给你一个二叉树的根节点 root , 检查它是否轴对称。
示例 1:

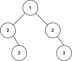
输入:root = [1,2,2,3,4,4,3]
输出:true
示例 2:

输入:root = [1,2,2,null,3,null,3]
输出:false
提示:
- 树中节点数目在范围
[1, 1000]内 -100 <= Node.val <= 100
解题思路
判断二叉树是否轴对称的核心是判断左右子树是否镜像对称,满足以下条件:
- 节点值相等:左右两个对应节点的值必须相同;
- 子树镜像:左节点的左子树与右节点的右子树镜像,左节点的右子树与右节点的左子树镜像。
递归思路
- 用辅助函数
_is_mirror比较两个子树:- 边界:两个节点都为空则对称;一个为空、一个不为空则不对称;
- 递归:值相等时,继续比较左的左与右的右、左的右与右的左。
Python代码
python
from typing import Optional, List, Deque
from collections import deque
# 二叉树节点定义
class TreeNode:
def __init__(self, val=0, left=None, right=None):
self.val = val
self.left = left
self.right = right
class Solution:
def isSymmetric(self, root: Optional[TreeNode]) -> bool:
# 空树直接对称
if not root:
return True
# 递归判断左右子树是否镜像对称
return self._is_mirror(root.left, root.right)
def _is_mirror(self, left: Optional[TreeNode], right: Optional[TreeNode]) -> bool:
"""辅助函数:判断两个子树是否镜像对称"""
# 两个节点都为空 → 对称
if not left and not right:
return True
# 一个为空、一个不为空 → 不对称
if not left or not right:
return False
# 节点值相等,且左的左与右的右镜像、左的右与右的左镜像 → 对称
return (left.val == right.val) and \
self._is_mirror(left.left, right.right) and \
self._is_mirror(left.right, right.left)
# ---------------------- 测试辅助函数 ----------------------
def build_tree(nums: List[Optional[int]]) -> Optional[TreeNode]:
"""
层序遍历构建二叉树(完全适配LeetCode的二叉树数组表示法)
:param nums: 数组,None表示空节点,如[1,2,2,3,4,4,3]、[1,2,2,None,3,None,3]
:return: 构建好的二叉树根节点
"""
if not nums or nums[0] is None:
return None
root = TreeNode(nums[0])
queue: Deque[TreeNode] = deque([root])
idx = 1 # 从第二个元素开始遍历
while queue and idx < len(nums):
cur_node = queue.popleft()
# 构建左子节点
if nums[idx] is not None:
cur_node.left = TreeNode(nums[idx])
queue.append(cur_node.left)
idx += 1
# 构建右子节点(注意边界,防止数组越界)
if idx < len(nums) and nums[idx] is not None:
cur_node.right = TreeNode(nums[idx])
queue.append(cur_node.right)
idx += 1
return root
def print_tree(root: Optional[TreeNode]) -> List[Optional[int]]:
"""
层序遍历打印二叉树(转回数组,方便直观查看树结构)
:param root: 二叉树根节点
:return: 层序遍历的数组,末尾无多余None
"""
if not root:
return []
res = []
queue: Deque[TreeNode] = deque([root])
while queue:
cur_node = queue.popleft()
if cur_node:
res.append(cur_node.val)
queue.append(cur_node.left)
queue.append(cur_node.right)
else:
res.append(None)
# 移除末尾的空节点,让结果更整洁
while res and res[-1] is None:
res.pop()
return res
# ---------------------- 测试用例 ----------------------
if __name__ == "__main__":
# 初始化解法对象
sol = Solution()
# 测试用例1:对称二叉树(LeetCode示例1)
nums1 = [1, 2, 2, 3, 4, 4, 3]
root1 = build_tree(nums1)
print(f"测试用例1 - 原树结构:{print_tree(root1)}")
print(f"测试用例1 - 是否对称:{sol.isSymmetric(root1)}") # 预期True
# 测试用例2:非对称二叉树(LeetCode示例2)
nums2 = [1, 2, 2, None, 3, None, 3]
root2 = build_tree(nums2)
print(f"\n测试用例2 - 原树结构:{print_tree(root2)}")
print(f"测试用例2 - 是否对称:{sol.isSymmetric(root2)}") # 预期False
# 测试用例3:空树(边界情况)
nums3 = []
root3 = build_tree(nums3)
print(f"\n测试用例3 - 原树结构:{print_tree(root3)}")
print(f"测试用例3 - 是否对称:{sol.isSymmetric(root3)}") # 预期True
# 测试用例4:只有根节点的树(边界情况)
nums4 = [5]
root4 = build_tree(nums4)
print(f"\n测试用例4 - 原树结构:{print_tree(root4)}")
print(f"测试用例4 - 是否对称:{sol.isSymmetric(root4)}") # 预期True
# 测试用例5:两层对称二叉树
nums5 = [10, 6, 6]
root5 = build_tree(nums5)
print(f"\n测试用例5 - 原树结构:{print_tree(root5)}")
print(f"测试用例5 - 是否对称:{sol.isSymmetric(root5)}") # 预期True
LeetCode提交代码
python
# Definition for a binary tree node.
# class TreeNode:
# def __init__(self, val=0, left=None, right=None):
# self.val = val
# self.left = left
# self.right = right
class Solution:
def isSymmetric(self, root: Optional[TreeNode]) -> bool:
# 空树直接对称
if not root:
return True
# 递归判断左右子树是否镜像对称
return self._is_mirror(root.left, root.right)
def _is_mirror(self, left: Optional[TreeNode], right: Optional[TreeNode]) -> bool:
"""辅助函数:判断两个子树是否镜像对称"""
# 两个节点都为空 → 对称
if not left and not right:
return True
# 一个为空、一个不为空 → 不对称
if not left or not right:
return False
# 节点值相等,且左的左与右的右镜像、左的右与右的左镜像 → 对称
return (left.val == right.val) and \
self._is_mirror(left.left, right.right) and \
self._is_mirror(left.right, right.left)
程序运行结果展示
bash
测试用例1 - 原树结构:[1, 2, 2, 3, 4, 4, 3]
测试用例1 - 是否对称:True
测试用例2 - 原树结构:[1, 2, 2, None, 3, None, 3]
测试用例2 - 是否对称:False
测试用例3 - 原树结构:[]
测试用例3 - 是否对称:True
测试用例4 - 原树结构:[5]
测试用例4 - 是否对称:True
测试用例5 - 原树结构:[10, 6, 6]
测试用例5 - 是否对称:True
总结
本文探讨如何判断二叉树是否轴对称。核心思路是递归比较左右子树是否镜像对称:对应节点值必须相等,且左节点的左子树与右节点的右子树、左节点的右子树与右节点的左子树均需对称。Python实现通过辅助函数_is_mirror递归验证这些条件,并处理边界情况(如空树或单节点树)。测试用例验证了对称树(如[1,2,2,3,4,4,3])和非对称树(如[1,2,2,None,3,None,3])的正确性,最终提交代码符合LeetCode要求。