题目描述
二叉树中的路径 被定义为一条节点序列,序列中每对相邻节点之间都存在一条边。同一个节点在一条路径序列中 至多出现一次 。该路径至少包含一个节点,且不一定经过根节点。
路径和 是路径中各节点值的总和。
给你一个二叉树的根节点 root ,返回其 最大路径和 。
示例 1:

输入:root = [1,2,3]
输出:6
解释:最优路径是 2 -> 1 -> 3 ,路径和为 2 + 1 + 3 = 6
示例 2:

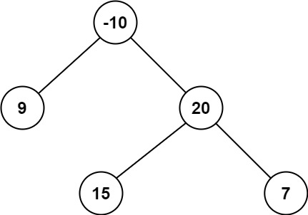
输入:root = [-10,9,20,null,null,15,7]
输出:42
解释:最优路径是 15 -> 20 -> 7 ,路径和为 15 + 20 + 7 = 42
提示:
- 树中节点数目范围是
[1, 3 * 104] -1000 <= Node.val <= 1000
解决方案:
这段代码是基于后序遍历(DFS)求解二叉树最大路径和的经典最优实现,核心思路是通过递归同时完成两个关键任务:计算节点向下延伸的有效路径和、统计以每个节点为 "拐点" 的完整路径和,最终找到整棵树的最大路径和。
核心逻辑
-
核心定义:
ans:全局变量(初始化为极小值-0xFFFF),用于记录遍历过程中找到的最大路径和,覆盖所有可能的路径场景;dfs(node):递归函数,核心作用有两个:① 返回以node为起点,向下延伸(仅能选左 / 右子树其一)的有效路径和 (有效指路径和非负,负路径无贡献);② 递归过程中计算以node为 "拐点" 的完整路径和,并更新全局最大值ans。
-
递归边界 :若
node为空(!node),返回 0------ 空节点对路径和无任何贡献,直接返回 0。 -
后序遍历核心逻辑:
- 先递归计算左子树的向下有效路径和
l_val = dfs(node->left); - 再递归计算右子树的向下有效路径和
r_val = dfs(node->right); - 关键更新:以当前节点为 "拐点" 的完整路径和 =
l_val + r_val + node->val(左子树延伸路径 + 右子树延伸路径 + 当前节点值),用该值更新ans(确保不遗漏所有可能的路径); - 结果返回:
max(0, max(l_val, r_val) + node->val)------ 仅返回向下延伸的最优路径和,且通过max(0, ...)过滤负贡献(若路径和为负,说明该路径无价值,直接返回 0 放弃)。
- 先递归计算左子树的向下有效路径和
-
主函数逻辑 :调用
dfs(root)触发整棵树的后序遍历,遍历完成后ans即为整棵树的最大路径和,直接返回即可。
关键特点
- 时间效率 O (n):每个节点仅被递归访问一次,无重复计算,是二叉树遍历的最优时间复杂度;
- 空间效率 O (h) :递归栈深度等于树的高度
h(平衡树h=logn,链表状树h=n),无额外空间开销; - 逻辑精准 :
- 用 "拐点路径和" 覆盖所有可能的路径形态(如左子树→当前节点→右子树、单节点、单侧子树延伸等);
- 用
max(0, ...)过滤负贡献路径,避免无效路径拉低整体和(例如节点值全为负时,会选择值最大的单个节点);
- 边界适配 :初始值
-0xFFFF能覆盖 "所有节点值为负" 的极端场景,确保不会遗漏有效路径。
总结
- 核心思路:后序遍历中,将 "向下延伸的路径和"(供父节点使用)与 "拐点完整路径和"(更新全局最大值)拆分处理,兼顾递归传递性和结果完整性;
- 关键设计:
max(0, ...)过滤负贡献、"拐点路径和更新 ans" 是解决该问题的两大核心; - 功能效果:能正确处理所有场景(含全负节点、单节点、平衡树 / 链表树等),是该问题的工程级最优解法。
函数源码:
cpp/** * Definition for a binary tree node. * struct TreeNode { * int val; * TreeNode *left; * TreeNode *right; * TreeNode() : val(0), left(nullptr), right(nullptr) {} * TreeNode(int x) : val(x), left(nullptr), right(nullptr) {} * TreeNode(int x, TreeNode *left, TreeNode *right) : val(x), left(left), right(right) {} * }; */ class Solution { public: int ans=-0xFFFF; int dfs(TreeNode* node){ if(!node) return 0; int l_val=dfs(node->left); int r_val=dfs(node->right); ans=max(ans,l_val+r_val+node->val); return max(0,max(l_val,r_val)+node->val); } int maxPathSum(TreeNode* root) { dfs(root); return ans; } };