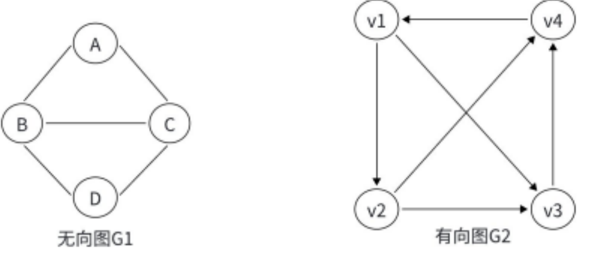
1. 图的基本概念
1.1 图的定义
图 G 是由顶点集 V 和边集 E 组成,记为 G=(V,E),其中 V(G) 表示图 G 中顶点的有限非空集;E(G) 表示图 G 中顶点之间的关系(边)集合。若 V={v1,v2,...,vn},则用 ∣V∣ 表示图 G 中顶点的个数,也称图 G 的阶,E={(u,v)∣u∈V,v∈V},用 ∣E∣ 表示图 G 中边的条数。
图是较线性表和树更为复杂的数据结构。
- 线性表中,除第一个和最后一个元素外,每个元素只有一个唯一的前驱和唯一的后继结点,元素和元素之间是一对一的关系;
- 在树形结构中,数据元素之间有着明显的层次关系,每个元素有唯一的双亲,但可能有多个孩子,元素和元素之间是一对多的关系;
- 而图形结构中,元素和元素之间的关系更加复杂,结点和结点之间的关系是任意的,任意两个结点之间都可能相关,图中元素和元素之间是多对多的关系。


1.2 有向图和⽆向图
图根据边的类型,可以分为 ⽆向图和有向图 :


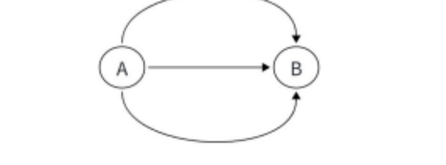
在图相关的算法中,我们可以将⽆向图中的边看成两条⽅向相反的有向边,从⽽将⽆向图转化为有向 图:

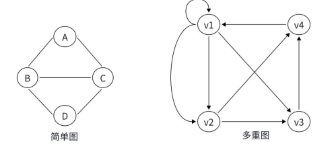
1.3 简单图与多重图
⾃环:⾃⼰指向⾃⼰的⼀条边。

重边:图中存在两个或两个以上完全相同的边。

简单图:若图中没有重边和⾃环,为简单图。
多重图:若图中存在重边或⾃环,为多重图。

1.4 稠密图和稀疏图
有很少条边(如 e < nlog 2 n )的图称为稀疏图,反之称为稠密图。

1.5 顶点的度
顶点 v 的度是指与它相关联的边的条数,记作 deg(v)。由该顶点发出的边称为顶点的出度,到达该顶
点的边称为顶点的⼊度。
• ⽆向图中,顶点的度等于该顶点的⼊度(indev)和出度(outdev),即 deg(v) = indeg(v) =
outdeg(v)。
• 有向图中,顶点的度等于该顶点的⼊度与出度之和,其中顶点 v 的⼊度 indeg(v) 是以 v 为终点的有
向边的条数,顶点 v 的出度 outdeg(v) 是以 v 为起始点的有向边的条数,deg(v) = indeg(v) +
outdeg(v)

1.6 路径


1.7 简单路径与回路
若路径上各顶点v 1 , v 2 , v 3 , ..., v m 均不重复,则称这样的路径为简单路径。若路径上第⼀个顶点
V1和最后⼀个顶点Vm 相同,则称这样的路径为回路或环。

1.8 路径⻓度和带权路径⻓度
某些图的边具有与它相关的数值,称其为该边的权值。这些权值可以表⽰两个顶点间的距离、花费的 代价、所需的时间等。⼀般将该种带权图称为 ⽹络 。

某⼯程施⼯周期图
对于不带权的图,⼀条路径的路径⻓度是指该路径上的边的条数。
对于带权的图,⼀条路径的路径⻓度是指该路径上各个边权值的总和。

1.9 ⼦图
设图 G = { V , E } 和图 G ′ = { V ′ , E ′ } ,若 V ′ ∈ V 且 E ′ 属于 E ,则称 G ′ 是 G 的⼦图。若
有 V ( G ′ ) = V ( G ) 的⼦图 G ′ ,则称 G ′ 为 G 的⽣成⼦图。
相当于就是在原来图的基础上,拿出来⼀些顶点和边,组成⼀个新的图。但是要注意,拿出来的点和
边要能构成⼀个图才⾏。

G1_1 和 G1_2 为⽆向图 G1 的⼦图,G1_1 为 G1 的⽣成⼦图。
G2_1 和 G2_2 为有向图 G2 的⼦图,G2_1 为 G2 的⽣成⼦图。
1.10 连通图与连通分量
在⽆向图中,若从顶点 v 1 到顶点 v 2 有路径,则称顶点 v 1 与顶点 v 2 是连通的。如果图 G 中任意
⼀对顶点都是连通的,则图 G 称为连通图,否则称为⾮连通图。
• 假设⼀个图有 n 个顶点,如果边数⼩于 n - 1,那么此图⼀定是⾮连通图。
• 极⼤联通⼦图:⽆向图中,拿出⼀个⼦图,这个⼦图包含尽可能多的点和边。
• 连通分量:⽆向图中的极⼤连通⼦图称为连通分量。

1.11 ⽣成树
连通图的⽣成树是包含图中全部顶点的⼀个极⼩连通⼦图。若图中顶点数为 n,则它的⽣成树含有 n - 1 条边。对⽣成树⽽⾔,若砍去⼀条边,则会变成⾮连通图,若加上⼀条边则会形成⼀个回路。

2. 图的存储和遍历
图的存储有两种: 邻接矩阵和邻接表:
• 其中,邻接表的存储⽅式与树的孩⼦表⽰法完全⼀样。因此,⽤ vector 数组以及链式前向星就能实 现。
• ⽽邻接矩阵就是⽤⼀个⼆维数组,其中 edges[i][j] 存储顶点 i 与顶点 j 之间,边的信
息。
图的遍历分两种:DFS 和 BFS,和树的遍历⽅式以及实现⽅式完全⼀样。因此,可以仿照树这个数据
结构来学习。
2.1 邻接矩阵
邻接矩阵,指⽤⼀个矩阵(即⼆维数组)存储图中边的信息(即各个顶点之间的邻接关系),存储顶点之间 邻接关系的矩阵称为邻接矩阵。
对于带权图⽽⾔,若顶点 v i 和 v j 之间有边相连,则邻接矩阵中对应项存放着该边对应的权值,若顶 点 v i 和 v j 不相连,则⽤ ∞ 来代表这两个顶点之间不存在边。
对于不带权的图,可以创建⼀个⼆维的 bool 类型的数组,来标记顶点 v i 和 v j 之间有边相连。

【注意】
矩阵中元素个数为nxn ,即空间复杂度为 O(n^2), 为顶点个数,和实际边的条数⽆关, 适合存
储稠密图。
代码实现:
cpp
#include <iostream>
#include <cstring>
using namespace std;
const int N = 1010;
int n, m;
int edges[N][N];
int main()
{
memset(edges, -1, sizeof edges);
cin >> n >> m; // 读⼊结点个数以及边的个数
for(int i = 1; i <= m; i++)
{
int a, b, c; cin >> a >> b >> c;
// a - b 有⼀条边,权值为 c
edges[a][b] = c;
// 如果是⽆向边,需要反过来再存⼀下
edges[b][a] = c;
}
return 0;
}
2.2 vector 数组
和树的存储⼀模⼀样,只不过如果存在边权的话,我们的 vector 数组⾥⾯放**⼀个结构体或者是 pair**即可。
代码实现:
cpp
#include <iostream>
#include <vector>
using namespace std;
typedef pair<int, int> PII;
const int N = 1e5 + 10;
int n, m;
vector<PII> edges[N];
int main()
{
cin >> n >> m; // 读⼊结点个数以及边的个数
for(int i = 1; i <= m; i++)
{
int a, b, c; cin >> a >> b >> c;
// a 和 b 之间有⼀条边,权值为 c
edges[a].push_back({b, c});
// 如果是⽆向边,需要反过来再存⼀下
edges[b].push_back({a, c});
}
return 0;
}
2.3 链式前向星
和树的存储⼀模⼀样,只不过如果存在边权的话,我们多创建⼀维数组,⽤来存储边的权值即可。
代码实现:
cpp
#include <iostream>
using namespace std;
// 常量定义:N是顶点的最大数量(1e5+10,能存10万个顶点)
const int N = 1e5 + 10;
// 链式前向星核心数组(关键!)
int h[N]; // 头数组:h[a] = 以a为起点的第一条边的编号
int e[N * 2]; // 边数组:e[id] = 编号为id的边的终点(乘2是因为无向图,每条边要存2次)
int ne[N * 2]; // 下一条边数组:ne[id] = 编号为id的边的下一条边编号
int w[N * 2]; // 权值数组:w[id] = 编号为id的边的权值
int id; // 边的计数器:每添加一条边,id+1(初始默认是0)
int n, m; // n=顶点总数,m=边的总数
// 新增边的函数:添加一条"从a到b、权值为c"的有向边
void add(int a, int b, int c)
{
id++; // 1. 给这条边分配唯一编号(id从1开始)
e[id] = b; // 2. 记录这条边的终点是b
w[id] = c; // 3. 记录这条边的权值是c
ne[id] = h[a]; // 4. 把新边的"下一条边"指向a原来的第一条边
h[a] = id; // 5. 把a的第一条边更新为当前新边(头插法核心)
}
int main()
{
cin >> n >> m; // 1. 读入:顶点个数n,边的个数m
for(int i = 1; i <= m; i++) // 2. 遍历m条边,逐个添加
{
int a, b, c;
cin >> a >> b >> c; // 读入一条边:起点a,终点b,权值c
// 3. 无向图:a→b和b→a各存一次(因为无向边双向通行)
add(a, b, c);
add(b, a, c);
}
return 0;
}
2.4 DFS
和树的遍历⽅式⼀模⼀样,⼀条路⾛到⿊~
1. ⽤邻接矩阵的⽅式存储
代码实现:
cpp
#include <iostream>
#include <cstring>
#include <queue>
using namespace std;
const int N = 1010;
int n, m;
int edges[N][N];
bool st[N]; // 标记哪些点已经访问过
void dfs(int u)
{
cout << u << endl;
st[u] = true;
// 遍历所有孩⼦
for(int v = 1; v <= n; v++)
{
// 如果存在 u->v 的边,并且没有遍历过
if(edges[u][v] != -1 && !st[v])
{
dfs(v);
}
}
}
int main()
{
memset(edges, -1, sizeof edges);
cin >> n >> m; // 读⼊结点个数以及边的个数
for(int i = 1; i <= m; i++)
{
int a, b, c; cin >> a >> b >> c;
// a - b 有⼀条边,权值为 c
edges[a][b] = c;
// 如果是⽆向边,需要反过来再存⼀下
edges[b][a] = c;
}
return 0;
}
2. ⽤ vector 数组的⽅式存储
代码实现:
cpp
#include <iostream>
#include <vector>
#include <queue>
using namespace std;
typedef pair<int, int> PII;
const int N = 1e5 + 10;
int n, m;
vector<PII> edges[N];
bool st[N]; // 标记哪些点已经访问过
void dfs(int u)
{
cout << u << endl;
st[u] = true;
// 遍历所有孩⼦
for(auto& t : edges[u])
{
// u->v 的⼀条边,权值为 w
int v = t.first, w = t.second;
if(!st[v])
{
dfs(v);
}
}
}
int main()
{
cin >> n >> m; // 读⼊结点个数以及边的个数
for(int i = 1; i <= m; i++)
{
int a, b, c; cin >> a >> b >> c;
// a 和 b 之间有⼀条边,权值为 c
edges[a].push_back({b, c});
// 如果是⽆向边,需要反过来再存⼀下
edges[b].push_back({a, c});
}
return 0;
}
3. ⽤链式前向星的⽅式存储
代码实现:
cpp
#include <iostream>
#include <queue>
using namespace std;
const int N = 1e5 + 10;
// 链式前向星
int h[N], e[N * 2], ne[N * 2], w[N * 2], id;
int n, m;
// 其实就是把 b 头插到 a 所在的链表后⾯
void add(int a, int b, int c)
{
id++;
e[id] = b;
w[id] = c; // 多存⼀个权值信息
ne[id] = h[a];
h[a] = id;
}
bool st[N];
void dfs(int u)
{
cout << u << endl;
st[u] = true;
for(int i = h[u]; i; i = ne[i])
{
// u->v 的⼀条边
int v = e[i];
if(!st[v])
{
dfs(v);
}
}
}
int main()
{
cin >> n >> m; // 读⼊结点个数以及边的个数
for(int i = 1; i <= m; i++)
{
int a, b, c; cin >> a >> b >> c;
// a 和 b 之间有⼀条边,权值为 c
add(a, b, c); add(b, a, c);
}
return 0;
}
2.5 BFS
和树的遍历⽅式⼀模⼀样,⼀层⼀层的剥开我的⼼~
1. ⽤邻接矩阵的⽅式存储
代码实现:
cpp
#include <iostream>
#include <cstring>
#include <queue>
using namespace std;
const int N = 1010;
int n, m;
int edges[N][N];
bool st[N]; // 标记哪些点已经访问过
void bfs(int u)
{
queue<int> q;
q.push(u);
st[u] = true;
while(q.size())
{
auto a = q.front(); q.pop();
cout << a << endl;
for(int b = 1; b <= n; b++)
{
if(edges[a][b] != -1 && !st[b])
{
q.push(b);
st[b] = true;
}
}
}
}
int main()
{
memset(edges, -1, sizeof edges);
cin >> n >> m; // 读⼊结点个数以及边的个数
for(int i = 1; i <= m; i++)
{
int a, b, c; cin >> a >> b >> c;
// a - b 有⼀条边,权值为 c
edges[a][b] = c;
// 如果是⽆向边,需要反过来再存⼀下
edges[b][a] = c;
}
return 0;
}
2. ⽤ vector 数组的⽅式存储
代码实现:
cpp
#include <iostream>
#include <vector>
#include <queue>
using namespace std;
typedef pair<int, int> PII;
const int N = 1e5 + 10;
int n, m;
vector<PII> edges[N];
bool st[N]; // 标记哪些点已经访问过
void bfs(int u)
{
queue<int> q;
q.push(u);
st[u] = true;
while(q.size())
{
auto a = q.front(); q.pop();
cout << a << endl;
for(auto& t : edges[a])
{
int b = t.first, c = t.second;
if(!st[b])
{
q.push(b);
st[b] = true;
}
}
}
}
int main()
{
cin >> n >> m; // 读⼊结点个数以及边的个数
for(int i = 1; i <= m; i++)
{
int a, b, c; cin >> a >> b >> c;
// a 和 b 之间有⼀条边,权值为 c
edges[a].push_back({b, c});
// 如果是⽆向边,需要反过来再存⼀下
edges[b].push_back({a, c});
}
return 0;
}
3. ⽤链式前向星的⽅式存储
代码实现:
cpp
#include <iostream>
#include <queue>
using namespace std;
const int N = 1e5 + 10;
// 链式前向星
int h[N], e[N * 2], ne[N * 2], w[N * 2], id;
int n, m;
// 其实就是把 b 头插到 a 所在的链表后⾯
void add(int a, int b, int c)
{
id++;
e[id] = b;
w[id] = c; // 多存⼀个权值信息
ne[id] = h[a];
h[a] = id;
}
bool st[N];
void bfs(int u)
{
queue<int> q;
q.push(u);
st[u] = true;
while(q.size())
{
auto a = q.front(); q.pop();
cout << a << endl;
for(int i = h[a]; i; i = ne[i])
{
int b = e[i], c = w[i];
if(!st[b])
{
q.push(b);
st[b] = true;
}
}
}
}
int main()
{
cin >> n >> m; // 读⼊结点个数以及边的个数
for(int i = 1; i <= m; i++)
{
int a, b, c; cin >> a >> b >> c;
// a 和 b 之间有⼀条边,权值为 c
add(a, b, c); add(b, a, c);
}
return 0;
}
3. 最⼩⽣成树
通过前⽂的学习知道,⼀个具有 个顶点的连通图,其⽣成树为包含 条边和所有顶点的极⼩
连通⼦图。对于⽣成树来说,若砍去⼀条边就会使图不连通图;若增加⼀条边就会形成回路。

⼀个图的⽣成树可能有多个,将所有⽣成树中权值之和最⼩的树称为最⼩⽣成树。
构造最⼩⽣成树有多种算法,典型的有 普利姆 (Prim) 算法和克鲁斯卡尔 (Kruskal) 算法两种 ,它们都 是基于贪⼼的策略。下⾯讲解算法的具体流程,关于正确性的证明,有兴趣的同学可以看看《算法导 论》中的讲解。
3.1 Prim 算法
核⼼:不断加点。
Prim 算法构造最⼩⽣成树的基本思想:
1. 从任意⼀个点开始构造最⼩⽣成树;
2. 将距离该树权值最⼩且不在树中的顶点,加⼊到⽣成树中。然后更新与该点相连的点到⽣成树的最 短距离;
3. 重复 2 操作 n 次,直到所有顶点都加⼊为⽌


代码实现 - 邻接矩阵:
cpp
#include <iostream>
#include <cstring>
using namespace std;
const int N = 5010, INF = 0x3f3f3f3f;
int n, m;
int edges[N][N]; // 邻接矩阵存储图
int dist[N]; // 某个点距离⽣成树的最短距离
bool st[N]; // 标记哪些点已经加⼊到⽣成树
int prim()
{
// 初始化
memset(dist, 0x3f, sizeof dist);
dist[1] = 0;
int ret = 0;
for(int i = 1; i <= n; i++) // 循环加⼊ n 个点
{
// 1. 找最近点
int t = 0;
for(int j = 1; j <= n; j++)
if(!st[j] && dist[j] < dist[t])
t = j;
// 判断是否联通
if(dist[t] == INF) return INF;
st[t] = true;
ret += dist[t];
// 2. 更新距离
for(int j = 1; j <= n; j++) // 枚举 t 能⾛到哪
dist[j] = min(dist[j], edges[t][j]);
}
return ret;
}
int main()
{
cin >> n >> m;
// 初始化 邻接矩阵
memset(edges, 0x3f, sizeof edges);
for(int i = 1; i <= m; i++)
{
int x, y, z; cin >> x >> y >> z;
// 注意有重边的情况
edges[x][y] = edges[y][x] = min(edges[x][y], z);
}
int ret = prim();
if(ret == INF) cout << "orz" << endl;
else cout << ret << endl;
return 0;
}
代码实现 - 邻接表 - vector 数组:
cpp
#include <iostream>
#include <vector>
#include <cstring>
using namespace std;
typedef pair<int, int> PII;
const int N = 5010, INF = 0x3f3f3f3f;
int n, m;
vector<PII> edges[N];
int dist[N];
bool st[N];
int prim()
{
memset(dist, 0x3f, sizeof dist);
dist[1] = 0;
int ret = 0;
for(int i = 1; i <= n; i++)
{
// 1. 找最近点
int t = 0;
for(int j = 1; j <= n; j++)
if(!st[j] && dist[j] < dist[t])
t = j;
// 判断是否联通
if(dist[t] == INF) return INF;
st[t] = true;
ret += dist[t];
// 2. 更新距离
for(auto& p : edges[t])
{
int a = p.first, b = p.second;
// t->a 权值是 b
dist[a] = min(dist[a], b);
}
}
return ret;
}
int main()
{
cin >> n >> m;
for(int i = 1; i <= m; i++)
{
int x, y, z; cin >> x >> y >> z;
// 如果有重边,怎么办?
edges[x].push_back({y, z});
edges[y].push_back({x, z});
}
int ret = prim();
if(ret == INF) cout << "orz" << endl;
else cout << ret << endl;
return 0;
}
3.2 Kruskal 算法
核⼼:不断加边。
Kruskal 算法构造最⼩⽣成树的基本思想:
- 所有边按照权值排序;
- 每次选出权值最⼩且两端顶点不连通的⼀条边,直到所有顶点都联通。


代码实现:
cpp
#include <iostream>
#include <algorithm>
using namespace std;
const int N = 5010, M = 2e5 + 10, INF = 0x3f3f3f3f;
int n, m;
struct node
{
int x, y, z;
}a[M];
int fa[N]; // 并查集
bool cmp(node& a, node& b)
{
return a.z < b.z;
}
int find(int x)
{
return x == fa[x] ? fa[x] : fa[x] = find(fa[x]);
}
int kk()
{
sort(a + 1, a + 1 + m, cmp);
int cnt = 0;
int ret = 0;
for(int i = 1; i <= m; i++)
{
int x = a[i].x, y = a[i].y, z = a[i].z;
int fx = find(x), fy = find(y);
if(fx != fy)
{
cnt++;
ret += z;
fa[fx] = fy;
}
}
return cnt == n - 1 ? ret : INF;
}
int main()
{
cin >> n >> m;
for(int i = 1; i <= m; i++) cin >> a[i].x >> a[i].y >> a[i].z;
// 初始化并查集
for(int i = 1; i <= n; i++) fa[i] = i;
int ret = kk();
if(ret == INF) cout << "orz" << endl;
else cout << ret << endl;
return 0;
}
3.3 【模板】最⼩⽣成树
题⽬来源: 洛⾕
题⽬链接: P3366 【模板】最⼩⽣成树
难度系数: ★★
题目描述
如题,给出一个无向图,求出最小生成树,如果该图不连通,则输出 orz。
输入格式
第一行包含两个整数 N,M,表示该图共有 N 个结点和 M 条无向边。
接下来 M 行每行包含三个整数 Xi,Yi,Zi,表示有一条长度为 Zi 的无向边连接结点 Xi,Yi。
输出格式
如果该图连通,则输出一个整数表示最小生成树的各边的长度之和。如果该图不连通则输出 orz。
输入输出样例
输入 #1复制
4 5
1 2 2
1 3 2
1 4 3
2 3 4
3 4 3
输出 #1复制
7
说明/提示
数据规模:
对于 20% 的数据,N≤5,M≤20。
对于 40% 的数据,N≤50,M≤2500。
对于 70% 的数据,N≤500,M≤104。
对于 100% 的数据:1≤N≤5000,1≤M≤2×105,1≤Zi≤104,1≤Xi,Yi≤N。
样例解释:

所以最小生成树的总边权为 2+2+3=7。
解法:
参考前两个板块⾥⾯的代码。
【参考代码】
cpp
#include<iostream>
#include<cstring>
using namespace std;
// 常量:N是最大顶点数,INF是无穷大(代表两点没边)
const int N=5050,INF=0x3f3f3f3f;
int n,m; // n=顶点数(城市数),m=边数(公路数)
int edges[N][N]; // 邻接矩阵:存两个城市之间修路的花费
int dist[N]; // 未连入生成树的城市,到已连城市群的最短距离
bool st[N]; // 标记城市是否已连入生成树
// Prim算法:计算最小生成树的总花费,连不通返回INF
int prim()
{
// 初始化:所有城市到已连群的距离设为无穷大
memset(dist,0x3f,sizeof dist);
dist[1] = 0; // 选1号城市当起点,到自己的距离是0
int ret = 0; // 总花费,初始为0
for(int i=1;i<=n;i++)
{
int t=0;
// 找"没连入"且"离已连群最近"的城市t
for(int j=1;j<=n;j++)
{
if(!st[j] && dist[j]<dist[t])
{
t=j;
}
}
// 如果t的距离是无穷大,说明有城市连不通,返回INF
if(dist[t]==INF) return INF;
st[t] = true; // 把t连入生成树
ret += dist[t]; // 总花费加上连t的花费
// 更新其他城市到已连群的距离(加入t后可能变近)
for(int j=1;j<=n;j++)
{
dist[j] = min(dist[j], edges[t][j]);
}
}
return ret;
}
int main()
{
cin >> n >> m; // 输入城市数n和公路数m
// 初始化:所有城市之间初始没公路,花费设为无穷大
memset(edges,0x3f,sizeof edges);
for(int i=1;i<=m;i++)
{
int x,y,z;
cin >> x >> y >> z; // 输入:城市x、城市y、修路花费z
// 无向图:x到y和y到x的花费一样;有重边选花费最小的
edges[x][y] = edges[y][x] = min(edges[x][y], z);
}
int ret = prim(); // 调用Prim算总花费
// 输出结果:连不通输出orz,否则输出总花费
if(ret==INF) cout << "orz" << endl;
else cout << ret << endl;
return 0;
}
3.4 买礼物
题⽬来源: 洛⾕
题⽬链接: P1194 买礼物
难度系数: ★★
题目描述
又到了一年一度的明明生日了,明明想要买 B 样东西,巧的是,这 B 样东西价格都是 A 元。
但是,商店老板说最近有促销活动,也就是:
如果你买了第 I 样东西,再买第 J 样,那么就可以只花 KI,J 元,更巧的是,KI,J 竟然等于 KJ,I。
现在明明想知道,他最少要花多少钱。
输入格式
第一行两个整数,A,B。
接下来 B 行,每行 B 个数,第 I 行第 J 个为 KI,J。
我们保证 KI,J=KJ,I 并且 KI,I=0。
特别的,如果 KI,J=0,那么表示这两样东西之间不会导致优惠。
注意 KI,J 可能大于 A。
输出格式
一个整数,为最小要花的钱数。
输入输出样例
输入 #1复制
1 1
0
输出 #1复制
1
输入 #2复制
3 3
0 2 4
2 0 2
4 2 0
输出 #2复制
7
说明/提示
样例解释 2。
先买第 2 样东西,花费 3 元,接下来因为优惠,买 1,3 样都只要 2 元,共 7 元。
(同时满足多个"优惠"的时候,聪明的明明当然不会选择用 4 元买剩下那件,而选择用 2 元。)
数据规模
对于 30% 的数据,1≤B≤10。
对于 100% 的数据,1≤B≤500,0≤A,KI,J≤1000。
2018.7.25新添数据一组
【解法】
题⽬转化:
• 如果把每⼀个零⻝看成⼀个节点,优惠看成⼀条边,就变成在图中找最⼩⽣成树的问题。
• 因此,跑⼀遍 kk 算法即可。
【参考代码】
cpp
#include <iostream>
#include <algorithm>
using namespace std;
// 常量:最多的边数(B最多500,所以边数最多500×500/2=125000,N设大一点)
const int N = 500 * 500 + 10;
int a, n; // a=原价A,n=要买的东西数量B
int pos; // 记录有效优惠边的数量(边的计数器)
// 边的结构体:x和y是两个顶点(东西),z是优惠价K[x][y]
struct node
{
int x, y, z;
}e[N];
int fa[N]; // 并查集数组:用来判断两个顶点是否连通(避免选环)
// 并查集查找函数(找顶点x的根节点,带路径压缩,更快)
int find(int x)
{
return fa[x] == x ? x : fa[x] = find(fa[x]);
}
int cnt, ret; // cnt=选的优惠边数,ret=选的优惠边总权值
// 排序规则:按边的权值从小到大排(Kruskal核心:选最便宜的边)
bool cmp(node& a, node& b)
{
return a.z < b.z;
}
// Kruskal算法核心函数:选最小边构建生成树
void kk()
{
// 第一步:把所有有效边按权值从小到大排序
sort(e + 1, e + 1 + pos, cmp);
// 第二步:遍历所有边,选不构成环的边
for(int i = 1; i <= pos; i++)
{
int x = e[i].x, y = e[i].y, z = e[i].z; // 取当前边的两个顶点和权值
int fx = find(x), fy = find(y); // 找x和y的根节点
if(fx != fy) // 根节点不同→不连通→选这条边(不会构成环)
{
cnt++; // 优惠边数+1
ret += z; // 总优惠权值+当前边的权值
fa[fx] = fy; // 把x和y连通(合并集合)
}
}
}
int main()
{
cin >> a >> n; // 输入原价a,东西数量n(对应题目里的A、B)
// 读入B×B的优惠矩阵K[I][J]
for(int i = 1; i <= n; i++)
{
for(int j = 1; j <= n; j++)
{
int k; cin >> k; // 读入K[i][j]
// 过滤无效边:
// 1. i>=j:避免重复(K[i][j]=K[j][i],只存i<j的);
// 2. k>a:优惠价比原价贵,没必要选;
// 3. k==0:无优惠,跳过;
if(i >= j || k > a || k == 0) continue;
pos++; // 有效边数+1
e[pos].x = i; e[pos].y = j; e[pos].z = k; // 存这条边
}
}
// 初始化并查集:每个顶点的根节点是自己
for(int i = 1; i <= n; i++) fa[i] = i;
// 调用Kruskal算法选优惠边
kk();
// 计算总花费:优惠边总权值 + (总数量-优惠边数)×原价
cout << ret + (n - cnt) * a << endl;
return 0;
}
3.5 繁忙的都市
题⽬来源: 洛⾕
题⽬链接: P2330 [SCOI2005] 繁忙的都市
难度系数: ★★
题目描述
城市 C 是一个非常繁忙的大都市,城市中的道路十分的拥挤,于是市长决定对其中的道路进行改造。城市 C 的道路是这样分布的:城市中有 n 个交叉路口,有些交叉路口之间有道路相连,两个交叉路口之间最多有一条道路相连接。这些道路是双向的,且把所有的交叉路口直接或间接的连接起来了。每条道路都有一个分值,分值越小表示这个道路越繁忙,越需要进行改造。但是市政府的资金有限,市长希望进行改造的道路越少越好,于是他提出下面的要求:
- 改造的那些道路能够把所有的交叉路口直接或间接的连通起来。
- 在满足要求 1 的情况下,改造的道路尽量少。
- 在满足要求 1、2 的情况下,改造的那些道路中分值最大的道路分值尽量小。
任务:作为市规划局的你,应当作出最佳的决策,选择哪些道路应当被修建。
输入格式
第一行有两个整数 n,m 表示城市有 n 个交叉路口,m 条道路。
接下来 m 行是对每条道路的描述,u,v,c 表示交叉路口 u 和 v 之间有道路相连,分值为 c。
输出格式
两个整数 s,max,表示你选出了几条道路,分值最大的那条道路的分值是多少。
输入输出样例
输入 #1复制
4 5
1 2 3
1 4 5
2 4 7
2 3 6
3 4 8
输出 #1复制
3 6
说明/提示
数据范围及约定
对于全部数据,满足 1≤n≤300,1≤c≤104,1≤m≤8000。
【解法】
定理:最⼩⽣成树就是瓶颈⽣成树。
在 kk 算法中,维护边权的最⼤值即可。
【参考代码】
cpp
#include <iostream>
#include <algorithm>
using namespace std;
// 常量:N=路口数上限(310),M=道路数上限(8010)
const int N = 310, M = 8010;
int n, m; // n=路口数,m=道路数
struct node // 道路结构体:x/y是两个路口,z是分值
{
int x, y, z;
}e[M];
int fa[N]; // 并查集数组:判断两个路口是否连通(避免选环)
int ret; // 记录最小生成树中"分值最大的边"的分值
// 并查集查找函数(找根节点,带路径压缩,更快)
int find(int x)
{
return fa[x] == x ? x : fa[x] = find(fa[x]);
}
// 排序规则:按道路分值从小到大排(Kruskal核心:选最便宜/最需要改造的边)
bool cmp(node& a, node& b)
{
return a.z < b.z;
}
// Kruskal算法核心:构建最小生成树,记录最大边的分值
void kk()
{
// 初始化并查集:每个路口的根节点是自己
for(int i = 1; i <= n; i++) fa[i] = i;
// 第一步:把所有道路按分值从小到大排序
sort(e + 1, e + 1 + m, cmp);
// 第二步:遍历排序后的道路,选不构成环的边(构建最小生成树)
for(int i = 1; i <= m; i++)
{
int x = e[i].x, y = e[i].y, z = e[i].z; // 取当前道路的两个路口和分值
int fx = find(x), fy = find(y); // 找x和y的根节点
if(fx != fy) // 根节点不同→不连通→选这条边(不会构成环)
{
ret = max(ret, z); // 更新"最大分值"(选的边里最大的z)
fa[fx] = fy; // 把x和y连通(合并集合)
}
}
}
int main()
{
cin >> n >> m; // 输入路口数n,道路数m
// 读入m条道路的信息
for(int i = 1; i <= m; i++) cin >> e[i].x >> e[i].y >> e[i].z;
// 改造的道路数固定是n-1(生成树边数),先输出
cout << n - 1 << " ";
// 调用Kruskal算法,找最小生成树的最大边分值
kk();
// 输出最大分值
cout << ret << endl;
return 0;
}