
在FOC矢量控制中,我们需要实时得到转子的转速和位置 ,但在考虑到成本和使用场合的情况下,往往使用无感控制,因为无位置传感器克服了传统机械式传感器的很多缺点和不足。比如,机械式传感器对环境要求比较严格,在恶劣环境下无法精确测量,还会增加控制系统的开销和尺寸。但是无位置传感器的测量方法就没有这个问题。
本篇将介绍滑膜观测器的设计,得到反电动势,从而提取出位置和转速信息。
目录
一.滑模变结构控制
在介绍滑膜观测器之前,我们先简单了解一下滑膜控制。
(1)滑膜控制的概述
滑模控制是变结构控制系统的一种控制策略。这种控制策略与常规控制的根本区别在于控制的不连续性 ,即一种使系统结构随时间变化的开关特性 。这种特性可以使系统在一定条件下沿规定的状态轨迹作小幅、高频率的上下运动,这就是所谓的**"滑动模态"**。这种滑动模态是可以设计的,并且与系统的参数和扰动无关。因此,处于滑动模态的系统具有很好的鲁棒性。
(2)滑动模态的概念
在控制理论中,控制系统可用以下式子 来表示:

根据控制理论的相关知识可知,这个系统会有切换面 S = 0 将状态空间分为 S > 0 和 S < 0 两种情况。并且在状态空间中系统一般有三种运动状态,如图所示。这三种状态分别是:一般将系统从一侧运动到切换面并穿过切换面 的点叫做通常点(如点 A ),将系统向切换面两侧发散的点称为起始点(如点 B),终止点是系统从两侧运动到切换面的点(如点 C) 。

通常在滑模变控制理论中讨论通常点 A 和通常点 B 的实际意义并不大, 而终止点 C 在实际应用中经常用到。终止点可以这样理解,当系统的运动点在某一区域内均为终止点的时候,则其他运动点只要运动到该区域附近,都会收敛到这个区域。这个区域同时又在切换面 S = 0 上,则这个区域就是滑模区 。电机控制系统在的状态点在滑模区运动时就叫滑模运动。
控制系统通常情况下都是收敛的,为了让运动点都能够收敛到滑模区,在S = 0 附近系统的状态 s 必须满足下式:

👉 当系统从 s > 0 接近切换面时, s的导≥ 0 ;反之, s的导≤ 0 ,总能使系统状态在 s= 0** 附近来回穿越 。

(3)滑模变结构控制的定义
假设存在一个**控制系统,**一般为我们系统的数学模型

**确定切换函数,**也就是滑模面函数,一般设计时让其导数包含控制函数,便于加入趋近律

求解控制函数,一般控制函数u都包含我们希望得到的值

其中的
,这是滑模变结构控制的基本思想的体现。为了实现这种结构还必须满足如下条件,即
⭐ ①可达性:也就是收敛性,系统运动点要想收敛到切换面,这些运动点必须得保证是终止点,并且满足下式。

⭐ ②存在性 :为了保证滑模区的存在,前提是控制函数 u(x) 必须存在。
⭐ ③稳定性:控制系统只有是稳定的才有讨论的意义,根据 Lyapunov稳定性理论,稳定的系统必须满足如式所示的正定 Lyapunov 函数。

为了满足稳定性的要求需使

👉 只有满足了这 3 个条件的控制才被称为滑模控制。
按照滑模控制理论的基本原理,正常运动阶段必须满足滑动模态的可达性条件
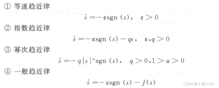
,才能实现系统的状态空间变量由任意未知的初始状态在有限时间内到达滑模面因此,可以设计各种趋近律函数来保证正常运动阶段的品质。常用的趋近律有:

这几种趋近律都先天满足可达性条件,从而可以便于求解控制函数。
二.滑膜观测器算法
(1)什么是观测器
👉 在控制系统中,观测器是一种通过系统的输入信号 和可测量的输出信号 ,结合数学模型,实时估算系统内部不可直接测量的状态变量的算法或装置。
而我们的滑膜观测器就是用于**"观测" 我们不可直接测量的α和β轴反电动势的值**,又因为我们反电动势包含了电机位置和速度信息,从而可以反求出位置和速度信息。
当我们已知一个系统的状态方程,其中包含了我们想要知道的不可测的变量。此时我们可以构建一个与该方程一摸一样的观测器,其中观测器中的不可测变量则设为控制函数u。通过两个方程的比较及其反馈控制,就可以得到我们需要的值(下面会详细介绍电机控制中,滑膜观测器的设计方法)。

(2)建立系统数学模型
传统的滑模观测器的数学建模是在两相静止坐标系下进行的,写出永磁同步电机在α-β轴静止坐标系下的数学模型:

电机的两个扩展反电动势(EMF)满足如下关系:

由式子可知永磁同步电机的反电动势包含了转子的位置和速度信息
其中: Ψ f是定子永磁体的磁链幅度,θ e 是电角度
对于 表贴式三相PMSM(Ld=Lq=Ls) ,扩展反电动势的表达式将被 简化为仅与电机的转速有关的变量 。当转速较快时,反电动势较大,反之亦然。对于 内置式三相PMSM(Ld≠Lq) 而言,可知:扩展反电动势的大小除了与电机的转速有关外,还与 定子电流id和iq的微分Piq有关。
⭐ 为了便于使用滑模观测器计算转子的位置和速度信息,将上式改写成**电流的状态方程:(**这也是我们设计观测器所依靠的方程)

(3)滑膜观测器设计
为了获取反电动势的估计值,通常可以将滑模观测器设计成如下式的形式 :(作为观测器,他就是我们电流状态方程的估计方程,vα 和vβ 是控制函数(不可测的变量设计为控制函数),iαiβ帽为估计值)

为了获取电流的误差信息,将两式相减:

⭐ 在电机的各种物理量中,定子电流是可以直接通过仪器设备测量的 。所以本文选取永磁同步电机的定子电流的轨迹作为滑模面函数 s (x) = 0的参考标准。

这里我们的滑模面函数设计为我们状态方程与观测器的差值,即电流实际值与估计值的差值,当差值为0,也就是s (x) = 0时,我们的反电动势和估计反电动势就相等了:

我们知道控制函数是由定子电流的误差而求得的,这个函数可以连续地修正定子电流实际值和估计值之间的误差,直到误差减小到零为止。同时为了保证定子电流能够收敛到滑模面上,可以将控制函数设计成如下的形式:(也就是我们的趋近律,保证滑动是收敛的)

根据等效控制原理,这种情况下滑模观测器的控制函数的输出量可作为等效控制量来使用,即

我们就得到了所需的α-β轴的反电动势。
三.基于反正切函数的转子位置估计
再来回顾一下反电动势的方程:

⭐我们可以清晰的知道,转子位置信息Eα/Eβ =tan(θe),从而可以用反正切函数直接算得我们的θe。
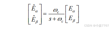
由于实际的控制量是一个不连续的高频切换信号,为了提取连续的反电动势估计值,通常需要外加一个低通滤波器,即:

ω c是低通滤波器的截止频率。在高频切换信号在通过低通滤波器得到滤除的同时,反电动势的相位和幅值都会发生相应的变化。

滤波处理获得的反电动势估算分量会引发相位延迟,该延迟将直接影响转子位置的估算准确性,较小的滤波截止频率将引发较大的相位延迟在实际应用中为解决该问题,通常需要在计算出转子位置的基础上再加上角度补偿,用来弥补由于低通滤波器的延迟效应所造成的位置角度估算误差

转速的求取就是对上式 的角度做微分运算即可,也就是

反正切函数的滑膜观测器控制框图如下:

四.基于锁相环的转子位置估计
由于滑模控制在滑动模态下伴随着高频抖阵,因此估算的反电动势中将存在高频抖阵现象。基于反正切函数的转子位置估计方法将这种抖阵直接引入反正切函数的除法运算中,导致这种高频抖阵的误差被放大,进而造成较大的角度估计误差。
而锁相环(PLL)是一种封闭的自适应系统,在谐波较大和电压相位角度不对称的不利条件下也能很好的发挥它的跟踪性能。所以我们也常用锁相环的方式跟踪和估计电机转子的位置信息。
(1)基本锁相环原理

锁相环由三个核心模块组成:
**鉴相器:**比较Vin与Vout的相位差,生成误差电压。也就是看两信号的相位、频率是否一致。
低通滤波器:滤除鉴相器输出的高频噪声,生成平滑的误差控制信号。
**压控振荡器:**根据滤波器的控制电压调整输出频率,最终使相位差归零。也就是使Vout跟踪Vin。
(2)静止坐标系下的锁相环
锁相环转子位置和速度检测原理图如下:

输入为观测到的反电动势,输出为真实的转速和转子位置
由框图我们可知:

当🔺E通过PI控制器后,当其等于0时,θ就等于θ帽,我们的输出就为真实的位置与转速。
其中,求出🔺E的过程相当于鉴相器,PI调节相当于低通滤波器和压控振荡器

这样一来,转子磁链的影响就被大大削弱了,并且从反正切函数法的开环变成了闭环,得到了相对准确,高频相对较少的结果。
基于锁相环的滑模观测器测量转子速度和位置信息框图如下:
