前言
在算法竞赛和工程数学中,求解线性方程组是高频问题,而高斯消元法正是解决这一问题的经典核心算法。它不仅能高效求解 n 元线性方程组,还能延伸应用到行列式计算、矩阵求逆、n 维球形空间球心求解等场景,是线性代数在算法领域的重要落地工具。本文将从线性方程组的基础概念出发,一步步拆解高斯消元法的原理、初等行变换规则、解的判定方法,再结合多道经典真题,实现从原理到 C++ 代码模板的完整落地,让零基础的同学也能彻底掌握高斯消元法!下面就让我们正式开始吧!
一、前置基础:线性方程组与矩阵的关联
要理解高斯消元法,首先要建立线性方程组 和矩阵之间的联系,将方程组转化为矩阵形式是高斯消元的第一步,也是核心前提。
1.1 线性方程组的定义
由 n 个 m 元一次方程组成的方程组,称为n 元线性方程组(本文主要讨论 n 个 n 元的情况,即方程数 = 未知数个数),其标准形式为:

其中x1,x2,...,xn是待求解的未知数,ai,j是第 i 个方程中xj的系数,bi是第 i 个方程的常数项。
1.2 系数矩阵与增广矩阵
为了简化线性方程组的求解过程,我们可以将方程组的系数 和常数项提取出来,组成特殊的矩阵,这也是高斯消元法的操作对象:
- 系数矩阵:仅由方程组中未知数的系数构成的 n×n 矩阵,只保留ai,j部分;
- 增广矩阵 :将系数矩阵和常数项列拼接而成的 n×(n+1) 矩阵,是高斯消元法的核心操作矩阵,包含了方程组的所有求解信息。
示例:对于三元线性方程组

- 系数矩阵:

- 增广矩阵:

增广矩阵的最后一列是方程组的常数项,这一列也是最终求解的关键 ------ 当增广矩阵转化为简化阶梯型后,最后一列就是未知数的解。
二、高斯消元法核心原理:初等行变换与阶梯型矩阵
高斯消元法的本质是通过矩阵的初等行变换,将增广矩阵转化为阶梯型矩阵(或简化阶梯型矩阵),进而通过回代或直接读取得到方程组的解。整个过程就像解一元一次方程的 "消元" 思路,通过消去未知数,将复杂的 n 元方程组转化为易求解的形式。
2.1 矩阵的初等行变换
对增广矩阵执行的初等行变换是高斯消元法的基础,这三种变换不会改变方程组的解,也是我们化简矩阵的唯一手段,必须牢记:
- 交换两行 :将矩阵的第 i 行和第 j 行交换位置,记为ri↔rj;
- 某行乘非零常数 :将矩阵的第 i 行所有元素乘以一个非零常数 k,记为ri×k;
- 某行的 k 倍加到另一行 :将矩阵第 i 行的 k 倍加到第 j 行对应元素上,记为rj+k×ri。
这三种变换的核心目的是消去未知数的系数,让矩阵呈现出 "阶梯状" 的结构,方便后续求解。
2.2 阶梯型矩阵与简化阶梯型矩阵
高斯消元法的目标是将增广矩阵转化为阶梯型矩阵 ,进一步可转化为简化阶梯型矩阵,后者能直接读取解,是最理想的形式。
- 阶梯型矩阵:矩阵的非零行从上到下,主元(每行第一个非零元素)的列标依次递增,呈 "阶梯状",下方全为 0 行;
- 简化阶梯型矩阵 :在阶梯型矩阵的基础上,满足主元为 1,且主元所在列的其他元素均为 0,此时增广矩阵的最后一列就是未知数的解,无需回代。
2.3 高斯消元法的完整步骤(手算版)
以三元方程组的增广矩阵为例,手把手演示高斯消元法的手算步骤 ,分为消元阶段 (转化为阶梯型)和回代 / 化简阶段(转化为简化阶梯型),理解手算过程是编写代码的关键。
原始增广矩阵:

阶段 1:消元 ------ 转化为阶梯型矩阵
-
交换 1、2 行(让第一列主元更简单,方便计算):r1↔r2

-
消去第一列下方元素:r2−2r1、r3−3r1

-
第二行乘 - 1(主元化为正):r2×(−1)

-
消去第二列下方元素:r3−2r2

-
第三行除以 - 11(主元化为 1):r3÷(−11)

此时矩阵已成为阶梯型矩阵 ,可通过回代法求解:从最后一行z=−2代入上一行,依次求出y、x。
阶段 2:化简 ------ 转化为简化阶梯型矩阵
为了直接读取解,继续对阶梯型矩阵做初等行变换,消去主元上方的元素:
-
消去第三列上方元素:r2−5r3、r1−r3

-
消去第二列上方元素:r1−r2

至此得到简化阶梯型矩阵,直接读取解即可,整个过程无需求解复杂的方程,这就是高斯消元法的高效性。
三、线性方程组的三种解的情况
高斯消元法不仅能求解方程组,还能判定解的存在性和唯一性 ,线性方程组共有三种解的情况:唯一解 、无解 、无穷多解,核心通过转化后的增广矩阵判断,这也是算法编程中的重点和难点。
3.1 唯一解(最理想情况)
判定条件 :增广矩阵转化为阶梯型后,非零行的数量 = 未知数的数量,且无矛盾行(0 行对应非零常数)。
本质:方程数足够,且相互独立,能唯一确定每个未知数的值,也是我们最常遇到的情况,如上述的三元方程组。
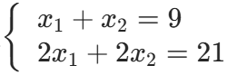
3.2 无解(矛盾情况)
判定条件 :增广矩阵转化为阶梯型后,出现全 0 系数行对应非零常数项的行(即0=k,k=0)。
本质:方程组中存在相互矛盾的方程,无法同时满足,因此无解。
示例 :方程组
,其增广矩阵转化后为:
第二行表示0x1+0x2=3,显然矛盾,因此方程组无解。
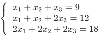
3.3 无穷多解(自由元存在)
判定条件 :增广矩阵转化为阶梯型后,非零行的数量 < 未知数的数量,且无矛盾行。
本质 :方程数不足,存在自由元 (可任意取值的未知数),自由元的个数 = 未知数个数 - 非零行数量,每个自由元取一个值,就能得到一组解,因此有无穷多解。
示例 :方程组
,
转化后的简化阶梯型矩阵为:
非零行数量 = 2 < 未知数数量 = 3,存在 1 个自由元x2,解为x1=6−x2,x3=3,x2可取任意值,对应无穷多解。
3.4 主元与自由元
在判定无穷多解时,主元 和自由元是核心概念:
- 主元:阶梯型矩阵中,每行第一个非零元素所在的列对应的未知数,为主元变量,其值由自由元决定;
- 自由元:非主元列对应的未知数,为自由变量,可任意取值,是无穷多解的根源。
总结:解的判定是高斯消元法的重要环节,代码中需要先完成矩阵化简,再遍历矩阵判断属于哪种情况,再输出对应结果。
四、高斯消元法的 C++ 通用模板:核心实现
理解了高斯消元法的原理和手算步骤后,接下来实现通用的 C++ 代码模板 ,这是解决所有高斯消元相关问题的基础。模板的核心是通过编程模拟初等行变换,将增广矩阵转化为简化阶梯型矩阵,再判定解的情况。
4.1 核心思路
- 浮点数处理 :由于消元过程中会出现除法,使用
double类型存储矩阵元素,定义极小值**eps=1e-7**判断浮点数是否为 0(避免精度误差); - 枚举主元列:从小到大枚举每一列(对应每个未知数),作为当前的主元列;
- 选主元行 :在当前主元列中,找到未确定主元的行中绝对值最大的行(选主元,避免除数过小导致精度误差);
- 初等行变换 :
- 若主元为 0,说明该列为自由元,跳过;
- 交换主元行到当前行;
- 将主元所在行的主元化为 1(整行除以主元);
- 消去当前主元列的其他所有行的元素(化为 0);
- 解的判定:遍历化简后的矩阵,判断是唯一解、无解还是无穷多解;
- 输出解:若为唯一解,输出每个未知数的值;否则输出对应判定结果。
4.2 通用 C++ 模板代码
cpp
#include <iostream>
#include <cmath>
#include <algorithm>
using namespace std;
const int N = 110; // 矩阵最大规模,可根据题目调整
const double eps = 1e-7; // 浮点数精度,判断是否为0
double a[N][N]; // 存储增广矩阵,n*(n+1)
int n; // 未知数的数量
// 判断浮点数是否为0
inline bool is_zero(double x) {
return fabs(x) < eps;
}
// 高斯消元核心函数,返回值:1-唯一解,0-无解,2-无穷多解
int gauss() {
// c:当前处理的主元列,r:当前处理的行
int c, r;
for (c = 1, r = 1; c <= n; c++) {
// 步骤1:选主元行,找当前列中绝对值最大的行
int max_row = r;
for (int i = r; i <= n; i++) {
if (fabs(a[i][c]) > fabs(a[max_row][c])) {
max_row = i;
}
}
// 若主元为0,说明是自由元,跳过当前列
if (is_zero(a[max_row][c])) continue;
// 步骤2:交换主元行到当前行
for (int i = c; i <= n + 1; i++) {
swap(a[max_row][i], a[r][i]);
}
// 步骤3:将主元化为1,整行除以主元
double div = a[r][c];
for (int i = c; i <= n + 1; i++) {
a[r][i] /= div;
}
// 步骤4:消去当前列的其他所有行的元素,化为0
for (int i = 1; i <= n; i++) {
if (i != r && !is_zero(a[i][c])) {
double t = a[i][c];
for (int j = c; j <= n + 1; j++) {
a[i][j] -= t * a[r][j];
}
}
}
r++; // 处理下一行
}
// 步骤5:判定解的情况
// 情况1:无解:存在0行对应非零常数项(0=k, k≠0)
for (int i = r; i <= n; i++) {
if (!is_zero(a[i][n + 1])) {
return 0;
}
}
// 情况2:无穷多解:非零行数量 < 未知数数量
if (r <= n) {
return 2;
}
// 情况3:唯一解,此时矩阵已是简化阶梯型,直接读取最后一列
return 1;
}
int main() {
// 输入:n个未知数,n行,每行n+1个数(系数+常数项)
cin >> n;
for (int i = 1; i <= n; i++) {
for (int j = 1; j <= n + 1; j++) {
cin >> a[i][j];
}
}
int res = gauss();
if (res == 0) {
cout << "No Solution" << endl;
} else if (res == 2) {
cout << "Infinite Solutions" << endl;
} else {
// 输出唯一解,保留2位小数(可根据题目调整)
for (int i = 1; i <= n; i++) {
printf("%.2lf\n", a[i][n + 1]);
}
}
return 0;
}
4.3 模板关键细节说明
- 选主元的意义 :选择当前列绝对值最大的行作为主元行,避免除数过小导致的精度误差,这是高斯消元法中保证计算精度的关键步骤,不可省略;
- 浮点数判 0 :由于计算机存储浮点数存在精度误差,不能直接用
x==0判断,而是通过fabs(x) < eps判断,eps一般取10−7 /10−8; - 矩阵下标:代码中矩阵下标从 1 开始,更贴合数学中的矩阵编号习惯,避免下标 0 带来的混淆;
- 解的判定顺序 :先判断无解 ,再判断无穷多解 ,最后是唯一解,该顺序能避免判定错误;
- 精度控制 :输出解时使用
printf格式化输出,可根据题目要求调整保留的小数位数。
五、洛谷真题实战 1:基础高斯消元(P3389)
题目链接:https://www.luogu.com.cn/problem/P3389

5.1 题目描述
给定 n 元线性方程组,求解该方程组,若不存在唯一解则输出No Solution,若有唯一解则输出每个未知数的值,保留 2 位小数。
- 输入:第一行正整数 n,接下来 n 行每行 n+1 个整数,代表方程组的系数和常数项;
- 输出:有唯一解则输出 n 行,每行一个数(保留 2 位小数),否则输出
No Solution。
5.2 解题思路
直接复用通用模板,稍作修改:将高斯消元函数的返回值简化,若主元列出现 0 则直接返回无解,无需判断无穷多解,其余逻辑完全一致。
5.3 题目专属 C++ 代码
cpp
#include <iostream>
#include <cmath>
#include <algorithm>
using namespace std;
const int N = 110;
const double eps = 1e-7;
double a[N][N];
int n;
inline bool is_zero(double x) {
return fabs(x) < eps;
}
int gauss() {
int c, r;
for (c = 1, r = 1; c <= n; c++) {
int max_row = r;
for (int i = r; i <= n; i++) {
if (fabs(a[i][c]) > fabs(a[max_row][c])) {
max_row = i;
}
}
if (is_zero(a[max_row][c])) return 0; // 无唯一解
for (int i = c; i <= n + 1; i++) swap(a[max_row][i], a[r][i]);
double div = a[r][c];
for (int i = c; i <= n + 1; i++) a[r][i] /= div;
for (int i = 1; i <= n; i++) {
if (i != r && !is_zero(a[i][c])) {
double t = a[i][c];
for (int j = c; j <= n + 1; j++) {
a[i][j] -= t * a[r][j];
}
}
}
r++;
}
return 1; // 有唯一解
}
int main() {
cin >> n;
for (int i = 1; i <= n; i++) {
for (int j = 1; j <= n + 1; j++) {
cin >> a[i][j];
}
}
if (gauss() == 0) {
cout << "No Solution" << endl;
} else {
for (int i = 1; i <= n; i++) {
printf("%.2lf\n", a[i][n + 1]);
}
}
return 0;
}
六、洛谷真题实战 2:线性方程组解的判定(P2455)
题目链接:https://www.luogu.com.cn/problem/P2455

6.1 题目描述
给定 n 元线性方程组,根据输入数据输出解的情况:
- 有唯一解:输出每个未知数的值,保留 2 位小数;
- 无解:输出
-1; - 无穷多解:输出
0。 - 输入输出格式与基础题一致,核心差异是需要完整判定解的情况。
6.2 解题思路
直接使用本文第四节的通用高斯消元模板,主函数中根据高斯消元函数的返回值(0 - 无解,1 - 唯一解,2 - 无穷多解)输出对应结果即可,无需修改核心逻辑。
6.3 题目专属 C++ 代码
cpp
#include <iostream>
#include <cmath>
#include <algorithm>
using namespace std;
const int N = 55; // 题目中n≤50,缩小规模
const double eps = 1e-7;
double a[N][N];
int n;
inline bool is_zero(double x) {
return fabs(x) < eps;
}
int gauss() {
int c, r;
for (c = 1, r = 1; c <= n; c++) {
int max_row = r;
for (int i = r; i <= n; i++) {
if (fabs(a[i][c]) > fabs(a[max_row][c])) {
max_row = i;
}
}
if (is_zero(a[max_row][c])) continue;
for (int i = c; i <= n + 1; i++) swap(a[max_row][i], a[r][i]);
double div = a[r][c];
for (int i = c; i <= n + 1; i++) a[r][i] /= div;
for (int i = 1; i <= n; i++) {
if (i != r && !is_zero(a[i][c])) {
double t = a[i][c];
for (int j = c; j <= n + 1; j++) {
a[i][j] -= t * a[r][j];
}
}
}
r++;
}
// 判定无解
for (int i = r; i <= n; i++) {
if (!is_zero(a[i][n + 1])) return 0;
}
// 判定无穷多解
if (r <= n) return 2;
// 唯一解
return 1;
}
int main() {
cin >> n;
for (int i = 1; i <= n; i++) {
for (int j = 1; j <= n + 1; j++) {
cin >> a[i][j];
}
}
int res = gauss();
if (res == 0) {
cout << -1 << endl;
} else if (res == 2) {
cout << 0 << endl;
} else {
for (int i = 1; i <= n; i++) {
printf("x%d=%.2lf\n", i, a[i][n + 1]);
}
}
return 0;
}
七、高斯消元法的进阶应用:矩阵求逆与 n 维球心求解
高斯消元法不仅能求解线性方程组,还能延伸解决矩阵求逆 、n 维球形空间球心求解 、行列式计算等问题,本文选取了两个经典的算法竞赛真题,讲解高斯消元法的进阶应用,进一步体现其通用性。
7.1 进阶应用 1:矩阵求逆(洛谷 P4783)
题目链接:https://www.luogu.com.cn/problem/P4783

7.1.1 核心原理
对于 n 阶方阵 A,若其可逆(行列式≠0),则可通过高斯 - 约当消元法求其逆矩阵A−1,核心思路是:
- 构造 n×2n 的增广矩阵[A∣E],其中 E 是 n 阶单位矩阵;
- 对增广矩阵执行初等行变换,将左侧的 A 转化为单位矩阵 E;
- 此时右侧的 E 会同步转化为A−1,即增广矩阵最终变为**[E∣A−1]**;
- 若左侧无法转化为 E,说明矩阵 A 不可逆,输出
No Solution。
由于题目要求对109+7取模,需使用整数模运算 ,用快速幂求逆元代替除法(因为模运算中无除法,除以 k 等价于乘以 k 的逆元)。
7.1.2 核心代码要点
- 用
long long存储矩阵元素,避免溢出; - 快速幂求逆元:
qpow(a, MOD-2, MOD)(费马小定理,MOD 为质数); - 初等行变换中,除法替换为乘以逆元,所有操作均取模;
- 最终若左侧为单位矩阵,输出右侧的 n×n 矩阵,即为逆矩阵。
7.2 进阶应用 2:n 维球形空间球心求解(洛谷 P4035)
题目链接:https://www.luogu.com.cn/problem/P4035

7.2.1 核心原理
n 维球体的球心(x1,x2,...,xn)满足:球面上任意一点(p1,p2,...,pn)到球心的距离的平方等于半径的平方,即
。
取球面上 n+1 个点,两两作差消去R2,可得到 n 个线性方程,构成 n 元线性方程组,用高斯消元法求解该方程组,即可得到 n 维球心的坐标。
7.2.2 核心代码要点
- 根据 n+1 个点的坐标,推导出线性方程组的增广矩阵;
- 直接复用高斯消元法的通用模板,求解该方程组;
- 输出结果时保留 3 位小数,严格匹配题目精度要求。
这两个应用的核心仍是高斯消元法的初等行变换 ,只是增广矩阵的构造方式不同,充分说明高斯消元法是线性代数中最通用的算法之一。
总结
高斯消元法看似繁琐,实则有固定的规律和模板,只要掌握了核心的初等行变换和解的判定方法,就能轻松解决各类相关问题。它不仅是算法竞赛的高频考点,也是工程数学、机器学习、数值计算等领域的基础工具,掌握高斯消元法,能为后续的线性代数和算法学习打下坚实的基础。
从线性方程组到矩阵求逆,再到 n 维空间的球心求解,高斯消元法的通用性让我们看到了数学算法的魅力。希望本文能帮助大家从原理到实战,彻底掌握高斯消元法,在算法竞赛和实际应用中灵活运用!
