无线通信链路作为无线通信系统的核心组成部分,承担着信号从发射端到接收端的传输与转换任务。相较于有线信道,无线信道具有开放性、时变性、多径效应显著等特点,其传播环境复杂多变,易受干扰、衰减、噪声等因素影响,直接制约通信系统的传输速率、稳定性与覆盖范围。因此,无线信道下的通信链路设计需基于信道特性精准突破技术瓶颈,通过多维度优化实现性能最大化。本文将从无线信道特性、链路设计核心技术、关键挑战及优化策略四个维度,系统分析无线信道下的通信链路设计技术。
一、无线信道核心特性及对链路设计的影响
无线信道的物理特性是链路设计的根本依据,其传播过程中存在的直射、反射、折射、散射、衍射等现象,共同决定了信道的传输质量。了解这些特性是实现高效链路设计的前提。
(一)基本传播特性
无线信道中,电波传播主要分为视距(LOS)传播和非视距(NLOS)传播两类。视距传播是电波直接到达接收端的理想路径,信号强度稳定、延时最短,但受地理环境限制,易被建筑物、地形等阻挡;非视距传播则通过反射、折射等间接路径传输,会产生多径效应,导致信号干涉、失真,同时伴随能量衰减。此外,低层大气折射率的垂直梯度变化会引发电波折射,使波束弯曲,影响传播距离与覆盖范围,这种现象在超高频(UHF)、甚高频(VHF)波段尤为突出。
(二)衰落特性
衰落是无线信道的核心特征,直接影响链路稳定性,分为大尺度衰落和小尺度衰落。大尺度衰落由发射端与接收端之间的距离增加、障碍物遮挡导致,表现为信号强度随距离的缓慢衰减,可通过链路预算提前预判;小尺度衰落则由多径效应引起,信号幅度、相位在短距离或短时间内剧烈波动,易造成符号差错,需通过抗衰落技术抵消影响。
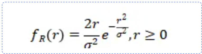
小尺度衰落中,瑞利衰落是NLOS场景下最典型的类型,其信号包络服从瑞利分布,可通过以下公式推导:

其中,
为多径信号分量的均方根幅度,r为合成信号包络。推导依据:多径信号的同相分量X和正交分量 Y均服从均值为0、方差为
的高斯分布,且相互独立。根据随机变量变换原理,合成信号包络
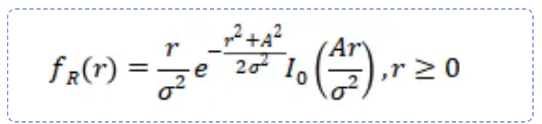
的概率密度函数(PDF)可通过二维高斯分布积分推导得出。当存在视距分量时,衰落特性转为莱斯衰落,其PDF公式为:

式中,A为视距分量的幅度,
为第一类零阶修正贝塞尔函数。RFSOC可通过内置的信号处理单元实时估算
等参数,动态调整调制编码策略以对抗衰落影响。
(三)时变与弥散特性
绝大多数无线信道具有时变特性,信道参数随时间动态变化,尤其在移动终端场景中,多普勒频移会导致信号频率偏移,进一步加剧信号失真。同时,信道的时间弥散和频率弥散特性会引发符号间干扰(ISI)和载波间干扰(ICI),限制系统传输速率,对链路中的调制编码、均衡技术提出严格要求。
二、无线通信链路设计核心技术
无线通信链路设计涵盖发射端、传输路径、接收端全流程,核心技术围绕信号优化、阻抗匹配、能量控制、抗干扰能力提升展开,形成多环节协同的技术体系。
(一)射频前端设计技术
射频前端是链路物理层核心,承担信号滤波、放大、混频等功能,其性能直接决定系统灵敏度、输出功率与抗干扰能力,设计需平衡线性度、噪声系数与效率三大指标。而RFSOC(射频系统级芯片)的出现为射频前端设计提供了集成化解决方案,通过将低噪声放大器、功率放大器、混频器、模数转换器(ADC)及数字信号处理单元集成于单芯片,大幅降低了分立器件间的干扰与功耗,同时提升了链路适配灵活性,在卫星通信、5G等场景中应用广泛。
-
低噪声放大器(LNA)设计:位于接收链路最前端,噪声系数(NF)直接影响系统灵敏度。设计中需采用共轭匹配网络实现源阻抗与LNA输入阻抗(通常为50Ω)的匹配,确保反射系数S11<-10dB;通过PTAT电流源提供稳定偏置,保障宽温度范围内增益稳定,同时并联TVS二极管强化ESD保护,提升设备可靠性。例如2.4GHz ISM频段采用Avago MGA-635P8芯片(NF=0.8dB,增益18dB),可使系统噪声温度降低60%。
-
功率放大器(PA)设计:决定发射链路的输出功率与效率,尤其在电池供电设备中,效率优化直接影响续航。通过预失真技术优化线性度,可将邻道功率比(ACPR)从-30dBc改善至-45dBc,满足3GPP标准;采用负载牵引技术确定最佳负载阻抗,结合热管理设计(如QFN封装+铜基板),可使功率附加效率(PAE)达45%,同时将结温控制在安全范围,提升可靠性。RFSOC通过集成数字预失真模块与PA驱动单元,实现了功率控制的实时自适应调节,例如昂瑞微的射频SoC产品将卫星通信PA与基带处理集成,在保障PAE的同时,使芯片尺寸较分立方案缩小40%,适配手持卫星终端的小型化需求。
-
滤波器设计:用于抑制带外干扰,常用声表面波(SAW)滤波器和巴伦滤波器。设计需兼顾插入损耗、带外抑制与群延迟特性,例如GPS L1频段采用Murata SAW滤波器(插入损耗1.5dB,带外抑制40dB@±20MHz),可有效屏蔽LTE频段干扰;通过温度补偿设计,使滤波器中心频率在宽温范围内偏移<0.5%,避免信号失真。
(二)天线与匹配网络设计技术
天线是链路与自由空间的接口,匹配网络则实现射频前端与天线的无损能量传输,二者协同决定信号辐射效率与覆盖范围。
-
阻抗匹配技术:天线输入阻抗多为复数,需通过匹配网络转换为50Ω实数阻抗。L型匹配适用于Q值较低场景,通过串联电感与并联电容组合实现阻抗变换;π型匹配则适用于高精度需求,如GPS天线设计中,通过两级π型网络可将阻抗从30+j20Ω变换至50Ω,回波损耗优于-20dB。针对多频段场景,可采用多节匹配网络或可重构匹配技术,实现2.4-6GHz频段内VSWR<2、插入损耗<0.5dB的宽带覆盖。
-
天线效率优化:天线效率由辐射效率与匹配效率决定,通过接地设计、材料选择与近场耦合抑制实现优化。采用多层PCB完整接地层,可使辐射效率从75%提升至88%;选用低损耗基材(如Rogers 4350B,损耗角正切0.0037),较FR4材料效率提高12%;在天线周围设置隔离槽,可将人体手握导致的效率下降从20%降至5%。
(三)调制编码与抗衰落技术
调制编码技术决定链路传输效率与抗干扰能力,抗衰落技术则针对性解决多径效应、信号衰减等问题,二者是保障链路可靠性的核心。
-
高效调制编码技术:正交频分复用(OFDM)技术将信道划分为多个正交子载波,可有效抵抗多径衰减与符号间干扰,是5G、Wi-Fi等系统的核心调制技术;结合前向纠错(FEC)编码,如LDPC、Turbo编码,可在低信噪比场景下降低符号差错率,提升链路容错能力。此外,自适应调制编码(AMC)根据信道质量动态调整调制阶数与编码速率,实现传输效率与可靠性的平衡。
-
多天线与波束成形技术:多输入多输出(MIMO)技术通过多天线阵列同时传输多个数据流,可在不增加带宽的情况下提升信道容量,同时利用空间分集抵消多径效应;波束成形技术则通过调整天线阵列相位,将信号能量聚焦于目标方向,减少干扰、增强接收信号强度,尤其适用于毫米波频段。RFSOC在该技术中发挥核心作用,其集成的数字波束合成单元可替代传统FPGA方案,实现低成本、低功耗的波束调控,振芯科技的数字多波束合成SOC芯片,已在卫星通信、测控场景中落地应用,能高效完成T/R链路的数字信号处理与波束合成,兼顾大带宽传输与集成化需求。
(四)链路预算计算技术
链路预算通过量化全链路增益与损耗,确定系统最大传输距离与可靠性,是链路设计的量化依据。首先明确链路预算通用公式,再结合具体场景完成计算,同时说明RFSOC对参数优化的作用。
2.1 链路预算核心公式推导
接收端有用信号功率
的核心计算公式为:

各参数定义及单位(统一为dBm/dB):
发射端输出功率,由功率放大器(PA)决定,RFSOC集成的PA驱动单元可将其动态调节至5-25dBm;
:发射/接收天线增益,常规全向天线增益为2-5dBi,波束成形场景下可提升至10-20dBi;
:发射/接收端电缆及连接器损耗,常规0.5-2dB,RFSOC集成化设计可省去外置电缆,将该损耗降至0.1dB以下;
:路径损耗,核心为自由空间路径损耗(FSPL),叠加多径、遮挡损耗;
:其他损耗,含极化失配、雨衰(毫米波频段)等,取值1-3dB。
自由空间路径损耗(FSPL)公式推导:基于坡印廷矢量原理,球面波传播时功率密度随距离平方衰减,结合天线有效面积公式
为信号波长),推导得出:

其中,d为收发距离(单位m),f为信号频率(单位Hz)
为光速。当
以km为单位
以GHz为单位时,公式简化为:

2.2 具体场景链路计算案例
以2.4GHz Wi-Fi终端(集成RFSOC芯片)为例,参数设定如下:

步骤1:计算FSPL(假设无遮挡,仅考虑自由空间损耗)。当收发距离d=100m时:

步骤2:代入链路预算公式计算接收功率:

步骤3:计算链路余量(link margin):链路余量=
说明仅考虑自由空间损耗时无法通信,需叠加遮挡损耗修正(如1面混凝土墙损耗15dB,修正后
,余量进一步降低)。
步骤4:RFSOC优化方案。通过RFSOC内置的动态功率控制模块将Ptx提升至25dBm,同时开启波束成形将GTX提升至8dBi,修正后
虽扔低于灵敏度,但可结合RFSOC的LDPC编码模块(编码增益约5dBm),将等效接收灵敏度提升至-83dBm,此时链路余量=-121.45-(-83)=-38.45dB,需进一步缩短距离或减少遮挡。
步骤5:距离反推。当链路余量≥0dB(保障通信可靠性),忽略遮挡损耗,求解最大距离

代入FSPL公式反推:


符合2.4GHz Wi-Fi实际覆盖范围。
三、无线信道链路设计的关键挑战
3.1 突破技术瓶颈
受无线信道开放性与复杂性影响,链路设计面临多维度挑战,需针对性突破技术瓶颈。
干扰与多径效应叠加:同频设备、工业干扰源等会产生带内干扰,叠加多径效应导致信号失真严重,尤其在高密度设备场景(如智能城市、物联网),干扰问题更为突出。
3.2 功耗与性能平衡
功耗与性能平衡:物联网、便携设备多依赖电池供电,高输出功率虽能提升覆盖范围,但会加剧功耗,缩短续航时间,如何在保障链路性能的同时优化功耗成为核心难题。
3.3 宽频段与兼容性需求
极端环境适应性:高温、高湿、强电磁干扰等极端环境会影响设备稳定性,导致链路衰减加剧、硬件故障,需通过防护设计提升环境适应性。
3.4 数据安全性风险
数据安全性风险:无线信道的开放性使数据易被窃听、篡改,尤其在工业控制、医疗监测等场景,数据安全直接关乎系统可靠运行,需强化链路层安全设计。
四、链路设计优化策略与发展趋势
针对上述挑战,需结合技术创新与架构优化,构建自适应、高效、可靠的链路设计方案,同时顺应通信技术演进趋势布局未来方向。
(一)针对性优化策略
-
抗干扰与多径抑制优化:采用跳频技术、动态频谱管理避开高干扰频段,结合OFDM与MIMO技术协同抵抗多径效应;通过网络隔离技术划分敏感数据传输路径,减少干扰影响。
-
低功耗设计优化:选用BLE、LoRa、NB-IoT等低功耗协议,结合动态功率控制与休眠唤醒策略,根据传输距离与数据需求调整发射功率,延长电池续航;采用模块化设计与边缘计算结合,减少数据回程功耗。
-
宽频段与兼容性优化:采用可重构射频前端、多节宽带匹配网络,实现多频段自适应切换;设计多模功能模块,兼容不同通信协议,满足复杂场景下的设备互联需求。RFSOC的可重构特性的是实现这一优化的关键,其内置的射频收发机可通过软件配置适配2.4/5/6GHz及毫米波等多频段,同时兼容卫星通信、5G、物联网等多种协议。例如千寻位置自研的北斗射频基带一体化SOC芯片BM3111,集成了北斗三号短报文功能与高精度定位模块,通过单芯片实现多体制信号处理,在无网环境下仍能保障95%以上的收发成功率,且尺寸与功耗较传统分立方案大幅优化。
-
环境适应性优化:采用防水防尘防护壳体,通过自动温度控制机制(如降频、休眠)降低过热影响;选用耐极端环境的元器件,确保链路在-40℃至+85℃范围内稳定运行。
-
安全防护优化:采用AES、RSA加密算法保障数据传输机密性,导入双向身份验证机制防止未授权访问;实时监控网络活动,检测异常行为,提升链路安全防护能力。
(二)未来发展趋势
-
集成化与小型化:射频前端模块(FEM)集成PA、LNA、滤波器等功能,减少PCB面积40%以上,支撑便携设备与物联网终端的小型化需求。RFSOC作为集成化的终极形态之一,正推动链路设计从"模块集成"向"芯片集成"跨越,其将射频、基带、信号处理甚至电源管理单元一体化整合,使终端设备的硬件复杂度显著降低。如昂瑞微的射频SoC产品已导入智能汽车、智慧物流场景,依托"射频前端+SoC"的协同优势,在接收灵敏度等关键指标上形成竞争力,同时降低了终端厂商的集成成本。
-
人工智能辅助设计:通过机器学习优化匹配网络、链路预算与调制编码参数,缩短设计周期,提升链路自适应能力,例如通过算法将天线带宽从8%扩展至12%。
-
新材料与新架构应用:液晶聚合物(LCP)等低损耗基材在毫米波频段的应用,可降低30%损耗,支撑5G毫米波大规模部署;分布式网状网络架构可提升覆盖灵活性,适应复杂地形与高密度设备场景。
-
空天地一体化链路融合:结合卫星通信、地面移动通信,构建空天地一体化链路,突破地理限制,实现全域覆盖,对链路的抗干扰、低延迟、自适应切换能力提出更高要求。RFSOC是适配该场景的核心器件,其高集成度与多协议兼容能力可实现星地链路的无缝协同,例如在手机直连卫星场景中,RFSOC可同时处理地面5G信号与低轨卫星信号,通过内置算法动态切换传输链路;在星间链路中,RFSOC的低功耗与高算力特性,能支撑卫星载荷的小型化与长续航,助力高低轨混合星座网络的构建。
五、结语
无线信道下的通信链路设计始终围绕"性能、功耗、集成度"三大核心目标迭代,RFSOC凭借其一体化集成、软件可重构、多场景适配的优势,正成为破解链路设计瓶颈的关键载体。从射频前端的协同优化到波束成形的高效实现,从物联网终端的小型化需求到空天地一体化的全域覆盖,RFSOC持续重构链路设计的技术体系。未来,随着新材料与AI算法的深度融合,RFSOC将在抗干扰能力、能效比与多体制融合能力上进一步突破,为无线通信链路的智能化、轻量化发展提供核心支撑,推动5G-A、卫星互联网等新一代通信技术的规模化落地。
成都荣鑫科技原创内容,欢迎技术交流及合作,盗者必追究
