处理和查询都高效)。
- 如果 n 和 m 是大数值(比如 1e18),或者 p≤n(p 是质数),用「卢卡斯定理」。
总结
学习组合数学,关键在于理解 "有序与无序""分类与分步" 的区别,以及灵活运用乘法逆元、快速幂、递归分治等技巧。在实际做题时,一定要先分析题目的数据范围(n、m 的大小、查询次数、p 的性质),再选择合适的方法 ------ 没有最好的方法,只有最适合的方法。
希望本文能帮助你打通组合数学的 "任督二脉",在后续的算法学习和竞赛中披荆斩棘!如果有任何疑问或建议,欢迎在评论区留言交流~

。这个规律是后续用杨辉三角求组合数的理论基础。