目录
1.课题概述
本系统为速度、电流双闭环矢量控制系统,核心目标是在给定转速下,通过最大转矩电流比(MTPA)控制,使电机在相同输出转矩下定子电流最小,从而提升效率、降低铜耗。系统通过坐标变换将三相交流量转换为旋转dq坐标系下的直流量,实现解耦控制,再结合MTPA算法生成最优电流指令,最终通过PWM驱动电机运行。
2.系统仿真结果





3.核心程序或模型
版本:Matlab2024b

141
4.系统原理简介
MTPA(Maximum Torque Per Ampere)即最大转矩电流比控制,核心是在永磁同步电机(PMSM)输出给定转矩时,通过最优分配d/q轴电流使定子电流幅值最小,从而降低铜耗、提升效率,特别适用于凸极型内置式永磁同步电机(IPMSM,Ld≠Lq)。MTPA的本质是在转矩Te=Te_ref约束下,最小化定子电流Is=√(Id²+Iq²),核心利用IPMSM的磁阻转矩(由Ld≠Lq产生)与永磁转矩的协同优化,使单位电流输出转矩最大。
MTPA最大转矩电流比控制策略根据电磁转矩指令Me∗,计算满足"转矩最大、电流最小"的d轴、q轴电流指令id∗、iq∗。
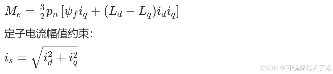
内置式PMSM电磁转矩方程:

其中pn为极对数,ψf为永磁体磁链,Ld、Lq为d、q轴电感(内置式PMSM满足Ld<Lq)。
对转矩方程在电流幅值约束下求极值,可得MTPA最优电流关系:

电流环PI控制电流调节,跟踪d、q轴电流,输出d、q轴电压指令ud∗、uq∗,实现电流解耦控制。

其中Kpd、Kpq为电流环比例系数,Kid、Kiq为电流环积分系数,ωr=pn*ωm为电角速度。
PWM生成将三相电压指令与三角载波比较,生成开关管驱动信号,控制逆变器输出对应电压。
5.完整工程文件
v v
关注后,GZH回复关键词:a23,或回复关键词:MTPA