题目描述
给定一个二叉树,判断它是否是 平衡二叉树
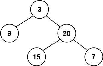
示例 1:

输入:root = [3,9,20,null,null,15,7]
输出:true
示例 2:

输入:root = [1,2,2,3,3,null,null,4,4]
输出:false
示例 3:
输入:root = []
输出:true
提示:
- 树中的节点数在范围
[0, 5000]内 -104 <= Node.val <= 104
解决方案:
这段代码的核心功能是判断一棵二叉树是否为平衡二叉树 (即每个节点的左右子树高度差的绝对值不超过 1),采用「后序遍历 + 递归剪枝」的思路实现,在计算子树高度的同时校验平衡条件,时间复杂度 O(n)(n 为节点数),空间复杂度 O(h)(h 为树的高度),是该问题的最优解法。
核心逻辑
代码将 "计算子树高度" 和 "校验平衡条件" 融合在同一个递归函数中,通过返回特殊值 -1 实现剪枝,避免重复遍历:
- 递归辅助函数
node_height:既计算节点的高度,又实时校验平衡条件:- 边界条件:空节点高度为
0; - 递归计算左子树高度
left_h,若左子树已不平衡(left_h=-1),直接返回-1(剪枝,无需计算右子树); - 同理递归计算右子树高度
right_h,若右子树不平衡,直接返回-1; - 校验当前节点平衡条件:若左右子树高度差的绝对值 > 1,返回
-1(标记当前子树不平衡); - 若平衡,返回当前节点的高度(
max(left_h, right_h)+1);
- 边界条件:空节点高度为
- 主函数
isBalanced:- 空树直接返回
true(空树是平衡的); - 调用
node_height(root),若返回值不为-1,说明整棵树平衡,返回true,否则返回false。
- 空树直接返回
总结
- 核心思路:后序遍历(先算左右子树高度,再判断当前节点),在计算高度的同时校验平衡,用
-1剪枝避免无效递归; - 关键优化:相比 "先算所有节点高度,再逐个校验" 的暴力解法,该思路只需一次遍历,时间效率更高;
- 效率特点:每个节点仅被访问一次,时间
O(n);递归栈空间取决于树的高度,平衡树为O(log n),退化为链表时为O(n)。
函数源码:
cpp/** * Definition for a binary tree node. * struct TreeNode { * int val; * TreeNode *left; * TreeNode *right; * TreeNode() : val(0), left(nullptr), right(nullptr) {} * TreeNode(int x) : val(x), left(nullptr), right(nullptr) {} * TreeNode(int x, TreeNode *left, TreeNode *right) : val(x), left(left), right(right) {} * }; */ class Solution { public: int node_height(TreeNode* node){ if(!node) return 0; int left_h=node_height(node->left); if(left_h==-1){ return -1; } int right_h=node_height(node->right); if(right_h==-1){ return -1; } if(abs(right_h-left_h)>1){ return -1; } return max(left_h,right_h)+1; } bool isBalanced(TreeNode* root) { if(!root) return true; return node_height(root)!=-1; } };