一、题目解析



题目很简单,要求x的n次幂。
要注意n的取值范围:n可能是负数,这时候我们要利用数学中 x⁻ⁿ = 1 / xⁿ 来转换;n可能是 -2³¹,若转换成正数则会超过 int 类型的最大取值 2³¹-1。
二、算法原理
2.1 解法一:循环
思路很简单,循环n次即可。
Java
for (int i = 0; i < n; i ++) x *= x;
时间复杂度:O(N)
但是,当n取值很大时,比如 n = 1000,程序的效率就会降低,甚至超时。
2.2 解法二:快速幂
快速幂可以采用两种方法来实现:
- 递归实现✅
- 循环实现
我们这里采用递归实现。
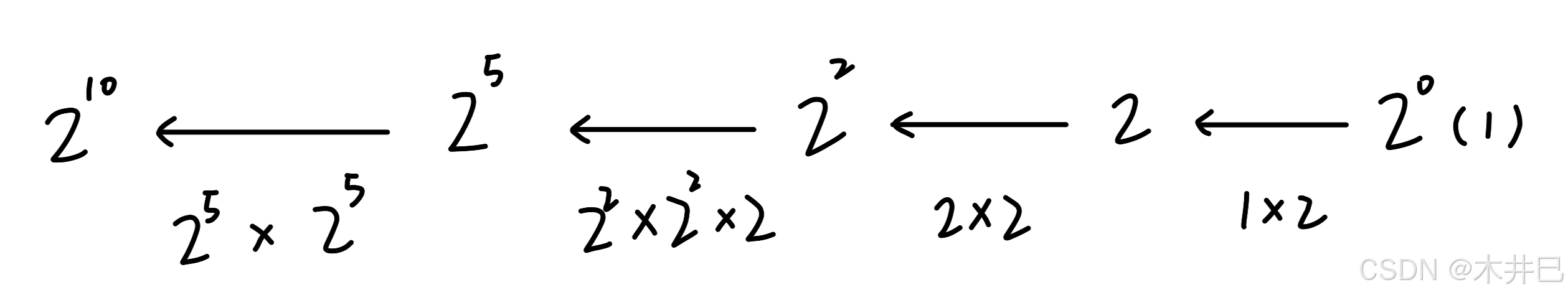
先看示例1:

- 要求 2¹⁰,我们可以通过 2⁵ * 2⁵ 来得到;
- 要求 2⁵,我们可以通过 2² * 2² * 2 来得到;
- 要求 2²,我们可以通过 2 * 2 来得到;
- 要求 2,我们可以通过 2⁰ (1) * 2 来得到;
即:

三、代码实现
设计函数头------寻找子问题:
根据算法原理,我们可以知道,该问题的子问题是:计算所给的x的n次幂
因此函数头有两个参数x、n,返回值为与所给的x相同的类型:double pow(double x, int n)
设计函数体------子问题所做的事:
每一个子问题都是先得到x的n / 2次幂,然后根据当前n的奇偶性决定是 xⁿ * xⁿ,还是 xⁿ * xⁿ * x,即:
- temp = pow(x, n / 2)
- return (n % 2 == 0) ? temp * temp : temp * temp * temp
递归出口:
当 n == 0 时,返回1,因为所有数的0次幂都是1
代码实现如下:
Java
class Solution {
public double myPow(double x, int n) {
// 分n为正负两个情况
return (n < 0) ? 1.0 / pow(x, -n) : pow(x, n);
}
public double pow(double x, int n) {
// 递归出口
if (n == 0) return 1.0;
double temp = pow(x, n / 2);
// 分奇偶情况
return (n % 2 == 0) ? temp * temp : temp * temp * x;
}
}