前言
快速傅里叶变换(FFT)是数字信号处理领域的里程碑式算法,它并非新的变换形式,而是离散傅里叶变换(DFT)的快速实现方法。本文将从 DFT 运算量分析入手,系统讲解 FFT 的核心算法原理、实现方式及工程应用,并结合 MATLAB 代码实战,让你从理论到实践彻底掌握 FFT。
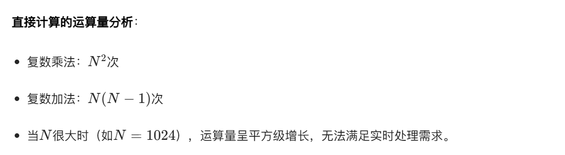
4.1 直接计算 DFT 的运算量,减少运算量的途径
4.1.1 直接计算 DFT 的运算量


4.1.2 减少运算量的途径

4.2 按时间抽选 (DIT) 的基 - 2 FFT 算法 (库利 - 图基算法)
4.2.1 算法原理

4.2.2 DIT-FFT 的流程图

4.2.3 DIT-FFT 运算量

4.3 按频率抽选 (DIF) 的基 - 2 FFT 算法 (桑德 - 图基算法)
4.3.1 算法原理
DIF-FFT(Decimation-In-Frequency)核心是按频率奇偶抽选,先进行蝶形运算,再分解序列:
4.3.2 DIF-FFT 的 流程图

4.4 DIT-FFT 与 DIF-FFT 的异同

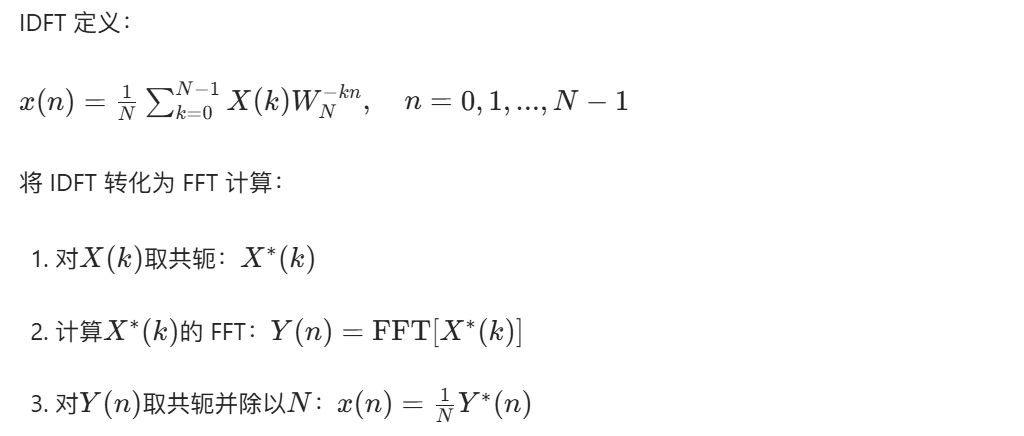
4.5 离散傅里叶反变换 (IDFT) 的快速算法 IFFT
4.5.1 算法原理

4.5.2 MATLAB 实现示例
% IFFT实现示例
clc; clear; close all;
% 1. 生成测试序列
N = 8; % 序列长度(2的幂)
n = 0:N-1;
x = sin(2*pi*0.25*n) + 0.5*sin(2*pi*0.5*n); % 原始序列
% 2. 计算FFT
X = fft(x);
% 3. 手动实现IFFT(基于FFT)
X_conj = conj(X); % 取共轭
Y = fft(X_conj); % 计算FFT
x_ifft = (1/N) * conj(Y); % 取共轭并除以N
% 4. 对比MATLAB内置IFFT
x_ifft_matlab = ifft(X);
% 5. 结果展示
fprintf('手动实现IFFT与MATLAB内置IFFT的最大误差:%.2e\n', max(abs(x_ifft - x_ifft_matlab)));
% 6. 绘图对比
figure('Color','w');
subplot(2,1,1);
stem(n, x, 'filled', 'LineWidth',1);
title('原始序列 x(n)','FontSize',12);
xlabel('n','FontSize',10); ylabel('幅值','FontSize',10);
grid on;
subplot(2,1,2);
stem(n, real(x_ifft), 'filled', 'LineWidth',1); % 取实部(理论上虚部应为0)
title('IFFT恢复的序列','FontSize',12);
xlabel('n','FontSize',10); ylabel('幅值','FontSize',10);
grid on;
4.6 基 - 2 FFT 流程图
4.6.1 8 点 DIT-FFT 完整流程图

4.7 N 为复合数的 FFT 算法 ------ 混合基 (多基多进制) FFT 算法
4.7.1 算法原理

4.7.2 MATLAB 实现示例(以 N=12=3×4 为例)
% 混合基FFT实现示例
clc; clear; close all;
% 1. 生成测试序列(N=12,非2的幂)
N = 12;
n = 0:N-1;
x = cos(2*pi*2*n/N) + 0.5*sin(2*pi*5*n/N);
% 2. 计算混合基FFT(MATLAB自动处理)
X = fft(x);
% 3. 计算理论DFT(直接计算,用于验证)
X_direct = zeros(1,N);
W = exp(-1j*2*pi/N); % 旋转因子
for k = 0:N-1
for nn = 0:N-1
X_direct(k+1) = X_direct(k+1) + x(nn+1) * W^(k*nn);
end
end
% 4. 结果对比
figure('Color','w');
subplot(2,1,1);
stem(n, abs(X), 'filled', 'LineWidth',1);
title('混合基FFT幅值','FontSize',12);
xlabel('k','FontSize',10); ylabel('|X(k)|','FontSize',10);
grid on;
subplot(2,1,2);
stem(n, abs(X_direct), 'filled', 'LineWidth',1);
title('直接计算DFT幅值','FontSize',12);
xlabel('k','FontSize',10); ylabel('|X(k)|','FontSize',10);
grid on;
% 5. 误差分析
error = max(abs(X - X_direct));
fprintf('混合基FFT与直接DFT的最大误差:%.2e\n', error);
4.8 线性调频 z 变换 (Chirp-z 变换或 CZT) 算法
4.8.1 算法原理
CZT 适用于:
- 非均匀频率采样
- 只需要计算部分频率点
- N不为 2 的幂
核心公式:

4.8.2 MATLAB 实现示例(效果对比)
% CZT算法实现与FFT对比
clc; clear; close all;
% 1. 生成测试信号
fs = 1000; % 采样率
t = 0:1/fs:1-1/fs; % 时间序列
x = sin(2*pi*127*t) + 0.8*sin(2*pi*249*t); % 127Hz和249Hz混合信号
% 2. 计算FFT(全频率范围)
N_fft = 1024;
X_fft = fft(x, N_fft);
f_fft = fs/2 * linspace(0,1,N_fft/2+1);
% 3. 计算CZT(只关注100-300Hz频段,更高分辨率)
f_start = 100; % 起始频率
f_end = 300; % 结束频率
M = 2048; % CZT点数(比FFT多,分辨率更高)
X_czt = czt(x, M, exp(1j*2*pi*(f_end-f_start)/(fs*M)), exp(1j*2*pi*f_start/fs));
f_czt = linspace(f_start, f_end, M);
% 4. 绘图对比
figure('Color','w');
subplot(2,1,1);
plot(f_fft, 20*log10(abs(X_fft(1:N_fft/2+1))), 'LineWidth',1.2);
title('FFT频谱(1024点,全频段)','FontSize',12);
xlabel('频率 (Hz)','FontSize',10); ylabel('幅值 (dB)','FontSize',10);
xlim([0, 500]); grid on;
subplot(2,1,2);
plot(f_czt, 20*log10(abs(X_czt)), 'r', 'LineWidth',1.2);
title('CZT频谱(2048点,100-300Hz)','FontSize',12);
xlabel('频率 (Hz)','FontSize',10); ylabel('幅值 (dB)','FontSize',10);
xlim([100, 300]); grid on;
% 5. 结果分析
[~, idx127] = min(abs(f_czt-127));
[~, idx249] = min(abs(f_czt-249));
fprintf('127Hz频率点幅值:%.2f dB\n', 20*log10(abs(X_czt(idx127))));
fprintf('249Hz频率点幅值:%.2f dB\n', 20*log10(abs(X_czt(idx249))));
4.9 利用 FFT 算法计算线性卷积
4.9.1 重叠相加法
原理

MATLAB 实现示例
Matlab
% 重叠相加法计算线性卷积(修复索引越界问题)
clc; clear; close all;
% 1. 生成测试序列
fs = 1000;
t = 0:1/fs:2-1/fs;
x = sin(2*pi*50*t) + 0.5*randn(size(t)); % 长输入序列(2000点)
h = fir1(50, 0.2); % 滤波器(51点)
% 2. 直接卷积(作为参考)
y_direct = conv(x, h);
len_direct = length(y_direct); % 记录参考结果长度
% 3. 重叠相加法(修复核心逻辑)
L = 256; % 分块长度(每块新数据长度)
N = length(h); % 滤波器长度
M = L + N - 1; % 每块卷积结果长度(循环卷积长度)
num_blocks = ceil(length(x)/L); % 分块数
y_ola = zeros(1, len_direct); % 预分配内存,避免长度不足
current_pos = 1; % 记录当前拼接位置
for i = 1:num_blocks
% 提取当前块(避免越界)
idx_start = (i-1)*L + 1;
idx_end = min(i*L, length(x));
x_block = x(idx_start:idx_end);
% 补零到M点(满足循环卷积条件)
x_block_pad = zeros(1, M);
x_block_pad(1:length(x_block)) = x_block;
% FFT计算循环卷积(等价于线性卷积)
Xk = fft(x_block_pad, M);
Hk = fft(h, M);
Yk = Xk .* Hk;
y_block = real(ifft(Yk)); % 直接取实部,避免虚部干扰
% 核心:重叠相加(将当前块结果累加到总结果中)
block_end = current_pos + M - 1;
if block_end > len_direct
block_end = len_direct; % 最后一块避免越界
end
y_ola(current_pos:block_end) = y_ola(current_pos:block_end) + y_block(1:(block_end - current_pos + 1));
% 更新下一块的起始位置
current_pos = current_pos + L;
end
% 4. 误差分析(验证正确性)
error = max(abs(y_direct - y_ola));
fprintf('重叠相加法与直接卷积的最大误差:%.2e\n', error);
% 5. 绘图对比(直观验证)
figure('Color','w');
subplot(2,1,1);
plot(y_direct, 'b', 'LineWidth',1.2);
title('直接卷积结果(参考)','FontSize',12);
xlabel('样本点','FontSize',10); ylabel('幅值','FontSize',10);
grid on;
subplot(2,1,2);
plot(y_ola, 'r', 'LineWidth',1.2);
title('修复后重叠相加法结果','FontSize',12);
xlabel('样本点','FontSize',10); ylabel('幅值','FontSize',10);
grid on;
% 额外:绘制误差曲线,验证精度
figure('Color','w');
plot(abs(y_direct - y_ola), 'g', 'LineWidth',1);
title('重叠相加法与直接卷积的误差','FontSize',12);
xlabel('样本点','FontSize',10); ylabel('绝对误差','FontSize',10);
grid on;
ylim([0, max(abs(y_direct - y_ola))*1.1]); % 聚焦误差范围

4.9.2 重叠保留法
原理
分块时保留前一块的末尾数据,卷积后丢弃边界无效数据:
- 分块:每块包含前一块的N−1个数据 + L个新数据
- 卷积:每块与h(n)循环卷积
- 保留:只保留每块的有效部分(丢弃前N−1个点)
MATLAB 实现示例
Matlab
% 重叠保留法计算线性卷积(修复索引越界问题)
clc; clear; close all;
% 1. 生成测试序列
fs = 1000;
t = 0:1/fs:2-1/fs;
x = sin(2*pi*50*t) + 0.5*randn(size(t)); % 长输入序列(2000点)
h = fir1(50, 0.2); % 滤波器(51点)
N_h = length(h); % 滤波器长度
len_x = length(x); % 输入序列长度
% 2. 直接卷积(作为参考)
y_direct = conv(x, h);
len_direct = length(y_direct); % 参考结果长度
% 3. 重叠保留法(修复核心逻辑)
L = 256; % 每块新数据长度
M = L + N_h - 1; % 每块总长度(循环卷积长度)
num_blocks = ceil(len_x / L); % 修正分块数计算逻辑
y_ols = zeros(1, len_direct); % 预分配内存,避免长度不足
current_pos = 1; % 当前结果写入位置
prev_block = zeros(1, N_h-1); % 前一块保留的末尾数据(初始全零)
for i = 1:num_blocks
% 提取当前块的新数据(避免越界)
idx_start = (i-1)*L + 1;
idx_end = min(idx_start + L - 1, len_x);
x_current = x(idx_start:idx_end);
len_current = length(x_current);
% 拼接前一块保留的数据,补零到M点(核心修复:避免长度不足)
x_block = [prev_block, x_current];
if length(x_block) < M
x_block = [x_block, zeros(1, M - length(x_block))]; % 补零到M点
else
x_block = x_block(1:M); % 长度超M时截断
end
% 保存当前块末尾的N_h-1个点,供下一块使用
prev_block = x_block(end-N_h+2:end); % 保留最后N_h-1个点
% FFT计算循环卷积(等价于线性卷积的有效部分)
Xk = fft(x_block, M);
Hk = fft(h, M);
Yk = Xk .* Hk;
y_block = real(ifft(Yk)); % 直接取实部,消除虚部误差
% 提取有效部分(核心:根据块位置调整丢弃的点数)
if i == 1
% 第一块:丢弃前N_h-1个点(因prev_block是全零),取剩余有效部分
valid_start = N_h;
else
% 后续块:丢弃前N_h-1个点(重叠区域的无效部分)
valid_start = N_h - 1;
end
valid_end = min(valid_start + len_current - 1, M); % 有效部分不超过当前块新数据长度
y_valid = y_block(valid_start:valid_end);
% 将有效部分写入结果数组(避免越界)
write_end = current_pos + length(y_valid) - 1;
if write_end > len_direct
write_end = len_direct;
y_valid = y_valid(1:write_end - current_pos + 1);
end
y_ols(current_pos:write_end) = y_valid;
% 更新下一块的写入位置
current_pos = write_end + 1;
end
% 4. 误差分析(验证正确性)
error = max(abs(y_direct - y_ols));
fprintf('重叠保留法与直接卷积的最大误差:%.2e\n', error);
% 5. 绘图对比(直观验证)
figure('Color','w');
subplot(2,1,1);
plot(y_direct, 'b', 'LineWidth',1.2);
title('直接卷积结果(参考)','FontSize',12);
xlabel('样本点','FontSize',10); ylabel('幅值','FontSize',10);
grid on;
subplot(2,1,2);
plot(y_ols, 'r', 'LineWidth',1.2);
title('修复后重叠保留法结果','FontSize',12);
xlabel('样本点','FontSize',10); ylabel('幅值','FontSize',10);
grid on;
% 额外:绘制误差曲线,验证精度
figure('Color','w');
plot(abs(y_direct - y_ols), 'g', 'LineWidth',1);
title('重叠保留法与直接卷积的绝对误差','FontSize',12);
xlabel('样本点','FontSize',10); ylabel('误差值','FontSize',10);
grid on;
ylim([0, max(abs(y_direct - y_ols))*1.1]); % 聚焦误差范围
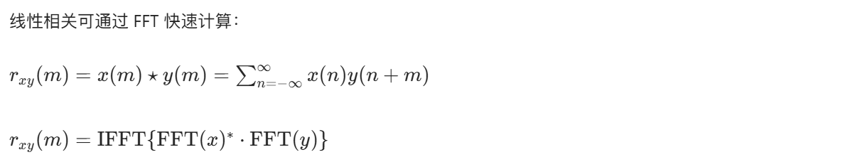
4.10 利用 FFT 算法计算线性相关
4.10.1 算法原理

4.10.2 MATLAB 实现示例(含效果对比)
% FFT计算线性相关
clc; clear; close all;
% 1. 生成测试序列
fs = 1000;
t = 0:1/fs:1-1/fs;
x = sin(2*pi*50*t) + 0.2*randn(size(t)); % 原始信号
y = x + 0.1*randn(size(t)); % 含噪声的信号
% 2. 直接计算相关(作为参考)
r_direct = xcorr(x, y);
% 3. FFT快速计算相关
N = 2^nextpow2(length(x) + length(y) - 1); % 取2的幂
Xk = fft(x, N);
Yk = fft(y, N);
Rk = conj(Xk) .* Yk;
r_fft = ifft(Rk);
r_fft = [r_fft(end-length(x)-length(y)+2:end), r_fft(1:length(x)+length(y)-1)];
r_fft = real(r_fft);
% 4. 绘图对比
lags = -length(x)+1:length(x)-1;
figure('Color','w');
subplot(2,1,1);
plot(lags, r_direct, 'LineWidth',1.2);
title('直接计算的互相关','FontSize',12);
xlabel('延迟 (lags)','FontSize',10); ylabel('相关值','FontSize',10);
xlim([-100, 100]); grid on;
subplot(2,1,2);
plot(lags, r_fft(1:length(lags)), 'r', 'LineWidth',1.2);
title('FFT计算的互相关','FontSize',12);
xlabel('延迟 (lags)','FontSize',10); ylabel('相关值','FontSize',10);
xlim([-100, 100]); grid on;
% 5. 性能对比
tic;
for i = 1:100
xcorr(x, y);
end
time_direct = toc/100;
tic;
for i = 1:100
N = 2^nextpow2(length(x) + length(y) - 1);
Rk = conj(fft(x, N)) .* fft(y, N);
ifft(Rk);
end
time_fft = toc/100;
fprintf('直接计算平均耗时:%.4f 秒\n', time_direct);
fprintf('FFT计算平均耗时:%.4f 秒\n', time_fft);
fprintf('加速比:%.2f 倍\n', time_direct/time_fft);
4.11 本章部分内容涉及的 MATLAB 函数及例题
4.11.1 用 FFT 计算有限长序列的线性卷积和线性相关
% FFT计算卷积和相关综合示例
clc; clear; close all;
% 1. 生成测试序列
x = [1, 2, 3, 4, 5]; % 短序列1
h = [0.5, 1, 0.5]; % 短序列2
% 2. FFT计算线性卷积
N = length(x) + length(h) - 1; % 卷积结果长度
X = fft(x, N);
H = fft(h, N);
Y = X .* H;
y_conv = ifft(Y);
% 3. FFT计算线性相关
X_corr = fft(x, N);
H_corr = fft(h, N);
R = conj(X_corr) .* H_corr;
r_corr = ifft(R);
% 4. 验证(与MATLAB内置函数对比)
y_conv_matlab = conv(x, h);
r_corr_matlab = xcorr(x, h);
% 5. 结果展示
fprintf('=== 线性卷积结果 ===\n');
fprintf('FFT计算:'); disp(real(y_conv));
fprintf('MATLAB内置:'); disp(y_conv_matlab);
fprintf('\n=== 线性相关结果 ===\n');
fprintf('FFT计算:'); disp(real(r_corr));
fprintf('MATLAB内置:'); disp(r_corr_matlab);
% 6. 绘图
figure('Color','w');
subplot(2,1,1);
stem(0:N-1, real(y_conv), 'filled', 'LineWidth',1);
title('FFT计算的线性卷积','FontSize',12);
xlabel('n','FontSize',10); ylabel('幅值','FontSize',10);
grid on;
subplot(2,1,2);
lags = -length(h)+1:length(h)-1;
stem(lags, real(r_corr(length(x)-length(h)+1:end)), 'filled', 'LineWidth',1);
title('FFT计算的线性相关','FontSize',12);
xlabel('延迟 (lags)','FontSize',10); ylabel('相关值','FontSize',10);
grid on;
4.11.2 用 FFT 计算模拟信号、离散时间信号及它们的频谱
% FFT分析模拟/离散信号频谱
clc; clear; close all;
% 1. 模拟信号参数
f0 = 100; % 信号频率
fs = 1000; % 采样率(满足奈奎斯特)
T = 1/fs; % 采样周期
t_total = 1; % 总时间
t = 0:T:t_total-T; % 时间序列
% 2. 生成信号
x_analog = @(t) sin(2*pi*f0*t) + 0.5*sin(2*pi*2*f0*t); % 模拟信号
x_discrete = x_analog(t); % 离散信号
% 3. 添加噪声
x_noisy = x_discrete + 0.3*randn(size(x_discrete));
% 4. FFT分析频谱
N = length(x_discrete);
X = fft(x_noisy);
X_mag = 2*abs(X)/N; % 幅值归一化
f = fs/2 * linspace(0,1,N/2+1); % 频率轴
% 5. 绘图
figure('Color','w');
% 原始模拟/离散信号
subplot(2,2,1);
plot(t, x_analog(t), 'b', 'LineWidth',1.2);
title('原始模拟信号','FontSize',12);
xlabel('时间 (s)','FontSize',10); ylabel('幅值','FontSize',10);
xlim([0, 0.1]); grid on;
subplot(2,2,2);
stem(t, x_discrete, 'filled', 'LineWidth',1);
title('离散时间信号','FontSize',12);
xlabel('时间 (s)','FontSize',10); ylabel('幅值','FontSize',10);
xlim([0, 0.1]); grid on;
% 含噪声信号及频谱
subplot(2,2,3);
plot(t, x_noisy, 'r', 'LineWidth',1);
title('含噪声离散信号','FontSize',12);
xlabel('时间 (s)','FontSize',10); ylabel('幅值','FontSize',10);
xlim([0, 0.1]); grid on;
subplot(2,2,4);
plot(f, X_mag(1:N/2+1), 'g', 'LineWidth',1.2);
title('FFT频谱分析','FontSize',12);
xlabel('频率 (Hz)','FontSize',10); ylabel('幅值','FontSize',10);
xlim([0, 300]); grid on;
% 6. 频率检测
[~, f_idx] = findpeaks(X_mag(1:N/2+1), 'MinPeakHeight',0.2);
detected_freqs = f(f_idx);
fprintf('检测到的频率成分:'); disp(detected_freqs);
4.11.3 线性调频 z 变换 (CZT) 算法
% CZT算法详细示例(与FFT对比)
clc; clear; close all;
% 1. 生成chirp信号(线性调频信号)
fs = 1000;
t = 0:1/fs:2-1/fs;
f0 = 50; f1 = 250;
x = chirp(t, f0, 2, f1); % 50Hz到250Hz的线性调频信号
% 2. FFT分析(低分辨率)
N_fft = 256;
X_fft = fft(x, N_fft);
f_fft = linspace(0, fs/2, N_fft/2+1);
X_fft_mag = 20*log10(abs(X_fft(1:N_fft/2+1)));
% 3. CZT分析(高分辨率,聚焦感兴趣频段)
f_start = 40; % 起始频率
f_end = 260; % 结束频率
M = 1024; % CZT点数
W = exp(1j*2*pi*(f_end-f_start)/(fs*M)); % 螺旋率
A = exp(1j*2*pi*f_start/fs); % 起始点
X_czt = czt(x, M, W, A);
f_czt = linspace(f_start, f_end, M);
X_czt_mag = 20*log10(abs(X_czt));
% 4. 时频分析对比
figure('Color','w');
% 原始信号
subplot(2,2,1);
plot(t, x, 'LineWidth',1);
title('线性调频信号','FontSize',12);
xlabel('时间 (s)','FontSize',10); ylabel('幅值','FontSize',10);
grid on;
% FFT频谱
subplot(2,2,2);
plot(f_fft, X_fft_mag, 'b', 'LineWidth',1.2);
title('FFT频谱(256点)','FontSize',12);
xlabel('频率 (Hz)','FontSize',10); ylabel('幅值 (dB)','FontSize',10);
xlim([0, 300]); grid on;
% CZT频谱
subplot(2,2,3);
plot(f_czt, X_czt_mag, 'r', 'LineWidth',1.2);
title('CZT频谱(1024点,40-260Hz)','FontSize',12);
xlabel('频率 (Hz)','FontSize',10); ylabel('幅值 (dB)','FontSize',10);
xlim([40, 260]); grid on;
% 时频图
subplot(2,2,4);
spectrogram(x, 128, 64, 1024, fs, 'yaxis');
title('信号时频图','FontSize',12);
% 5. 结果分析
fprintf('FFT频率分辨率:%.2f Hz\n', fs/N_fft);
fprintf('CZT频率分辨率:%.2f Hz\n', (f_end-f_start)/M);
4.11.4 重叠保留法与重叠相加法
Matlab
% 重叠保留法 vs 重叠相加法 完整对比(修复索引越界+逻辑错误)
clc; clear; close all;
% 1. 生成测试数据
fs = 1000;
t = 0:1/fs:5-1/fs;
x = sin(2*pi*50*t) + 0.2*sin(2*pi*120*t) + 0.1*randn(size(t)); % 长信号(5000点)
h = fir1(60, 0.15); % 低通滤波器(61点)
len_x = length(x);
N_h = length(h); % 滤波器长度
L = 512; % 分块长度
M = L + N_h - 1; % 循环卷积长度
y_ref = conv(x, h); % 直接卷积(参考)
len_ref = length(y_ref);
% 2. 重叠相加法(修复拼接逻辑)
tic; % 开始计时
y_ola = zeros(1, len_ref); % 预分配内存
current_pos_ola = 1;
num_blocks_ola = ceil(len_x / L);
for i = 1:num_blocks_ola
% 提取当前块
idx_start = (i-1)*L + 1;
idx_end = min(idx_start + L - 1, len_x);
x_block = x(idx_start:idx_end);
len_current = length(x_block);
% 补零到M点
x_block_pad = zeros(1, M);
x_block_pad(1:len_current) = x_block;
% FFT计算循环卷积
Xk = fft(x_block_pad, M);
Hk = fft(h, M);
Yk = Xk .* Hk;
y_block = real(ifft(Yk));
% 重叠相加(核心修复:累加而非拼接)
block_end = current_pos_ola + M - 1;
if block_end > len_ref
block_end = len_ref;
end
y_ola(current_pos_ola:block_end) = y_ola(current_pos_ola:block_end) + y_block(1:(block_end - current_pos_ola + 1));
% 更新位置
current_pos_ola = current_pos_ola + L;
end
time_ola = toc; % 结束计时
% 3. 重叠保留法(修复长度保护+索引逻辑)
tic; % 开始计时
y_ols = zeros(1, len_ref); % 预分配内存
current_pos_ols = 1;
prev_block = zeros(1, N_h-1); % 初始化前一块保留数据
num_blocks_ols = ceil(len_x / L);
for i = 1:num_blocks_ols
% 提取当前块新数据
idx_start = (i-1)*L + 1;
idx_end = min(idx_start + L - 1, len_x);
x_current = x(idx_start:idx_end);
len_current = length(x_current);
% 拼接前一块保留数据,补零到M点(核心修复)
x_block = [prev_block, x_current];
if length(x_block) < M
x_block = [x_block, zeros(1, M - length(x_block))];
else
x_block = x_block(1:M);
end
% 保存当前块末尾数据供下一块使用
prev_block = x_block(end-N_h+2:end);
% FFT计算循环卷积
Xk = fft(x_block, M);
Hk = fft(h, M);
Yk = Xk .* Hk;
y_block = real(ifft(Yk));
% 提取有效部分(丢弃无效点)
if i == 1
valid_start = N_h; % 第一块丢弃前N_h-1个点
else
valid_start = N_h - 1; % 后续块丢弃前N_h-1个点
end
valid_end = min(valid_start + len_current - 1, M);
y_valid = y_block(valid_start:valid_end);
% 写入结果(避免越界)
write_end = current_pos_ols + length(y_valid) - 1;
if write_end > len_ref
write_end = len_ref;
y_valid = y_valid(1:write_end - current_pos_ols + 1);
end
y_ols(current_pos_ols:write_end) = y_valid;
% 更新位置
current_pos_ols = write_end + 1;
end
time_ols = toc; % 结束计时
% 4. 直接卷积计时(单独计时,避免干扰)
tic;
y_ref_check = conv(x, h);
time_ref = toc;
% 5. 误差计算
error_ola = max(abs(y_ref - y_ola));
error_ols = max(abs(y_ref - y_ols));
% 6. 绘图对比(优化布局,更直观)
figure('Color','w','Position',[100,100,800,600]);
% 直接卷积
subplot(3,1,1);
plot(y_ref, 'b', 'LineWidth',1.2);
title('直接卷积结果(参考)','FontSize',12);
xlabel('样本点','FontSize',10); ylabel('幅值','FontSize',10);
grid on;
ylim([min(y_ref)*1.1, max(y_ref)*1.1]);
% 重叠相加法
subplot(3,1,2);
plot(y_ola, 'r', 'LineWidth',1.2);
title('重叠相加法结果','FontSize',12);
xlabel('样本点','FontSize',10); ylabel('幅值','FontSize',10);
grid on;
ylim([min(y_ola)*1.1, max(y_ola)*1.1]);
% 重叠保留法
subplot(3,1,3);
plot(y_ols, 'g', 'LineWidth',1.2);
title('重叠保留法结果','FontSize',12);
xlabel('样本点','FontSize',10); ylabel('幅值','FontSize',10);
grid on;
ylim([min(y_ols)*1.1, max(y_ols)*1.1]);
% 额外:误差对比图
figure('Color','w','Position',[100,100,800,300]);
subplot(1,2,1);
plot(abs(y_ref - y_ola), 'r', 'LineWidth',1);
title('重叠相加法绝对误差','FontSize',12);
xlabel('样本点','FontSize',10); ylabel('误差值','FontSize',10);
grid on;
ylim([0, error_ola*1.1]);
subplot(1,2,2);
plot(abs(y_ref - y_ols), 'g', 'LineWidth',1);
title('重叠保留法绝对误差','FontSize',12);
xlabel('样本点','FontSize',10); ylabel('误差值','FontSize',10);
grid on;
ylim([0, error_ols*1.1]);
% 7. 结果输出(格式化,更易读)
fprintf('==================== 性能对比结果 ====================\n');
fprintf('直接卷积耗时:\t\t%.4f 秒\n', time_ref);
fprintf('重叠相加法耗时:\t%.4f 秒\n', time_ola);
fprintf('重叠保留法耗时:\t%.4f 秒\n', time_ols);
fprintf('------------------------------------------------------\n');
fprintf('重叠相加法最大误差:\t%.2e\n', error_ola);
fprintf('重叠保留法最大误差:\t%.2e\n', error_ols);
fprintf('======================================================\n');
习题
- 推导基 - 2 DIT-FFT 的运算量公式,并计算当 N=1024 时,相比直接 DFT 的运算量减少了多少倍。
- 编程实现 8 点 DIT-FFT 的蝶形运算,并与 MATLAB 内置 fft 函数对比结果。
- 分别用重叠相加法和重叠保留法处理长度为 10000 的语音信号,对比两种方法的运算时间和精度。
- 利用 CZT 算法分析含噪声的多频率混合信号,提取出所有频率成分。
- 证明线性相关可以通过 FFT 快速计算,并编程验证。
总结
- FFT 核心思想:通过分治法将 DFT 的O(N2)运算量降低到O(Nlog2N),是数字信号处理的核心算法。
- 两类基 - 2 FFT:DIT 按时间抽选(输入倒序),DIF 按频率抽选(输出倒序),运算量相同但实现方式不同。
- 工程应用:FFT 可高效计算卷积、相关、频谱分析等,重叠相加 / 保留法解决长序列卷积问题,CZT 适用于局部高分辨率频谱分析。
最后
FFT 是数字信号处理中最基础也最重要的算法之一,掌握其原理和实现对于从事信号处理、通信、音频处理等领域的工程师至关重要。本文所有代码均可直接运行,建议大家动手实践,加深理解。如果有任何问题,欢迎在评论区交流讨论!










